Cathode Nanophosphors
- Authors: Yagov V.V.1
-
Affiliations:
- Vernadsky Institute of Geochemistry and Analytical Chemistry, Russian Academy of Sciences
- Issue: Vol 78, No 7 (2023)
- Pages: 662-670
- Section: ORIGINAL ARTICLES
- Submitted: 14.10.2023
- URL: https://medbiosci.ru/0044-4502/article/view/136064
- DOI: https://doi.org/10.31857/S0044450223070149
- EDN: https://elibrary.ru/VSBNYZ
- ID: 136064
Cite item
Full Text
Abstract
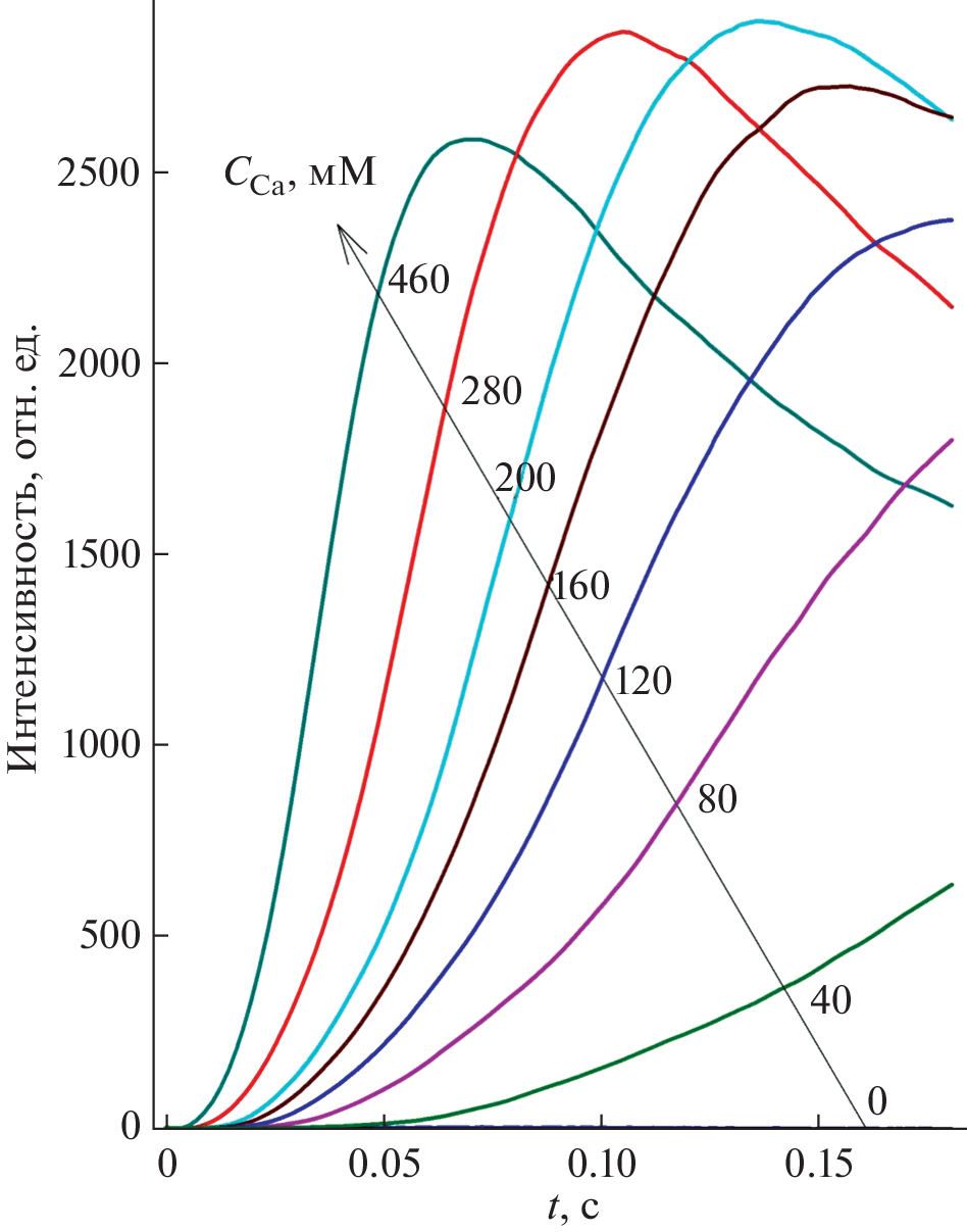
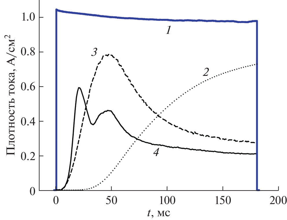
High-current cathodic pulses on an aluminum electrode in solutions containing sufficiently high concentrations of Mg, Ca, Sr, Al, Sc, Y, or La nitrates in a mixture with H3BO3, HF, H3PO4, or H4P2O7 are accompanied by an intense intrinsic luminescence of a number of heavy metals, the ions of which are captured by salt nanofilms and luminescence under the action of hot electrons when are in an environment characteristic of crystal phosphors. The effect of the cathode nanophosphor (CNP) was found in more than 100 systems; photographs are presented for most of the systems. Ga, In, Tl, Ge, Sn, Pb, Mn, Cu, Ag, Cd, Ce, Tb, and Zr ions were activators. The effect of matrix composition on the spectral and kinetic characteristics of the CNP was shown on several examples; a qualitative description of the phenomenon is given, and the prospects for its application to chemical analysis are considered.
About the authors
V. V. Yagov
Vernadsky Institute of Geochemistry and Analytical Chemistry, Russian Academy of Sciences
Author for correspondence.
Email: vladvy65@yandex.ru
119991, Moscow, Russia
References
- Haapakka K., Kankare J., Kulmala S. Feasibility of low-voltage cathodic electroluminescence at oxide-covered aluminum electrodes for trace metal determination in aqueous solution // Anal. Chim. Acta. 1985. V. 171. № 1. P. 259.
- Meulenkamp E.A., Kelly J.J., Blasse G. Electrochemically induced characteristic luminescence of metal ions at anodic valve metal oxides // J. Electrochem. Soc. 1993. V. 140. № 1. P. 84.
- Ягов В.В., Коротков А.С. Электролюминесценция ртутеподобных ионов на алюминиевом электроде // Электрохимия. 2002. Т. 38. № 5. С. 570.
- Ягов В.В. Анализ методом электрохемилюминесценции / Люминесцентный анализ / Под ред. Романовской Г.И. М.: Наука, 2015. С. 266.
- Lopez-Heredia M.A., Weiss P., Layrolle P. An electrodeposition method of calcium phosphate coatings on titanium alloy // J. Mater. Sci: Mater Med. 2007. V. 18. P. 381.
- Ягов В.В., Коротков А.С. Электрохемилюминесцентное определение тяжелых металлов в водных растворах с помощью детектора стенка-сопло // Журн. аналит. химии. 2006. Т. 61. № 12. С. 1090.
- Ягов В.В., Коротков А.С., Жирков А.А., Погонин В.И., Зуев Б.К. Портативный атомно-эмиссионный спектрометр для анализа растворов на основе капельно-искрового разряда // Журн. аналит. химии. 2019. Т. 74. № 3. С. 234.
- Kulmala S., Ala-Kleme T., Vare L., Helin M., Lehtinen T. Hot electron-induced electrogenerated luminescence of Tl(I) at disposable oxide-covered aluminum electrodes // Anal. Chim. Acta. 1999. V. 398. P. 41.
Supplementary files










