Membrane chromatographic test system for the determination of bisphenol A in drinking water based on the use of an aptamer
- Authors: Komova N.S.1, Serebrennikova K.V.1, Berlina A.N.1, Zherdev A.V.1, Dzantiev B.B.1
-
Affiliations:
- Research Center of Biotechnology of the Russian Academy of Sciences
- Issue: Vol 79, No 5 (2024)
- Pages: 524-533
- Section: ORIGINAL ARTICLES
- Submitted: 09.12.2024
- Accepted: 09.12.2024
- URL: https://medbiosci.ru/0044-4502/article/view/272529
- DOI: https://doi.org/10.31857/S0044450224050116
- EDN: https://elibrary.ru/updnve
- ID: 272529
Cite item
Full Text
Abstract
A membrane test system has been developed for the rapid determination of bisphenol A in drinking water, utilizing a conjugate of gold nanoparticles with an aptamer that specifically binds the target analyte, and a conjugate of mercaptosuccinic acid with a carrier protein impregnated in the test zone of the strip. The working principle of the test system is based on the binding of free gold nanoparticles in the test zone, which are formed as a result of the competitive interaction of the aptamer with bisphenol A and its release from the surface of the gold nanoparticles. Conjugates of gold nanoparticles with aptamers of different compositions were obtained and tested. Optimal conditions were selected to achieve a low detection limit for bisphenol A. The developed test system allows for the detection of bisphenol A within 15 minutes with a detection limit of 13.5 ng/mL. The suitability of the test system was confirmed by testing drinking water; the detection rate of bisphenol A ranged from 88.2 to 101.3%.
Full Text
Активная индустриализация приводит к загрязнению окружающей среды, оказывающему негативное воздействие на здоровье человека. Широкомасштабное производство упаковочных материалов для бытовых нужд требует введения в их состав добавок, повышающих гибкость и пластичность конечной продукции. К таким соединениям относятся эфиры фталевой кислоты, бисфенол А и его гомологи, а также ряд других органических веществ. В отличие от фталатов, не образующих в упаковочных материалах химических связей с основным полимером, бисфенол А (2,2-бис(4-гидроксифенил)пропан) используется в качестве мономера при производстве полимерных смол, покрывающих внутреннюю поверхность упаковки, контактирующую с пищевыми продуктами и водой [1]. При неадекватной полимеризации, повышенной кислотности среды и нагревании исходный мономер мигрирует в окружающую среду [2]. Последние исследования токсичности бисфенола А подтвердили его негативное влияние на метаболические процессы в организмах человека и животных [2–5]. В связи с этим бисфенол А относится к соединениям, нормируемым в воде и пищевой продукции в разных странах. Предельно допустимая концентрация бисфенола А в питьевой воде в России составляет 10 нг/мл [6], Всемирная организация здравоохранения рекомендует стандартный уровень бисфенола А 8 нг/мл [7].
При определении бисфенола А преобладают инструментальные методы, такие как высокоэффективная жидкостная хроматография [8, 9] и жидкостная/газовая хроматография с масс-спектрометрическим детектированием [10–12], характеризующиеся низкими пределами обнаружения. Однако эти методы требуют дорогостоящего оборудования, трудоемкой и длительной предварительной подготовки проб и высокой квалификации операторов, что ограничивает их широкое применение. Простое и чувствительное определение бисфенола А крайне востребовано для мониторинга питьевой воды. С этой целью разрабатывались гомогенные колориметрические системы с использованием аптамеров [13, 14], а также иммуноферментные системы [15].
Применение мембранных хроматографических тест-систем позволяет сократить время тестирования, обеспечить его простоту и экономическую эффективность [16, 17]. На сегодняшний день иммунохроматографические тест-системы с использованием антител широко применяются для медицинской и ветеринарной диагностики, контроля качества пищевых продуктов, активно разрабатываются для экологического мониторинга. Однако количество подобных разработок для определения бисфенола А весьма ограничено: предложены традиционный [18] и усиленный [19] форматы иммунохроматографического определения с применением конъюгата антител против бисфенола А с наночастицами золота. Однако антитела являются дорогостоящими реагентами с ограниченной стабильностью [20]. В последнее время в качестве альтернативных распознающих молекул все чаще предлагаются аптамеры – короткоцепочечные олигонуклеотиды с заданной последовательностью, получаемые химическим синтезом [20]. Успешность их применения показана в системах определения как высокомолекулярных [21, 22] и корпускулярных [23] аналитов, так и низкомолекулярных соединений [24, 25]. К преимуществам аналитических систем на основе аптамеров относятся высокая стабильность, аффинность и специфичность, простота производства и модификации, а также более низкая стоимость реагентов [26]. Однако определение бисфенола А с использованием аптамеров на сегодняшний день реализовано только в гомогенном формате с электрохимической, флуоресцентной и колориметрической детекцией [27–29].
В данной работе предложена простая мембранная тест-система с использованием конъюгатов наночастиц золота (НЧЗ) с аптамером, специфичным к бисфенолу А, и последующим связыванием тиоловых групп конъюгата мекаптоянтарная кислота–бычий сывороточный альбумин с наночастицами золота. Установлены оптимальные условия для выявления бисфенола А в низких концентрациях. Практическая применимость разработанной тест-системы подтверждена при тестировании проб питьевой воды.
ЭКСПЕРИМЕНТАЛЬНАЯ ЧАСТЬ
Реагенты. Аналитический стандарт бисфенола приобретали у фирмы Sigma-Aldrich (США). В работе использовали 4,4-бис(4-гидроксифенил)валериановую кислоту, нонилфенол, эстрандиол, эстрон и фталевую кислоту (Sigma-Aldrich, США). Аптамер SH-(CH2)6TGAGGTGGGATAGCGTTCCGCGTATGGCCCA приобретали у компании “Синтол” (Россия). Золотохлористоводородную кислоту, N, N'-дициклогексилкарбодиимид, цитрат натрия, меркаптоянтарную кислоту (МЯК), бычий сывороточный альбумин (БСА), Твин-20 и трис(2-карбоксиэтил)фосфин приобретали у фирмы Sigma-Aldrich (США); соли для приготовления буферных растворов – у “Химмед” (Россия). Для приготовления растворов использовали воду, деионизованную с помощью установки Milli-Q (Millipore, США). Все вспомогательные реагенты аналитической или химической чистоты. Исходный раствор бисфенола А (3 мг/мл) готовили в метаноле (Fluka, США) и хранили при 4 оC.
Материалы и оборудование. Спектр поглощения НЧЗ регистрировали с помощью спектрофотометра UV-2450 производства “Shimadzu” (Япония). Размеры НЧЗ характеризовали методом просвечивающей электронной микроскопии (ПЭМ) с использованием микроскопа модели JEM CX-100 (Jeol, Япония), работающего при ускоряющем напряжении 80 кВ. Инфракрасные спектры с преобразованием Фурье регистрировали в диапазоне 400–4000 см–1 с использованием ИК-спектрофотометра FT/IR-6700 (Jasco, Япония) при комнатной температуре. Цифровые изображения тестовых зон мембран получали с помощью сканера CanoScan 9000F (Canon, Япония) и обрабатывали с помощью программного пакета TotalLab TL120 (Nonlinear Dynamics, Великобритания).
Синтез конъюгата бычий сывороточный альбумин–меркаптоянтарная кислота проводили по методике, описанной ранее [30]. Полученный конъюгат трехкратно очищали с помощью центрифужных концентраторов Amicon-30 (Merck Millipore, Ирландия) в течение 15 мин при 6 500×g с использованием фосфатного буферного раствора (10 мМ, рН 7.4).
Синтез сферических наночастиц золота. Препараты НЧЗ разного диаметра (НЧЗ-1 и НЧЗ-2) синтезировали по методике [31] с модификациями. Для получения НЧЗ-1 к 46.5 мл кипящей воды добавляли 3 мл 1%-ного раствора цитрата натрия и через 5 мин – 500 мкл 1%-ного раствора золотохлористводородной кислоты. Смесь кипятили в течение 15 мин, затем охлаждали и хранили при 4 оC. Для получения НЧЗ-2 100 мл 0.01%-ного раствора золотохлористоводородной кислоты нагревали до кипения и при активном перемешивании добавляли 1.3 мл 1%-ного раствора цитрата натрия. Смесь кипятили в течение 15 мин, охлаждали и хранили при 4 оC.
Синтез наночастиц золота, модифицированных аптамером ([32] с изменениями). Для конъюгирования с НЧЗ использовали SH-модифицированный аптамер, активацию которого проводили следующим образом: исходный раствор аптамера разбавляли до концентрации 20 мкМ в 10 мМ фосфатном буферном растворе (рН 7.4), после чего нагревали до 95 оC, инкубировали в течение 5 мин и охлаждали до комнатной температуры. Для активации тиольных групп к 90 мкл 20 мкМ раствора аптамера добавляли 4.5 мкл 20 мМ раствора трис(2-карбо- ксиэтил)фосфина и инкубировали в течение 1 ч при комнатной температуре и перемешивании. Перед конъюгацией НЧЗ с аптамером значение рН доводили до 8.5 добавлением 0.2 М раствора K2CO3 и концентрировали до оптической плотности (ОП) 7.5 при 525 нм. Далее к 30 мкл активированного аптамера добавляли по 400 мкл концентрированных растворов НЧЗ-1 и НЧЗ-2 и инкубировали в течение 16 ч при комнатной температуре. После инкубации к растворам конъюгатов добавляли 1 М раствор NaCl по 4 мкл каждые 20 мин до конечной концентрации 70 мМ и оставляли растворы на 24 ч при 4 оC. Избыток тиолированного аптамера удаляли, отбирая супернатант после центрифугирования при 6800g в течение 10 мин, а конъюгаты НЧЗ-1-Апт и НЧЗ-2-Апт повторно растворяли в 10 мМ фосфатном буферном растворе (pH 7.4), содержащем 1% сахарозы, 1% БСА и 0.25% Твин-20. Полученные препараты конъюгатов НЧЗ-1-Апт и НЧЗ-2-Апт хранили при 4 оC.
Изготовление иммунохроматографических тест-полосок. Для формирования тестовой зоны конъюгат БСА–МЯК в концентрации 1 мг/мл в дистиллированной воде наносили на нитроцеллюлозную мембрану с помощью дозатора IsoFlow (Imagene Technology, США) и высушивали при 37 оC в течение 2 ч в термостате ТС1/80 (Смоленское специальное конструкторско-технологическое бюро систем программного управления, Россия). При сборке тест-полоски для нанесения образца использовали нитроцеллюлозную рабочую мембрану PT-R5 (MDI, Индия), мембрану для образца PT-R7 (Advanced Microdevices, Индия) и впитывающую мембрану AP045 (Advanced Microdevices, Индия). Мембрану для образца, впитывающую подушку и нитроцеллюлозную рабочую мембрану последовательно фиксировали на подложке с нахлестом 1–2 мм, а затем разрезали композит на полоски шириной 3.5 мм с помощью автоматического гильотинного резака Index Cutter-1 (A-Point Technologies, США). Полученные тест-полоски запечатывали в пластиковый пакет с влагопоглотителем и хранили при комнатной температуре.
Определение бисфенола А с использованием мембранной хроматографической тест-системы проводили при комнатной температуре. Растворы бисфенола А готовили в смеси метанол–вода (1:4), содержащей 1% Твин-20. 2 мкл НЧЗ-Апт (ОП 7.5) смешивали со 100 мкл раствора бисфенола А, инкубировали в течение 5 мин и погружали в полученную смесь тест-полоску. После высыхания на горизонтальной поверхности при комнатной температуре тест-полоску сканировали для получения цифрового изображения и количественно оценивали интенсивность окрашивания с помощью программного пакета TotalLab TL120 (Nonlinear Dynamics, Великобритания).
Определение бисфенола А в питьевой воде. Питьевую бутилированную воду (артезианская негазированная) в стеклянной емкости приобретали в розничной сети. В пробу добавляли известные концентрации бисфенола А и тестировали с использованием тест-полосок.
Обработка данных, полученных с использованием мембранной хроматографической тест-системы. Зависимость интенсивности окрашивания тестовой зоны мембраны от концентрации бисфенола А (градуировочную зависимость) строили в полулогарифмических координатах и аппроксимировали с помощью четырехпараметрической сигмоидной функции. Предел обнаружения рассчитывали по 3σ-критерию. Диапазон значений IC20–IC80 оценивали как рабочий диапазон определяемых концентраций, где значения IC20 и IC80 соответствуют концентрациям, которые ингибируют 80 и 20% аналитического сигнала.
РЕЗУЛЬТАТЫ И ИХ ОБСУЖДЕНИЕ
Принцип определения бисфенола А. Принцип работы тест-системы основан на специфическом связывании аптамера и бисфенола А, сопровождающемся его десорбцией [29, 30] с поверхности наночастиц золота. Отсутствие молекул аптамера на металлической поверхности приводит к захвату свободных наночастиц золота конъюгатом БСА–МЯК, адсорбированным в тестовой зоне нитроцеллюлозной мембраны (рис. 1). В качестве детектирующиего агента выбрана меркаптоянтарная кислота, обеспечивающая накопление НЧЗ в тестовой зоне из-за высокоаффинного связывания тиоловых групп с поверхностью НЧЗ. Стабилизированные цитратом НЧЗ предварительно конъюгировали с аптамером, связывающим бисфенол А, что предотвращает захват наночастиц в тестовой зоне в отсутствие целевого аналита. Тест-полоски погружали в раствор, содержащий бисфенол А и конъюгат НЧЗ с аптамером, инкубация которых иниицирует изменение конформации аптамера при образовании комплекса с бисфенолом А. После удаления аптамера с поверхности НЧЗ, двигаясь по мембране, захватываются в тестовой зоне конъюгатом БСА–МЯК, что приводит к ее окрашиванию. В отсутствие бисфенола А модифицированные аптамером НЧЗ проходят мимо тестовой зоны благодаря стабилизации поверхности наночастиц.
Рис. 1. Схема мембранной хроматографической тест-системы с использованием аптамера для определения бисфенола А.
Синтез и характеристика конъюгата бычий сывороточный альбумин–меркаптоянтарная кислота. Спектр поглощения конъюгата БСА–МЯК имеет максимум при 280 нм (рис. 2б), что соответствует максимуму поглощения белка-носителя, содержание которого в полученном конъюгате рассчитано по спектрам поглощения и составило 6.4 мг/мл. В связи с отсутствием хромофорных групп в структуре МЯК в УФ- и видимом диапазоне характеристика и подтверждение структуры конъюгата дополнены исследованием ИК-спектров (рис. 2а). Меркаптоянтарная кислота представляет собой тридентантный лиганд (LH3), который содержит две карбоксильные (–СООН) группы и одну тиольную (–SH) [31]. Характеристические пики чистого вещества при 1680, 1420, 1300 и 671 см–1 относятся к валентным колебаниям С=О – 1680 см–1, симметричным колебаниям СОО – 1420 см–1, валентным колебаниям С–О связей – 1300 см–1 и C–S связей – 671 см–1 [32]. Конъюгат меркаптоянтарной кислоты с белком-носителем синтезировали карбодиимидным методом [33]. СООН-группы МЯК активировали в присутствии 1-этил-3-(3-диметиламинопропил)карбодиимида при рН 4.5, а затем промежуточный продукт реакции смешивали с белковой молекулой БСА. При выбранном рН преобладает форма LH2– меркаптоянтарной кислоты. Ее депротонированные карбоксильные группы связываются с аминогруппами белка, а свободная SH-группа обеспечивает последующее образование высокоаффинной связи с золотом. Сравнение ИК-спектров нативной и конъюгированной МЯК показало сохранение пика при 1172 см–1 (колебания C–S) в ИК-спектре БСА–МЯК, а также образование полосы при 1053 см-1, соответствующей валентным колебаниям C–H [34]. Характерные полосы молекулы БСА около 1640 см–1 и 1532 см–1 (валентные колебания С=О и NH соответственно) сохранялись после конъюгирования БСА с МЯК. Таким образом, спектральные данные подтверждают образование сопряженных связей между карбоксильными группами МЯК и аминогруппами БСА, а также наличие свободной SH-группы.
Рис. 2. (а) ИК-спектры бычьего сывороточного альбумина (конъюгата БСА-МЯК) (1), меркаптоянтарной кислоты (МЯК) (2) и бычьего сывороточного альбумина (БСА) (3); (б) спектр поглощения конъюгата БСА−МЯК.
Характеристика наночастиц золота, модифицированных аптамером. Для исследования влияния размера наночастиц на эффективность обнаружения бисфенола А синтезировали цитрат-стабилизированные НЧЗ с двумя диаметрами. Изображения ПЭМ демонстрируют монодисперсные распределения сферических НЧЗ после модификации аптамером со средними диаметрами 14±4 и 24±3 нм (рис. 3в, г). В спектрах поглощения НЧЗ до (рис. 3а, черная линия) и после конъюгирования с аптамером (рис. 3а, красная линия) не наблюдается значительного (более 5 нм) смещения максимума поглощения, что указывает на отсутствие агрегатов и успешность модификации НЧЗ.
Рис. 3. Спектры поглощения (а) НЧЗ-1 и (б) НЧЗ-2 до (сплошная линия) и после (пунктирная линия) конъюгирования с аптамером. Электронно-микроскопические изображения (в) НЧЗ-1-Апт и (г) НЧЗ-2-Апт.
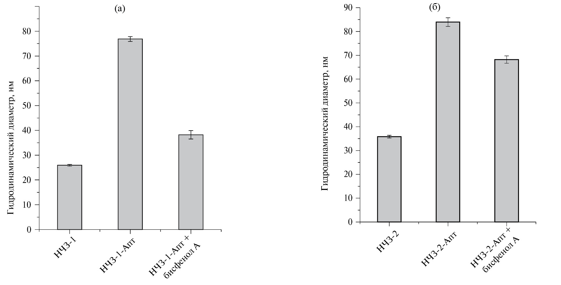
На рис. 4 показаны изменения гидродинамического диаметра наночастиц золота при модификации аптамером, а также после взаимодействия с бисфенолом А. Средние значения диаметра для НЧЗ-1 составили 25.9±0.4 и 76±1 нм до и после модификации аптамером. Такое значимое возрастание объясняется способностью аптамера гидратироваться диполями воды и увеличением гидратной оболочки [35]. Инкубация НЧЗ-1-Апт с бисфенолом А привела к снижению гидродинамического диаметра до 38±2 нм, что связано с десорбцией аптамера и уменьшением степени гидратации поверхности. Для НЧЗ-2 средние диаметры составили 35.8±0.6 и 84±2 нм до и после модификации аптамером. Взаимодействие НЧЗ-2-Апт с бисфенолом А привело к некоторому уменьшению диаметра до 68±2 нм.
Рис. 4. Гидродинамические диаметры (а) НЧЗ-1 и (б) НЧЗ-2 и их конъюгатов с аптамером до и после реакции с бисфенолом А.
Оптимизация условий определения бисфенола А. Для достижения минимального предела обнаружения бисфенола А оптимизированы условия мембранного хроматографического анализа, включая выбор концентрации коньюгата БСА–МЯК, наносимого на рабочую мембрану, и продолжительности предварительной инкубации с целевым аналитом.
Меркаптоянтарную кислоту выбрали в качестве детектирующего вещества вследствие прочного связывания ее тиольных групп с поверхностью золота [36] и конъюгировали с белком-носителем БСА для формирования тестовой зоны. Концентрацию конъюгата БСА–МЯК, адсорбируемого на мембране, варьировали от 1 до 5 мг/мл. Препараты НЧЗ-1-Апт и НЧЗ-2-Апт смешивали с образцом, содержащим 30 мкг/мл бисфенола А, инкубировали и пропускали по тест-полоске. Как видно из рис. 5, тестовые зоны, полученные при использовании 3 и 5 мг/мл БСА–МЯК, генерируют близкую и довольно высокую интенсивность окрашивания. Исходя из этих результатов, в качестве оптимальной для обоих конъюгатов выбрали концентрацию 3 мг/мл.
Рис. 5. Зависимость интенсивности окрашивания тестовой зоны от концентрации конъюгата бычий сывороточный альбумин−меркаптоянтарная кислота.
Для хроматографической тест-системы, основанной на взаимодействии аптамера с аналитом, оптимизировали время предварительной инкубации. Критерий выбора – гарантированное связывание аптамера с бисфенолом А и последующая десорбция образовавшегося комплекса с поверхности наночастицы. В кинетических экспериментах предварительно смешивали образец, содержащий 30 мкг/мл бисфенола А, с НЧЗ-1-Апт и НЧЗ-2-Апт с варьированием времени инкубации от 1 до 15 мин (рис. 6а). Из рис. 6 видно, что тестовая линия не проявляется в отсутствие инкубации и достигает максимальной интенсивности через 10 мин для обоих конъюгатов.
Рис. 6. Зависимости интенсивности окрашивания тестовой зоны от времени инкубации с бисфенолом А (30 мкг/мл), полученные с использованием конъюгатов НЧЗ-1-Апт (пунктирная линия) и НЧЗ-2-Апт (сплошная линия).
Таким образом, оптимальными условиями определения бисфенола А с помощью мембранной хроматографической тест-системы являются иммобилизация конъюгата БСА–МЯК в концентрации 3 мг/мл и время предынкубации 10 мин.
Аналитические характеристики определения бисфенола А. В выбранных условиях сравнили тест-системы на основе конъюгатов аптамеров с наночастицами золота диаметром 14±4 нм (НЧЗ-1-Апт) и 24±3 нм (НЧЗ-2-Апт). Для обоих препаратов получили градуировочные зависимости интенсивности окрашивания тестовой зоны от концентрации бисфенола А (рис. 7). Установлено, что линейная зависимость (R2 = 0.9629) для системы с использованием препарата НЧЗ-2-Апт находится в диапазоне концентраций от 10 до 60 мкг/мл, а предел обнаружения равен 6.5 мкг/мл. Для наночастиц меньшего размера (НЧЗ-1-Апт) градуировочная зависимость (R2 = 0.9242) линейна при более низких концентрациях – от 0.05 до 0.25 мкг/мл, а предел обнаружения составил 13.5 нг/мл, что сопоставимо с установленным значением ПДК для питьевой воды. Наблюдаемые отличия соответствуют данным эксперимента с измерением динамического рассеяния света, в котором для наночастиц золота меньшего размера наблюдалось более выраженное высвобождение аптамера после взаимодействия с бисфенолом А (см. выше).
Рис. 7. Зависимости интенсивности окрашивания тестовой зоны от концентрации бисфенола А для (а) НЧЗ-1-Апт и (б) НЧЗ-2-Апт. Вставка: цифровые изображения тест-полосок при разных концентрациях бисфенола А. Условия эксперимента: бычий сывороточный альбумин−меркаптоянтарная кислота 3 мг/мл, 100 мкл смеси метанол−вода (1:4), 2 мкл раствора НЧЗ-Aпт, время инкубации 10 мин.
Селективность определения бисфенола А. Селективность тест-системы оценивали сравнением бисфенола А с другими агентами, негативно влияющими на репродуктивную систему, – 4,4-бис(4-гидроксифенил)валериановой кислотой, нонилфенолом, эстрадиолом, эстроном и фталевой кислотой. Как следует из рис. 8, присутствие нонилфенола, эстрандиола, эстрона и фталевой кислоты не приводит к окрашиванию в тестовой зоне, а 4,4-бис(4-гидроксифенил)валериановая кислота, структурно сходная с целевым аналитом, вызывает слабое окрашивание. Таким образом, разработанная тест-система демонстрирует хорошую селективность в отношении бисфенола А.
Рис. 8. Селективность определения бисфенола А в сравнении с другими веществами, негативно воздействующими на репродуктивную систему, – интенсивности окрашивания тестовой зоны при тестировании растворов с концентрацией 1 мкг/мл. Пунктирной линией обозначена граница наблюдения невооруженным глазом окрашивания тестовой линии.
Апробация мембранной хроматографической тест-системы. Возможность применения разработанной тест-системы оценивали в эксперименте введено–найдено для питьевой воды в стеклянной ёмкости, что исключало присутствие алкилфенолов. В пробу воды добавляли различные концентрации бисфенола А и анализировали с использованием разработанной тест-системы. Степень выявления находилась в допустимых пределах 88.2–101.3% (табл. 1).
Таблица 1. Результаты определения бисфенола А в питьевой бутилированной воде
Введено, нг/мл | Найдено, нг/мл | Степень выявления, % |
50 | 56.7±2.4 | 88.2±4.3 |
100 | 101.3±6.2 | 101.3±6.1 |
200 | 193±5 | 96.5±2.7 |
* * *
Таким образом, разработана высокочувствительная хроматографическая тест-система для детекции бисфенола А с пределом обнаружения 13.5 нг/мл, сопоставимым с нормативным значением ПДК бисфенола А для питьевой воды. Тест-система позволяет селективно определять бисфенол А в течение 15 мин и представляет собой многообещающий инструмент для простого и быстрого тестирования. Применение конъюгата БСА–МЯК, обеспечивающего высокоаффинное связывание тиоловых групп с поверхностью золота в тестовой зоне, может рассматриваться в качестве универсального подхода для мембранных тест-систем на основе аптамеров.
ФИНАНСИРОВАНИЕ РАБОТЫ
Работа выполнена при финансовой поддержке Российского научного фонда, грант 22-13-00293.
КОНФЛИКТ ИНТЕРЕСОВ
Авторы данной работы заявляют, что у них нет конфликта интересов.
About the authors
N. S. Komova
Research Center of Biotechnology of the Russian Academy of Sciences
Email: dzantiev@inbi.ras.ru
A. N. Bach Institute of Biochemistry
Russian Federation, 119071 MoscowK. V. Serebrennikova
Research Center of Biotechnology of the Russian Academy of Sciences
Email: dzantiev@inbi.ras.ru
A. N. Bach Institute of Biochemistry
Russian Federation, 119071 MoscowA. N. Berlina
Research Center of Biotechnology of the Russian Academy of Sciences
Email: dzantiev@inbi.ras.ru
A. N. Bach Institute of Biochemistry
Russian Federation, 119071 MoscowA. V. Zherdev
Research Center of Biotechnology of the Russian Academy of Sciences
Email: dzantiev@inbi.ras.ru
A. N. Bach Institute of Biochemistry
Russian Federation, 119071 MoscowB. B. Dzantiev
Research Center of Biotechnology of the Russian Academy of Sciences
Author for correspondence.
Email: dzantiev@inbi.ras.ru
A. N. Bach Institute of Biochemistry
Russian Federation, 119071 MoscowReferences
- Tarafdar A., Sirohi R., Balakumaran P.A., Reshmy R., Madhavan A., Sindhu R., Binod P., Kumar Y., Kumar D., Sim S.J. The hazardous threat of bisphenol A: Toxicity, detection and remediation // J. Hazard. Mater. 2022. V. 423. Article 127097.
- Ni L., Zhong J., Chi H., Lin N., Liu Z. Recent advances in sources, migration, public health, and surveillance of bisphenol A and its structural analogs in canned foods // Foods. 2023. V. 12. Article 1989.
- Mishra A., Goel D., Shankar S. Bisphenol A conta- mination in aquatic environments: A review of sources, environmental concerns, and microbial remediation // Environ. Monit. Assess. 2023. V. 195. Article 1352.
- Wang X., Nag R., Brunton N.P., Siddique M.A.B., Harrison S.M., Monahan F.J., Cummins E. Human health risk assessment of bisphenol A (BPA) through meat products // Environ. Res. 2022. V. 213. Article 113734.
- Abraham A., Chakraborty P. A review on sources and health impacts of bisphenol A // Rev. Environ. Health 2020. V. 35. P. 201.
- Ганичев П., Маркова О., Еремин Г., Зарицкая Е., Петрова М. Влияние бисфенола А на здоровье населения. Краткий литературный обзор // Здоровье – основа человеческого потенциала: проблемы и пути их решения. 2020. T. 15. C. 239.
- World Health Organization. Guidelines for Drinking Water Quality 3rd Ed. V. 1. Recommendations. 2008.
- Dang A., Sieng M., Pesek J.J., Matyska M.T. Determination of Bisphenol A in receipts and carbon paper by HPLC-UV // J. Liq. Chromatogr. Relat. Technol. 2015. V. 38. P. 438.
- Hadjmohammadi M.R., Saeidi I. Determination of bisphenol A in Iranian packaged milk by solid-phase extraction and HPLC // Monatsh. Chem. – Chemical Monthly. 2010. V. 141. P. 501.
- Alnaimat A.S., Barciela-Alonso M.C., Bermejo-Barrera P. Determination of bisphenol A in tea samples by solid phase extraction and liquid chromatography coupled to mass spectrometry // Microchem. J. 2019. V. 147. P. 598.
- Deceuninck Y., Bichon E., Marchand P., Boquien C.-Y., Legrand A., Boscher C., Antignac J.P., Le Bizec B. Determination of bisphenol A and related substitutes/analogues in human breast milk using gas chromatography-tandem mass spectrometry // Anal. Bioanal. Chem. 2015. V. 407. P. 2485.
- Cunha S.C., Inácio T., Almada M., Ferreira R., Fernandes J.O. Gas chromatography–mass spectrometry analysis of nine bisphenols in canned meat products and human risk estimation // Food Res. Int. 2020. V. 135. Article 109293.
- Mei Z., Chu H., Chen W., Xue F., Liu J., Xu H., Zhang R., Zheng L. Ultrasensitive one-step rapid visual detection of bisphenol A in water samples by label-free aptasensor // Biosens. Bioelectron. 2013. V. 39. P. 26.
- Zhang D., Yang J., Ye J., Xu L., Xu H., Zhan S., Xia B., Wang L. Colorimetric detection of bisphenol A based on unmodified aptamer and cationic polymer aggregated gold nanoparticles // Anal. Biochem. 2016. V. 499. P. 51.
- Lei Y., Zhang Q., Fang L., Akash M.S.H., Rehman K., Liu Z., Shi W., Chen S. Development and comparison of two competitive ELISAs for estimation of cotinine in human exposed to environmental tobacco smoke // Drug Test. Anal. 2014. V. 6. P. 1020.
- Bahadır E.B., Sezgintürk M.K. Lateral flow assays: Principles, designs and labels // TrAC, Trends Anal. Chem. 2016. V. 82. P. 286.
- Chatterjee S., Mukhopadhyay S. Recent advances of lateral flow immunoassay components as “point of need” // J. Immunoassay Immunochem. 2022. V. 43. P. 579.
- Mei Z., Deng Y., Chu H., Xue F., Zhong Y., Wu J., Yang H., Wang Z., Zheng L., Chen W. Immunochromatographic lateral flow strip for on-site detection of bisphenol A // Microchim. Acta. 2013. V. 180. P. 279.
- Mei Z., Qu W., Deng Y., Chu H., Cao J., Xue F., Zheng L., El-Nezamic H.S., Wu Y., Chen W. One-step signal amplified lateral flow strip biosensor for ultrasensitive and on-site detection of bisphenol A (BPA) in aqueous samples // Biosens. Bioelectron. 2013. V. 49. P. 457.
- Chen A., Yang S. Replacing antibodies with aptamers in lateral flow immunoassay // Biosens. Bioelectron. 2015. V. 71. P. 230.
- Chen Z., Wu Q., Chen J., Ni X., Dai J. A DNA Aptamer based method for detection of SARS-CoV-2 nucleocapsid protein // Virologica Sinica. 2020. V. 35. P. 351.
- Dong H., Liu X., Gan L., Fan D., Sun X., Zhang Z., Wu P. Nucleic acid aptamer-based biosensors and their application in thrombin analysis // Bioanalysis. 2023. V. 15. P. 513.
- Yu H., Jing W., Cheng X. CRISPR-Cas- and aptamer-based systems for diagnosing pathogens: A Review // Zoonoses. 2023. V. 3. Artilce 22.
- Zhang W., Liu Q.X., Guo Z.H., Lin J.S. Practical application of aptamer-based biosensors in detection of low molecular weight pollutants in water sources // Molecules. 2018. V. 23. P. 344.
- Alkhamis O., Canoura J., Yu H., Liu Y., Xiao Y. Innovative engineering and sensing strategies for aptamer-based small-molecule detection. // TrAC, Trends Anal. Chem. 2019. V. 121. Article 115699.
- Adachi T., Nakamura Y. Aptamers: A review of their chemical properties and modifications for therapeutic application // Molecules. 2019. V. 24. P. 4229.
- Caglayan M.O., Şahin S., Üstündağ Z. An overview of aptamer-based sensor platforms for the detection of bisphenol-A // Crit. Rev. Anal. Chem. 2022. P. 1320.
- Rajabnejad S.-H., Badibostan H., Verdian A., Karimi G.R., Fooladi E., Feizy J. Aptasensors as promi-sing new tools in bisphenol A detection – An invisible pollution in food and environment // Microchem. J. 2020. V. 155. Article 104722.
- Shayesteh O.H., Ghavami R. Two colorimetric ampicillin sensing schemes based on the interaction of aptamers with gold nanoparticles // Microchim. Acta. 2019. V. 186. P. 1.
- Luo C., Wen W., Lin F., Zhang X., Gu H., Wang S. Simplified aptamer-based colorimetric method using unmodified gold nanoparticles for the detection of carcinoma embryonic antigen // RSC Adv. 2015. V. 5. P. 10994.
- Retnakumari A., Setua S., Menon D., Ravindran P., Muhammed H., Pradeep T., Nair S., Koyakutty M. Molecular-receptor-specific, non-toxic, near-infrared-emitting Au cluster-protein nanoconjugates for targeted cancer imaging // Nanotechnology. 2010. V. 21. Article 055103.
- Arivarasan A., Bharathi S., Ezhilarasi S., Arunpandiyan S., Jayavel R. Photovoltaic performances of Yb doped CdTe QDs sensitized TiO2 photoanodes for solar cell applications // J. Inorg. Organomet. Polym. Mater. 2019. V. 29. P. 859.
- Komova N.S., Serebrennikova K.V., Berlina A.N., Zherdev A.V., Dzantiev B.B. Membrane analytical test system for highly sensitive determination of Hg2+ ions in natural waters // Limnol. Freshw. Biol. 2022. V. 2022. P. 1305.
- Askari E., Naghib S.M. A novel approach to facile synthesis and biosensing of the protein-regulated graphene // Int. J. Electrochem. Sci. 2018. V. 13. P. 886.
- Giorgi-Coll S., Marín M.J., Sule O., Hutchinson P.J., Carpenter K.L.H. Aptamer-modified gold nanoparticles for rapid aggregation-based detection of inflammation: An optical assay for interleukin-6 // Microchim. Acta. 2019. V. 187. P. 13.
- Królikowska A., Bukowska J. Self-assembled monolayers of mercaptosuccinic acid on silver and gold surfaces designed for protein binding. Part I: Structure of the monolayer // J. Raman Spectrosc. 2007. V. 38. P. 936.
Supplementary files










