Автоматизированное микроэкстракционное выделение свинца из растительных масел для определения методом атомно-абсорбционной спектрометрии
- Authors: Шишов А.Ю.1, Булатов А.В.1
-
Affiliations:
- Санкт-Петербургский государственный университет
- Issue: Vol 79, No 2 (2024)
- Pages: 173-180
- Section: ORIGINAL ARTICLES
- Submitted: 21.07.2024
- Accepted: 21.07.2024
- URL: https://medbiosci.ru/0044-4502/article/view/259969
- DOI: https://doi.org/10.31857/S0044450224020074
- EDN: https://elibrary.ru/vyqyun
- ID: 259969
Cite item
Full Text
Abstract
Для жидкостной микроэкстракции свинца из растительных масел в качестве “зеленых” экстрагентов изучены гидрофильные глубокие эвтектические растворители на основе хлорида холина, карбоновых кислот и воды. Разработан автоматизированный способ микроэкстракции свинца из растительных масел в трехкомпонентный глубокий эвтектический растворитель на основе хлорида холина, молочной кислоты и воды. Карбоновая кислота в составе экстрагента обеспечила эффективный массоперенос свинца за счет комплексообразования. Вода в составе экстрагента позволила снизить его вязкость для автоматизации жидкостной микроэкстракции. Аналитические возможности разработанного способа продемонстрированы на примере определения свинца в растительных маслах методом атомно-абсорбционной спектрометрии с электротермической атомизацией. Предел обнаружения (3σ) свинца составил 0.3 мкг/кг. Разработанный способ не требует минерализации пробы.
Full Text
Автоматизированное микроэкстракционное выделение свинца из растительных масел для определения методом атомно-абсорбционной спектрометрии1
Растительные масла являются неотъемлемой частью повседневного рациона человека. Они обладают высокой пищевой ценностью, содержат незаменимые питательные вещества (моно- и полиненасыщенные жирные кислоты, фосфолипиды, фитостерины, витамины).
Однако помимо полезных веществ они могут содержать различные загрязнители. К числу контролируемых загрязнителей относят свинец [1]. В соответствии с ГОСТом [2] допустимое содержание свинца в растительных маслах составляет 0.1 мг/кг. Свинец может накапливаться в организме человека, оказывая вредное воздействие на кровеносную, почечную и репродуктивную функции, центральную нервную систему [3, 4].
Для определения свинца в растительных маслах широкое применение находят методы атомно-абсорбционной (ААС) [5−8] и атомно-эмиссионной спектрометрии (АЭС) [9], а также электрохимические методы [10, 11].
Независимо от метода анализа пробы растительных масел предварительно подготавливают. Как правило, пробоподготовка масел включает в себя микроволновую минерализацию [11, 12] и выполняется в избытке азотной кислоты и пероксида водорода. В результате проходит выделение в атмосферу токсичных оксидов азота.
После минерализации требуется нейтрализация избытка азотной кислоты и многократное разбавление минерализата для снижения концентрации образующихся солей. В то же время процедура разбавления нежелательна при определении следовых концентраций загрязнителей.
Показана возможность выделения свинца и других металлов из растительных масел методом жидкостной микроэкстракции [6] без применения систем микроволнового разложения проб. При этом в качестве “зеленых” экстрагентов в последнее время находят все большее применение глубокие эвтектические растворители (ГЭР) [13]. Такие растворители представляют собой смеси, состоящие из доноров и акцепторов водородной связи, при смешивании которых образуются жидкости с более низкими температурами плавления, чем у исходных компонентов [14]. Преимущества ГЭР по сравнению с традиционными экстрагентами – это возможность приготовления в лаборатории, регулирование экстракционных свойств при изменении природы прекурсоров и их соотношения, низкие летучесть и токсичность [15, 16].
Повысить эффективность жидкостной микроэкстракции позволяет ее автоматизация на принципах проточных методов, в которых основной акцент сделан на замену ручных процедур автоматизируемыми операциями объединения и смешения потоков пробы, растворов реагентов и экстрагентов [17, 18].
Автоматизация пробоподготовки позволяет снизить трудозатраты и обеспечить высокую воспроизводимость результатов химического анализа. Предложено несколько вариантов автоматизированного анализа водных проб с применением гидрофобных ГЭР [19−21], однако для элементного анализа растительных масел разработан только один автоматизированный способ микроэкстракции в фазу ГЭР [22], который нашел применение для определения меди (катализатор окисления полиненасыщенных жирных кислот) в растительных маслах методом ААС.
В данной работе разработан автоматизированный способ жидкостной микроэкстракции свинца из растительных масел в фазу трехкомпонентного ГЭР на основе хлорида холина, молочной кислоты и воды. Он предполагает последовательное выполнение стадий массопереноса в фазу ГЭР и разделения фаз непосредственно в шприцевом насосе проточной системы. Определение свинца в экстрактах выполняли методом ААС с электротермической атомизацией (ЭТААС).
ЭКСПЕРИМЕНТАЛЬНАЯ ЧАСТЬ
Использовали следующие реактивы: пероксид водорода (30%), хлорид холина, винная, яблочная, лимонная, щавелевая и малоновая безводные кислоты, молочная (80%) и азотная (65%) кислоты, изопропиловый спирт, 2-этилгексонат свинца. Все реагенты имели квалификацию не ниже ч.д.а.
Стандартный раствор свинца в масле (0.1 г/кг) готовили путем растворения навески реагента 2-этилгексоната свинца в подсолнечном масле, раствор хранили при 4°C. Рабочие растворы свинца в подсолнечном масле готовили непосредственно перед экспериментом последовательным разбавлением стандартного раствора той же матрицей. Содержание свинца в подсолнечном масле предварительно определяли методом АЭС после микроволновой минерализации пробы.
Оливковое, подсолнечное и рапсовое масло приобретали в местном супермаркете (Санкт-Петербург, Россия). Все пробы хранили в оригинальной упаковке (пластиковые или стеклянные флаконы) в темном месте при комнатной температуре в течение трех месяцев.
Гидравлическая схема (рис. 1) автоматизации жидкостной микроэкстракции предполагала коммутацию следующих устройств: восьмиходового крана-переключателя (Sciware Systems, Испания); шприцевого насоса (Sciware Systems, Испания) со стеклянным шприцем емк. 5 мл, снабженным магнитной мешалкой (Sciware Systems, Испания) (длина 5 мм, диаметр 2 мм), помещенной внутрь шприца. Устройство магнитной мешалки подробно описано в работе [23]. Для коммутации устройств использовали трубки из политетрафторэтилена внутренним диаметром 0.8 мм.
Рис. 1. Гидравлическая схема для автоматизации микроэкстракции свинца из растительных масел.
Для определения концентрации свинца в экстрактах использовали атомно-абсорбционный спектрометр (Shimadzu, Япония) с дейтериевой коррекцией фона и системой распылителя с графитовой печью.
Атомно-эмиссионный спектрометр ICPE-9000 с индуктивно связанной плазмой (Shimadzu, Япония) использовали для определения свинца в маслах после их микроволнового разложения.
Минерализацию проб проводили в системе микроволнового разложения MDS-12 (Sineo, Китай). Динамическую вязкость экстрагентов измеряли с помощью вискозиметра Штабингера SVM 1001 (Anton Paar, Австрия). Для определения воды в ГЭР использовали кулонометрический титратор 831KF (Metrohm, Швейцария).
Для приготовления двухкомпонентных ГЭР хлорид холина, малоновой и карбоновой кислот смешивали в мольном соотношении 1:1 при перемешивании магнитной мешалкой при 100°C до получения однородных вязких жидкостей. Для приготовления трехкомпонентных ГЭР к двухкомпонентным растворителям добавляли воду (до 30%).
РЕЗУЛЬТАТЫ И ИХ ОБСУЖДЕНИЕ
На предварительном этапе для выделения свинца из растительного масла в качестве “зеленых” экстрагентов изучали двухкомпонентные гидрофильные ГЭР на основе хлорида холина и карбоновых кислот (винной, яблочной, лимонной, щавелевой, малоновой). Холин-хлорид выступал в качестве акцептора водородных связей, а карбоновые кислоты – в качестве доноров водородных связей.
Выбор таких ГЭР связан с тем, что они не смешиваются с растительным маслом, а выбранные карбоновые кислоты образуют комплексные соединения с ионами металлов [24]. В предварительных экспериментах экстракцию выполняли вручную. Для этого в стеклянном флаконе смешивали 1 г раствора свинца в подсолнечном масле (100 мкг/кг) и 1 г ГЭР. Смесь нагревали до 50 оС для снижения вязкости пробы и экстрагента и перемешивали в течение 60 мин. с помощью магнитной мешалки.
Затем смесь центрифугировали в течение 10 мин. при 600×g, отбирали фазу экстракта, разбавляли ее в 10 раз деионизованной водой и анализировали раствор методом ААС.
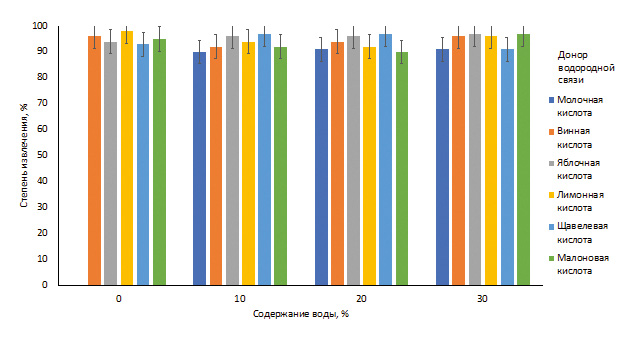
Установили, что все изученные ГЭР обеспечивают удовлетворительное извлечение свинца из растительного масла, степень извлечения превышает 90% (рис. 2). Однако приготовленные ГЭР представляют собой высоковязкие жидкости, которые невозможно отобрать в шприцевой насос проточной системы. Динамическая вязкость ГЭР, установленная при 20 оС с помощью вискозиметра Штабингера, находилась в диапазоне от 140 до 10 млн мПа·с.
Рис. 2. Влияние состава ГЭР на степень выделения свинца из растительного масла (100 мкг/л Pb, объем пробы – 1 мл, объем ГЭР – 1 мл, время перемешивания фаз – 30 мин).
Для снижения вязкости экстрагентов к двухкомпонентным ГЭР добавляли воду в диапазоне концентраций от 10 до 30%. Известно, что вода может выступать прекурсором трехкомпонентных ГЭР при ее содержании до 30% [25]. Более высокая концентрация воды может способствовать разрушению ГЭР.
Кроме того, готовили трехкомпонентный ГЭР на основе хлорида холина, молочной кислоты и воды. Исходная молочная кислота содержала 20% воды, поэтому двухкомпонентный ГЭР на ее основе не получали. Все трехкомпонентные ГЭР на основе хлорида холина, карбоновых кислот и воды тестировали для оценки возможности выделения свинца из растительного масла.
На основании полученных результатов (см. рис. 2) сделали вывод, что двухкомпонентные и трехкомпонентные ГЭР обеспечивают сопоставимую эффективность выделения свинца. При этом с увеличением концентрации воды в трехкомпонентных ГЭР их вязкость значительно снижается (табл. 1).
Таблица 1. Динамическая вязкость глубоких эвтектических растворителей (акцептор водородной связи – хлорид холина) (n = 3, P = 0.95).
Донор водородной связи | Динамическая вязкость при 25oС, мПа с | |||
1% воды | 10% воды | 20% воды | 30% воды | |
Молочная кислота | – | 154±6 | 36.1±1.1 | 13.6±0.4 |
Щавелевая кислота | 284±11 | 46±1 | 15.7±0.3 | 7.1±0.3 |
Малоновая кислота | 2208±50 | 147±4 | 21.8±0.8 | 10.8±0.4 |
Яблочная кислота | 19098±180 | 401±12 | 69±2 | 18.4±0.5 |
Винная кислота | 4504994±13000 | 2436±60 | 158±4 | 29.1±1.2 |
Лимонная кислота | 10099000±167000 | 8327±80 | 343±10 | 34.4±1.6 |
Минимальные значения динамической вязкости получили в случае ГЭР на основе молочной, щавелевой и малоновой кислот. Однако ионы свинца с щавелевой и малоновой кислотами образуют осадки, поэтому в качестве донора водородной связи выбрали молочную кислоту, которая обеспечивает массоперенос ионов свинца за счет образования комплексов, растворимых в фазе ГЭР. При этом введение воды в ГЭР (30%) обеспечило существенное снижение вязкости экстрагента для его воспроизводимого отбора в шприцевой насос.
Соотношение объемов пробы и ГЭР влияет на степень извлечения свинца и коэффициент концентрирования. Изучали влияние объема экстрагента при фиксированном объеме пробы на указанные ранее параметры. Режим микроэкстракции оптимизировали в условиях автоматизации процесса. В шприцевой насос (см. рис. 1) через кран-переключатель отбирали 4 мл раствора свинца в подсолнечном масле (25 мкг/кг) и различные объемы трехкомпонентного ГЭР (хлорид холина, молочная кислота и вода (30%)) в диапазоне от 100 до 500 мкл. Общий объем фаз ограничен номинальным объемом шприца (5 мл). Шприцевой насос оснащен вкладышем магнитной мешалки, который обеспечивал диспергирование ГЭР в фазе пробы при перемешивании (10 мин.).
После остановки перемешивающего устройства и разделения фаз экстракт направляли в полипропиленовую пробирку, разбавляли в 10 раз деионизованной водой и анализировали. С уменьшением объема фазы ГЭР до 100 мкл значение аналитического сигнала (абсорбция) увеличивалось (рис. 3). При объеме фазы ГЭР менее 100 мкл невозможно отобрать экстракт без захвата фазы пробы.
Рис. 3. Влияние объема трехкомпонентного ГЭР на основе хлорида холина, молочной кислоты и воды на абсорбцию (25 мкг/л Pb, объем пробы – 4 мл, время перемешивания фаз 10 мин.).
Поскольку масло и ГЭР являются вязкими жидкостями, процесс массопереноса может быть кинетически замедленным. Изучали влияние времени перемешивания фаз на эффективность массопереноса. Для этого раствор свинца в подсолнечном масле (4.0 мл, 25 мкг/кг) и ГЭР (100 мкл) перемешивали в шприце в течение 1−10 мин. Определили, что для установления равновесия в экстракционной системе требуется перемешивание фаз в течение 5 мин. (рис. 4).
Рис. 4. Влияние времени перемешивания фаз в шприцевом насосе на степень выделения свинца из растительного масла (25 мкг/л Pb, объем пробы – 4 мл, объем ГЭР – 100 мкл).
Компоненты матрицы масла и сами прекурсоры ГЭР могут влиять на значение аналитического сигнала. Изучали их влияние на абсорбцию при определении свинца методом ЭТААС. Для этого в шприцевой насос отбирали 4 мл раствора свинца в подсолнечном масле (20 мкг/кг) и 100 мкл ГЭР. После микроэкстракции отбирали экстракт и разбавляли его деионизованной водой в 2−10 раз. Измеряли абсорбцию водного раствора ионов свинца и разбавленного экстракта, в которых концентрации аналита были одинаковы. Оценивали смещение по формуле
Смещение (%) = (Абсорбция экстракта / Абсорбция стандартного раствора – 1) × 100.
Установили, что минимальное смещение (8%) наблюдается при пятикратном разбавлении экстракта и более. В этом случае для построения градуировочной кривой можно использовать стандартные водные растворы аналита. Таким образом, при соотношении фаз 100:4 000 (ГЭР-проба) степень извлечения свинца составила 95%, а коэффициент концентрирования с учетом пятикратного разбавления – 8.
Полученные результаты позволили предложить способ определения свинца в растительных маслах.
На первом этапе через кран-переключатель (положение а) в шприцевой насос отбирали 4 мл пробы со скоростью 2 мл/мин (см. рис. 1). После этого кран переключали в положение б и в шприцевой насос отбирали 100 мкл трехкомпонентного ГЭР (хлорид холина – молочная кислота – вода (30%)) со скоростью 1 мл/мин.
Затем для интенсификации экстракции двухфазную систему перемешивали с помощью вкладыша магнитной мешалки расположенного внутри шприца. Время диспергирования – 5 мин. Затем мешалку останавливали, и выдерживали 5 мин. для разделения фаз. Верхнюю фазу пробы сбрасывали через кран-переключатель (положение в), затем кран менял положение (г), и в шприцевой насос отбирали 400 мкл деионизованной воды для разбавления экстракта.
После перемешивания фаз в течение 10 с полученный раствор направляли на анализ. На последнем этапе в шприцевой насос отбирали 500 мкл изопропилового спирта (положение д крана-переключателя) для промывки.
Условия атомно-абсорбционного анализа: ток лампы – 4 мА, длина волны – 192.8 нм, ширина щели – 0.4 нм, объем пробы для анализа – 10 мкл.
Для построения градуировочной зависимости использовали стандартные водные растворы ионов свинца, приготовленные разбавлением стандартного образца раствора ионов свинца (ГСО 7877-2000, 1 г/л). Диапазон определяемых концентраций свинца в водной фазе составил от 8 до 160 мкг/л с коэффициентом детерминации 0.9992.
Уравнение градуировочной кривой: A = 0.0054c + 0.0316, где А – абсорбция, с –концентрация ионов свинца в водном растворе (мкг/л). Диапазон определяемых концентраций свинца в масле составил от 1 до 20 мкг/кг (установлен с учетом соотношения фаз, степени извлечения, коэффициента разбавления и плотности масла). Пределы обнаружения (3σ) и определения (10σ) составили 0.3 и 1 мкг/кг соответственно. Способ позволяет определять свинец в растительных маслах ниже уровня допустимой концентрации (0.1 мг/кг).
Для оценки прецизионности рассчитывали относительное среднеквадратичное отклонение (ОСКО). Для этого выполняли анализ растительного масла с добавками свинца (1 и 20 мкг/ кг). Значения ОСКО в условиях повторяемости составили 7 и 5% для концентраций аналита 1 и 20 мкг/ кг соответственно. Значения ОСКО в условиях внутрилабораторной воспроизводимости – 9 и 7% для концентраций аналита 1 и 20 мкг/кг соответственно.
Правильность получаемых результатов подтверждали методом “введено–найдено”. Для этого определяли свинец в оливковом, подсолнечном и рапсовом масле до и после введения добавок 2-этилгексоната свинца. Во всех пробах масла содержание свинца было ниже предела обнаружения (табл. 2). Для всех проб установленное смещение не превышало 8%, что подтверждает отсутствие существенного мешающего влияния компонентов матрицы на извлечение и определение свинца методом ЭТААС.
Таблица 2. Результаты определения свинца в растительных маслах (n = 5, P = 0.95, F = 5.05, t = 2.78)
Проба | Введено, мкг/кг | Найдено, мкг/кг | F-тест | t-тест | Смещение, % | |
ААС | АЭС | |||||
Подсолнечное масло | 0 | <0.3 | <0.1 | – | – | – |
1 | 0.92±0.02 | 0.93±0.02 | 2.34 | 1.43 | 8 | |
10 | 10.8±0.4 | 11.4±0.4 | 2.45 | 1.56 | 8 | |
Рапсовое масло | 0 | <0.3 | <0.1 | – | – | – |
1 | 1.01±0.03 | 1.02±0.02 | 2.46 | 1.33 | 1 | |
10 | 9.7±0.3 | 9.9±0.4 | 3.45 | 0.97 | 3 | |
Оливковое масло | 0 | <0.3 | <0.1 | – | – | – |
1 | 1.02±0.02 | 1.04±0.03 | 3.47 | 1.22 | 2 | |
10 | 10.4±0.4 | 9.8±0.3 | 4.21 | 1.45 | 4 | |
Дополнительно анализировали пробы масла методом АЭС с индуктивно связанной плазмой с предварительной микроволновой минерализацией проб. Для этого в соответствии с рекомендациями [24] 0.5 г пробы масла смешивали с 3 мл 65%-ной азотной кислоты и 2 мл 30%-ного пероксида водорода в тефлоновом сосуде для микроволнового разложения.
Через 30 мин. сосуды помещали в систему микроволновой минерализации и проводили разложение по следующей программе: подъем температуры до 130 оC в течение 5 мин.; выдерживание при 130 оC в течение 15 мин.; охлаждение до 80 оС в течение 10 мин. Полученные минерализаты нейтрализовали добавлением раствора аммиака (6 М), растворы переносили в мерные колбы емк. 25 мл и доводили до метки деионизованной водой для дальнейшего анализа.
Свинец в растворах определяли при следующих условиях: скорость потока пробы – 1.0 мл/мин, расход плазмообразующего газа (аргона) – 10.0 мл/мин, расход вспомогательного газа (аргона) – 0.2 мл/мин, расход аргона через небулайзер – 1 мл/мин, мощность высокочастотного генератора – 1.5 кВт. Для сравнения результатов, полученных методами ЭТААС и АЭС, использовали F- и t-критерии (n = 5). Полученные значения F ≤ 5.05 (см. табл. 2) указывают на незначительное различие в величинах стандартных отклонений, а полученные значения t ≤ 2.78 указывают на отсутствие статистически значимого различия между полученными результатами.
* * *
Для определения свинца в растительных маслах методом атомно-абсорбционной спектрометрии с электротермической атомизацией разработан автоматизированный способ жидкостной микроэкстракции, основанный на выделении аналита в трехкомпонентный глубокий эвтектический растворитель на основе хлорида холина, молочной кислоты и воды.
Молочная кислота в составе экстрагента выступает в качестве хелатирующего агента для реакционной микроэкстракции. Вода в составе экстрагента позволяет снизить его вязкость для реализации автоматизированной микроэкстракции на принципах проточного метода.
Установлены основные закономерности массопереноса свинца из растительного масла в трехкомпонентный глубокий эвтектический растворитель. Способ позволил исключить ручные манипуляции при пробоподготовке и стадию центрифугирования при выполнении микроэкстракции.
Авторы выражают благодарность Российскому научному фонду (проект № 22-73-10039, https://rscf.ru/project/22-73-10039/) за финансовую поддержку. Исследования выполнены на оборудовании научного парка СПбГУ (Центр методов анализа состава веществ).
1 Посвящается 300-летию Санкт-Петербургского государственного университета.
About the authors
А. Ю. Шишов
Санкт-Петербургский государственный университет
Author for correspondence.
Email: andrey.shishov.rus@gmail.com
Институт химии
Russian Federation, 198504, Санкт-Петербург, Университетский просп., 26А. В. Булатов
Санкт-Петербургский государственный университет
Email: andrey.shishov.rus@gmail.com
Институт химии
Russian Federation, 198504, Санкт-Петербург, Университетский просп., 26References
- Shah N.S.,Soylak M. Advanced methodologies for trace elements in edible oil samples: A review // Crit. Rev. Anal. Chem. 2022. V. 52. № 7 P. 1572. https://doi.org/10.1080/10408347.2021.1895710
- ГОСТ 26932-86. Государственный стандарт Российской Федерации. Сырье и продукты пищевые. Методы определения свинца. https://docs.cntd.ru/document/1200021129
- Mdluli N.S., Nomngongo P.N., Mketo N. A critical review on application of extraction methods prior to spectrometric determination of trace-metals in oily matrices // Crit. Rev. Anal. Chem. 2022. V. 52. № 1. P. 1. https://doi.org/10.1080/10408347.2020.1781591
- Dadfarnia S., Salmanzadeh A.M., Shabani A.M.H. A novel separation/preconcentration system based on solidification of floating organic drop microextraction for determination of lead by graphite furnace atomic absorption spectrometry // Anal. Chim. Acta. 2008. V. 623. № 2. P. 163. https://doi.org/10.1016/j.aca.2008.06.033
- López-García I., Vicente-Martínez Y., Hernández-Córdoba M. Determination of cadmium and lead in edible oils by electrothermal atomic absorption spectrometry after reverse dispersive liquid-liquid microextraction // Talanta. 2014. V. 124. P. 106. https://doi.org/10.1016/j.talanta.2014.02.011
- Yao L., Liu H., Wang X., Xu W., Zhu Y., Wang H., Pang L., Lin C. Ultrasound-assisted surfactant-enhanced emulsification microextraction using a magnetic ionic liquid coupled with micro-solid phase extraction for the determination of cadmium and lead in edible vegetable oils // Food Chem. 2018. V. 256. P. 212. https://doi.org/10.1016/j.foodchem.2018.02.132
- Gunduz S., Akman S. Investigation of trace element contents in edible oils sold in Turkey using microemulsion and emulsion procedures by graphite furnace atomic absorption spectrophotometry // L.W.T. 2015. V. 64. № 2. P. 1329. https://doi.org/10.1016/j.lwt.2015.07.032
- Karadjova I., Zachariadis G., Boskou G., Stratis J. Electrothermal atomic absorption spectrometric determination of aluminium, cadmium, chromium, copper, iron, manganese, nickel and lead in olive oil // J. Anal. At. Spectrom. 1998. V. 13. № 3. P. 201. https://doi.org/10.1039/a707256b
- Hsu W.H., Jiang S.J., Sahayam A.C. Determination of Cu, As, Hg and Pb in vegetable oils by electrothermal vaporization inductively coupled plasma mass spectrometry with palladium nanoparticles as modifier // Talanta. 2013. V. 117. P. 268. https://doi.org/10.1016/j.talanta.2013.09.013
- Abbasi S., Allahyari M., Taherimaslak Z., Nematollahi D., Abbasi F. New determination of lead in edible oil and water samples by high selective adsorptive stripping voltammetry with SPADNS // Int. J. Electrochem. Sci. 2009. V. 4. № 4. P. 602.
- Dugo G., La Pera L. La Torre G. L. Giuffrida D. Determination of Cd(II), Cu(II), Pb(II), and Zn(II) content in commercial vegetable oils using derivative potentiometric stripping analysis // Food Chem. 2004. V. 87. №4. P. 639. https://doi.org/10.1016/j.foodchem.2003.12.035
- Ansari R. Kazi T.G., Jamali M.K., Arain M.B., Wagan M.D., Jalbani N., Afridi H.I., Shah A.Q. Variation in accumulation of heavy metals in different verities of sunflower seed oil with the aid of multivariate technique // Food Chem. 2009. V. 115. № 1. P. 318. https://doi.org/10.1016/j.foodchem.2008.11.051
- Shishov A., Gorbunov A., Baranovskii E., Bulatov A. Microextraction of sulfonamides from chicken meat samples in three-component deep eutectic solvent // Microchem. J. 2020. V. 158. Article 105274. https://doi.org/10.1016/j.microc.2020.105274
- Pochivalov A., Cherkashina K., Shishov A., Bulatov A. Microextraction of sulfonamides from milk samples based on hydrophobic deep eutectic solvent formation by pH adjusting // J. Mol. Liq. 2021. V. 339. Article 116827. https://doi.org/10.1016/j.molliq.2021.116827
- Milevskii N.A., Zinov’eva I.V., Zakhodyaeva Y.A., Voshkin A.A. Separation of Li(I), Co(II), Ni(II), Mn(II), and Fe(III) from hydrochloric acid solution using a menthol-based hydrophobic deep eutectic solvent // Hydrometallurgy. 2022. V. 207. Article 105777. https://doi.org/10.1016/j.hydromet.2021.105777
- Tsvetov N., Paukshta O., Fokina N., Volodina N., Samarov A. Application of natural deep eutectic solvents for extraction of bioactive components from Rhodiola Rosea (L.) // Molecules. 2023. V. 28. № 2. Article 912. https://doi.org/10.3390/molecules28020912
- Вах К.С., Тимофеева И.И., Булатов А.В. Автоматизация микроэкстракционного концентрирования на принципах циклического инжекционного анализа // Журн. аналит. химии. 2019. Т. 74. № 11. С. 846. (Vakh K.S., Timofeeva I.I., Bulatov A.V. Automation of microextraction preconcentration methods based on stepwise injection analysis // J. Anal. Chem. 2019. V. 74. № 11. P. 1127. https://doi.org/10.1134/S106193481911011X)
- Цизин Г.И., Статкус М.А., Золотов Ю.А. Сорбционное и экстракционное концентрирование микрокомпонентов в проточных системах анализа // Журн. аналит. химии. 2015. Т. 70. № 11. С. 1123.
- Yıldırım S., Cocovi-Solberg D.J., Uslu B., Solich P., Horstkotte B. Lab-in-syringe automation of deep eutectic solvent-based direct immersion single drop microextraction coupled online to high-performance liquid chromatography for the determination of fluoroquinolones // Talanta. 2022. V. 246. Article 123476. https://doi.org/10.1016/j.talanta.2022.123476
- Shishov A., Pochivalov A., Dubrovsky I., Bulatov A. Deep eutectic solvents with low viscosity for automation of liquid-phase microextraction based on lab-in-syringe system: Separation of Sudan dyes // Talanta. 2023. V. 255. Article 124243. https://doi.org/10.1016/j.talanta.2022.124243
- Shakirova F., Shishov A., Bulatov A. Automated liquid-liquid microextraction and determination of sulfonamides in urine samples based on schiff bases formation in natural deep eutectic solvent media // Talanta. 2021. V. 234. Article 122660. https://doi.org/10.1016/j.talanta.2021.122660
- Shishov A., Gurev I., Bulatov A. Automated reversed-phase liquid-liquid microextraction based on deep eutectic solvent for the determination of copper as vegetable oil oxidation catalyst // J. Food Compos. Anal. 2023. V. 119. Article 105247. https://doi.org/10.1016/j.jfca.2023.105247
- Horstkotte B., Suárez R., Solich P., Cerdà V. In-syringe-stirring: A novel approach for magnetic stirring-assisted dispersive liquid-liquid microextraction // Anal. Chim. Acta. 2013. V. 788. P. 52. https://doi.org/10.1016/j.aca.2013.05.049
- Shishov A., Savinov S., Volodina N., Gurev I., Bulatov A. Deep eutectic solvent-based extraction of metals from oil samples for elemental analysis by ICP-OES // Microchem. J. 2022. V. 179. Article. 107456. https://doi.org/10.1016/j.microc.2022.107456
- Vilková M., Płotka-Wasylka J., Andruch V. The role of water in deep eutectic solvent-base extraction // J. Mol. Liq. 2020. V. 304. Article 112747. https://doi.org/10.1016/j.molliq.2020.112747
Supplementary files






