Planar Chromatography as a Method for the Analytical Control of Composite Pharmaceutical Preparations Based on N-Vinylamides
- Authors: Krasikov V.D.1, Malakhova I.I.1, Santuryan Y.G.1, Panarin E.F.2
-
Affiliations:
- Institute of Macromolecular Compounds, Russian Academy of Sciences
- Институт высокомолекулярных соединений Российской академии наук В.О.Institute of Macromolecular Compounds, Russian Academy of Sciences
- Issue: Vol 78, No 11 (2023)
- Pages: 1019-1031
- Section: ORIGINAL ARTICLES
- Submitted: 26.12.2023
- URL: https://medbiosci.ru/0044-4502/article/view/232871
- DOI: https://doi.org/10.31857/S0044450223110099
- EDN: https://elibrary.ru/MTOQRZ
- ID: 232871
Cite item
Full Text
Abstract
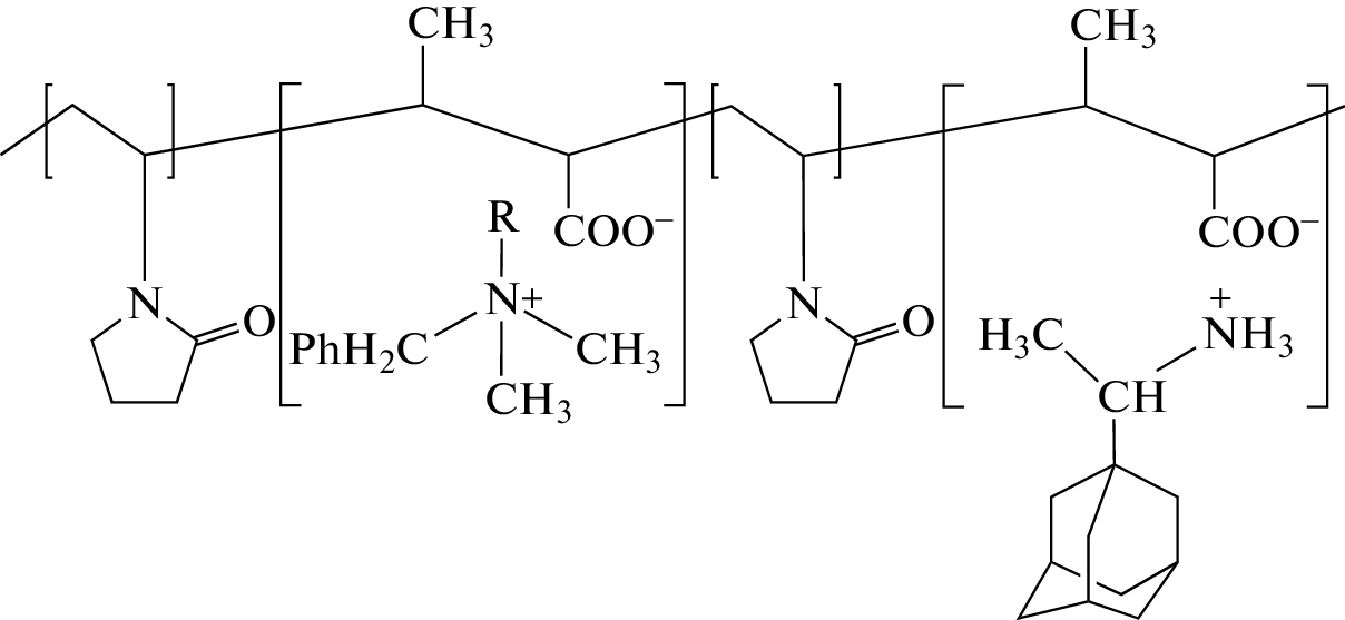
Planar chromatography is used to develop methods for the analytical control of processes of the synthesis of biomedical polymers and their complexes with biologically active substances, which made it possible to create a number of long-acting antiviral, antitumor, antimicrobial, and antiseptic preparations.
About the authors
V. D. Krasikov
Institute of Macromolecular Compounds, Russian Academy of Sciences
Email: lenchrom@hq.macro.ru
199004, St. Petersburg, Russia
I. I. Malakhova
Institute of Macromolecular Compounds, Russian Academy of Sciences
Email: lenchrom@hq.macro.ru
199004, St. Petersburg, Russia
Yu. G. Santuryan
Institute of Macromolecular Compounds, Russian Academy of Sciences
Email: lenchrom@hq.macro.ru
199004, St. Petersburg, Russia
E. F. Panarin
Институт высокомолекулярных соединений Российской академии наукВ.О.Institute of Macromolecular Compounds, Russian Academy of Sciences
Author for correspondence.
Email: lenchrom@hq.macro.ru
199004, St. Petersburg, Russia
References
- Йорк Г. Руководство по современной тонкослойной хроматографии. Пер. с англ. / Под ред. Ларионова О.Г. М., 1994. 311 с.
- Гейсс Ф. Основы тонкослойной хроматографии. В 2-х тт. Пер. с англ. М., 1988. 407 с.
- Ravi Sankar P., Hema Sri P., Eswarudu M.M., Srinivasa Babu P., Maha Lakshmi V., Lakshmi Tirupati M. High-performance thin layer chromatography in the pharma industry // High Technol. Lett. 2021. V. 27. № 73. P. 63.
- Sethi P.D. Sethi’s HPTLC, High Performance Thin Layer Chromatography. Quantitative Analysis of Pharmaceutical Formulations. New Delhi, India: CBS Publishers & Distributors, 2013. V. 1–3.
- Attimarad Mahesh, Mueen Ahmed K.K., Aldhubaib Bandar E., Harsha Sree. High-performance thin layer chromatography: A powerful analytical technique in pharmaceutical drug discovery // Pharm. Methods. 2011. V. 2. № 2. P. 71. https://doi.org/10.4103/2229-4708.84436
- Weins C., Hauck H.E. Advances and developments in thin layer chromatography // LC-GC Int. 1996. V. 9. P. 710.
- Шаршунова М., Шварц В., Михалец Ч. Тонкослойная хроматография в фармации и клинической биохимии. В 2-х частях. М.: Мир, 1980. 607 с.
- Wagner H., Bladt. S. Plant Drug Analysis. A Thin Layer Chromatography Atlas. 2nd Ed. Berlin: Springer-Verlag, 1996. 384 p.
- CAMAG. Instrumental thin-layer chromatography. Switzerland: Camag, 2019. 48 p. https://www.camag.com/sites/default/files/Virtual%20Analytical%20Summit%202022/CAMAG_TLC%202019_web.pdf (22.11.2022).
- Кирхнер Ю. Тонкослойная хроматография. В 2-х тт. Пер. с англ. М.: Мир, 1981. 616 с.
- Ravisankar P., Lokapavani Ch., Devadasu, Deval Rao G. HPTLC: A versatile method for rapid analysis of pharmaceutical formulations and comparison with other chromatographic techniques and its applications // Indian J. Res. Pharm. Biotechnol. 2014. V. 2. № 3. P. 1209.
- Spangenberg B., Poole C.F., Weins Ch. Quantitative Thin-Layer Chromatography. A practical survey. Heidelberg: Springer, 2011. 388 p. https://doi.org/10.1007/978-3-642-10729-0
- Jupille T., Perry J. Programmed multiple development in thin-layer chromatography // Science. 1976. V. 194. № 4262. P. 288. https://doi.org/10.1126/science.968483
- Berezkin V.G., Kulakova N.Y., Khrebtova S.S. Three-dimensional thin-layer chromatography on plates with open and closed adsorption layers // J. Planar Chromatogr. Mod. TLC. 2009. V. 22. № 5. P. 313. https://doi.org/10.1556/JPC.22.2009.5.1
- Герасимов А.В., Малахова И.И., Красиков В.Д. Идентификация окрашенных веществ в тонкослойной хроматографии с применением компьютерной обработки // Журн. прикл. химии. 2000. Т. 73. № 10. С. 1640.
- Малахова И.И., Беляев А.Н., Красиков В.Д. Тонкослойная хроматография ряда переходных металлов // Сорбционные и хроматографические процессы. 2015. Т. 15. № 6. С. 802.
- Kalasz H., Bathori M. Pharmaceutical applications of TLC // LC GC Europe. 2001. V. 14. № 5. P. 311.
- Ferenczi-Fodor K., Lauko A., Wiskidenszky A., Vegh Z., Jszaszy K. Chromatographic and spectroscopic investigation of irreversible adsorption in conventional TLC and HPTLC and in OPLC // J. Planar Chromatogr. 1999. V. 12. P. 30.
- Reich E., Schibli A. Stationary phases for planar separations – Plates for modern TLC // LC GC. 2015. V. 23. P. 58.
- Ludanyi K., Gomory A., Klebovich I., Monostory K., Vereczkey L., Ujszaszy K., Vekey K. Application of TLC-FAB mass spectrometry in metabolism research // J. Planar. Chromatogr. Mod. TLC. 1997. V. 10. № 2. P. 90.
- Brzezinka H., Dallakian P., Budzikiewicz H. Thin-layer chromatography and mass spectrometry for screening of biological samples for drugs and metabolites // J. Planar Chromatogr. 1999. V. 12. № 2. P. 96.
- Snyder L.R. Principles of Adsorption Chromatography. N.Y.: M. Dekker, 1968. 413 p.
- Беленький Б.Г., Виленчик Л.З. Хроматография полимеров. М.: Химия, 1978. 344 с.
- Belenky B.G., Gank1na E.S., Tennikov M.B., Vilenchik L.Z. Fundamental aspects of adsorption chromatography of polymers and their experimental verification by thin-layer chromatography // J. Chromatogr. 1978. № 147. P. 99. https://doi.org/10.1016/S0021-9673(00)85121-3
- Снайдер Ллойд Р., Киркленд Джозеф Дж., Долан Джон У. Введение в современную жидкостную хроматографию. М.: Техносфера, 2020. 960 с.
- Беленький В.Г., Нестеров В.В., Ганкина Э.С. Теория тонкослойной хроматографии. II. Cравнение теории с экспериментальными результатами // Журн. физ. химии 1968. Т. 42. № 11. С. 2876.
- Киселев A.B., Яшин Я.И. Газо-адсорбционная хроматография. М.: Наука, 1967. 256 с.
- Balger J.C., Michaels A.S. Molecular structure and electrostatic interaction at polymer-solid interface / Interface Conversion for Polymer Coatings / Eds. Weiss P., Dale Cheever G., American Elsevier Publishing Co., 1968. P. 3.
- Belenky B.G., Nesterov V.V. Gankina E.S. Smirnov M.M. A dynamic theory of thin layer chromatography // J. Chromatogr. 1967. V. 31. P. 360. https://doi.org/10.1016/s0021-9673(01)86084-2
- Snyder L.R. Classification of the solvent properties // J. Chromatogr. Sci. 1978. V. 16. P. 223.
- Киселев А.В., Лыгин В.И. Энергетические и спектральные проявления специфической молекулярной адсорбции / Основные проблемы теории физической адсорбции. М.: Наука, 1970. С. 132.
- Pfaab G. The mobile phase in thin-layer chromatography / Modern Thin-layer Chromatography / Eds. Larionov O., Kolomiets L. Russian Academy of Science, Moscow, 1994, p. 85 (translated into Russian).
- Nyiredy Sz., Evdelmeier C.A., Meier B. TLC mobile phase optimization procedure using the “PRIZMA” model // Planta Med. 1985. P. 241.
- Красиков В.Д. Современная планарная хроматография // Журн. аналит. химии. 2003. Т. 58. № 8. С. 792.
- Snyder L.R. Classification of the solvent properties // J. Chromatogr. Sci. 1978. V. 16. P. 223.
- Prabha S., Dorothy R., Jancirani S., Rajendran S., Singh G., Senthil K.S. Recent advances in the study of toxicity of polymer-based nanomaterials // Nanotoxicity. 2020. P. 143. https://doi.org/10.1016/b978-0-12-819943-5.00007-5
- Duncan R. Polymer conjugates as anticancer nanomedicines // Nat. Rev. Cancer. 2006. V. 6. P. 688. https://doi.org/10.1038/nrc1958
- Li I., Alsehli M., Scotti L., Tullius Scotti M., Tsai S.T., Yu R.S., Chen J.C. Progress in polymeric nano-medicines for theranostic cancer treatment // Polymers. 2020. V. 12. № 3. P. 598. https://doi.org/10.3390/polym12030598
- Gorshkov N.I., Murko A.Y., Zolotova Y.I., Nazarova O.V., Krasikov V.D., Panarin E.F., Shatik S.V. Introduction of organometallic species into vinylpyrrolidone-allyliminodiacetate copolymers // Polymers. 2021. T. 13. № 11. P. 1823 https://doi.org/10.3390/polym1311183210.3390/polym13111832
- Panarin E.F., Solovskij M.V., Zaikina N.V., Afinogenov G.E. Biological activity of cationic polyelectrolytes // Macromol. Chem. Suppl. 1985. V. 9. P. 25. https://doi.org/10.1002/MACP.1985.020091985104
- Панарин Е.Ф., Лавров Н.Л., Соловский М.В., Шальнова Л.И. Полимеры – носители биологически активных веществ. СПб: ЦОП “Профессия”, 2014. 304 с.
- Красиков В.Д. Основы планарной хроматографии. СПб.: Химиздат, 2005. 232 с.
- Janvi S., Rajendra K. A Critical review on analytical methods for recently approved FDC drugs: Pregabalin and Etoricoxib // Crit. Rev. Anal. Chem. 2020. P. 1. https://doi.org/10.1080/10408347.2020.1855411
- Отто М. Современные методы аналитической химии. М.: Техносфера, 2021. 656 с.
- Майер В.Р. Практическая высокоэффективная жидкостная хроматография. М.: Техносфера, 2017. 408 с.
- Unger K.K. Porous Silica, Its Properties and Use as Support in Column Liquid Chromatography (Journal of Chromatography Library. V. 16). Amsterdam: Elsevier: 1979. 863 p.
- Абилев С.К., Вайсбург А.Ф., Дегтярь В.Г., Ежова И.Е., Лукина Г.П., Тарасов А.П., Тяглов Б.В., Дегтерев Е.В., Крылов В.И., Новицкий А.П., Полубенцева М.И., Малахова И.И., Красиков В.Д. Видеоденситометр “Денсискан” для количественной тонкослойной хроматографии // Биотехнология. 1993. № 5. С. 44.
- Кирш Ю.Э., Семина Н.В., Калниньш К.К., Шаталов Г.В. Радикальная сополимеризация N-винилпирролидона и N-винилформамида // Высокомолекулярные соединения. Б. 1996. Т. 38. № 11. С. 1905.
- Gu L., Zhu S., Hrymak A.N. Acidic and basic hydrolysis of poly(N-vinylformamide) // J. Appl. Polym. Sci. 2002. V. 86. P. 3412. https://doi.org/10.1002/app.11364
- Nurok D. Strategies for optimizing the mobile phase in planar chromatography // Chem. Rev. 1989. V. 89. № 2. P. 363. https://doi.org/10.1021/cr00092a007
- Kirkland J.J., Glajch J.L. Optimization of mobile phase for multisolvent gradient elution liquid chromatography // J. Chromatogr. 1983. V. 255 P. 27. https://doi.org/10.1016/S0021-9673%2801%2988271-6
- Schoenmaker P.J. Optimization of chromatographic selectivity – A guide to method development. Ch. 5 / Optimization Procedures (Journal of Chromatography Library. V. 35). Amsterdam, Oxford, New York, Tokyo: Elsevier, 1986. P. 170. https://doi.org/10.1016/S0301-4770(08)60419-4
- Nyiredy Sz., Evdelmeier C.A., Sticher O. “PRIZMA” Optimierung der mobilen Phase in der praparativen CLC, GIT Supplement. 1987. № 4. P. 208
- Снайдер Л.Р., Киркленд Д.Д., Доланд Д.У. Введение в современную жидкостную хроматографию. М.: Техносфера, 2020. 960 с.
- Лисичкин Г.В. Модифицированные кремнеземы в сорбции, катализе и хроматографии. М.: Химия, 1985. 246 с.
- Vlasov N.N., Pliss G.B. The role of beta-glucuronidase in the tumor process and cancer prevention // Probl. Oncol. 1990. V. 36. № 9. P. 1037.
- Redinbo M.R., Mani S., Williams A., Scott J., Yeh L.A., Wallace B.D., Lane K.T. Selective beta-glucuronidase inhibitors as a treatment for side effects of camptothecin antineoplastic agents. U.S. Patent US8557808B2, 15 October 2013.
- Панарин Е.Ф. Биологически активные полимерные наносистемы // Изв. АН. Сер. хим. 2017. № 10. С. 1812.
Supplementary files















