Digital colorometric analysis of aqueous and water-organic systems using hydrophilic crosslinked polyvinyl alcohol–magnetite composite films
- Authors: Shemelev I.S.1, Zinoviev T.V.1, Ivanov A.V.1,2, Ferapontov N.B.1
-
Affiliations:
- Lomonosov Moscow State University
- Kurnakov Institute of General and Inorganic Chemistry of the Russian Academy of Sciences
- Issue: Vol 79, No 9 (2024)
- Pages: 960-970
- Section: ORIGINAL ARTICLES
- Submitted: 23.02.2025
- Accepted: 23.02.2025
- URL: https://medbiosci.ru/0044-4502/article/view/281156
- DOI: https://doi.org/10.31857/S0044450224090028
- EDN: https://elibrary.ru/tjbvvg
- ID: 281156
Cite item
Full Text
Abstract
The use of the crosslinked polyvinyl alcohol–magnetite composite films as sensitive elements for determining the composition of aqueous solutions by digital colorimetry is described. A new approach to the production of composite materials of the composition hydrophilic polymer–magnetite by precipitation of Fe3O4 particles in ammonia vapor is proposed. The sensor films obtained in this way were used to determine the volume fraction of alcohol in products with a high alcohol content. The limit of ethanol determination was 63 vol.% isopropanol – 24 vol.%. The proposed sensory materials have been tested in the analysis of liquid hand antiseptics.
Full Text
Разработка сенсорных устройств и тест-систем для осуществления внелабораторного анализа – одна из ключевых задач современной аналитической химии. Одним из перспективных направлений внелабораторного анализа является применение бытовых цифровых устройств (фотоаппаратов, смартфонов, снабженных фотокамерой и пр.), которыми сейчас пользуется практически каждый человек [1, 2]. С их помощью возможно сохранение полученной информации, ее обработка и передача данных в лабораторию. Наибольший интерес для применения смартфона в аналитических целях представляют варианты оптических методов, относящихся к цифровой цветометрии, позволяющей по координатам цветов (например, в формате RGB) получить информацию о природе аналита и о его концентрации [3].
Широкое распространение цветометрический анализ получил при использовании твердых носителей. В этом случае возможна сорбция носителем окрашенного соединения, нековалентная иммобилизация органического реагента на поверхности носителя либо реакция функциональных групп носителя с аналитами, приводящая к образованию окрашенного соединения [4]. Разработаны сенсорные и тест-системы для определения антибиотиков [5–7], ионов тяжелых металлов [8, 9], аммиака и сульфидов [10], лекарственных веществ [11] и ПАВ [12, 13]. Нередко встречается цветометрический анализ окрашенных жидких сред, содержащих реагенты [14, 15] или наночастицы [16, 17]. Сенсоры на основе окрашенных жидкостей нашли применение в области биохимических исследований [18] и даже для определения точки эквивалентности в титриметрии [19]. Однако во всех случаях приходится прибегать к применению дополнительных реагентов для получения окрашенных соединений.
Перспективным представляется применение в аналитических целях фотонно-кристаллических сенсоров и их аналогов, в том числе голографических сенсоров [20–23]. Принцип их отклика заключается в изменении периода структуры сенсорной матрицы и ее эффективного показателя преломления, что приводит к изменению Брэгговской дифракции света, и, соответственно, сдвигу максимума в спектрах отражения. Этот сдвиг проявляется в изменении цвета фотонного кристалла (ФК). Для работы с фотонными кристаллами и их аналогами распространенным способом получения аналитического сигнала служат спектроскопия зеркального [22, 23] или диффузного [24, 25] отражения и визуальное детектирование [26, 27]. Поскольку человеческий глаз не способен фиксировать незначительные изменения длин волн, визуальное наблюдение изменения окраски ФК или их аналогов служит лишь для полуколичественного анализа. Альтернативой данному способу измерения аналитического сигнала может служить цветометрический анализ с применением цифровой бытовой техники.
Работ, посвященных цветометрическому измерению фотонных кристаллов и их аналогов очень мало: основная проблема применения современных цифровых фотоаппаратов для аналитических целей состоит в том, что они по-разному отображают излучение при различных длинах волн. Эти различия можно учесть, калибруя средства измерения по стандартному спектру (например, ртутному) с получением таким путем характеристической поверхности фотокамеры [28]. Наилучшие результаты при этом получаются в случае обработки фотоизображений, получаемых в raw-формате [29], поскольку в этом случае возможно проведение измерений в более широком спектральном диапазоне. Другим ограничением применения фотонных кристаллов является сложность их изготовления и, как следствие, высокая стоимость. Не стоит забывать, что наблюдаемый цвет ФК зависит еще и от угла наблюдения. Это также следует учитывать при работе с ФК и их аналогами.
В данной статье предложен новый вариант измерения аналитического отклика (нахождение цветометрических координат RGB) аналогов ФК, представляющих собой композитные пленки состава сшитый поливиниловый спирт (ПВС)–магнетит. Цифровую цветометрию для изучения подобных сенсорных элементов ранее не применяли. Другие способы измерения сигнала, связанного с набуханием композитных пленок ПВС, более трудоемки и не всегда точны (в отличие от набухания гранул [30]). Простота изготовления сенсорных пленок на основе ПВС, а также низкая стоимость применяемых для этой цели реагентов делает их перспективным материалом для массового использования во внелабораторных методах анализа. Ранее [30, 31] композиты состава сшитый ПВС–магнетит изучали в качестве чувствительного элемента в виде сферических гранул в рамках метода оптической микрометрии, благодаря чему достоверно известна степень их набухания в различных по составу растворах углеводов [32, 33] и некоторых электролитов [34].
Цель данной работы – исследование композитных пленок состава сшитый ПВС–магнетит с разным содержанием частиц Fe3O4 в качестве сенсорного элемента в водных растворах этанола и изопропанола при использовании цифровой цветометрии для измерения аналитического отклика.
ЭКСПЕРИМЕНТАЛЬНАЯ ЧАСТЬ
Материалы и реактивы. Использовали соли (NH4)2Fe(SO4)2∙6H2O ч.д.а. (ООО “ПраймКемикалсГрупп”, Россия) и FeCl3∙6H2O ч. (Reanal, Венгрия), 2.5%-ный раствор NH3, полученный разбавлением 25%-ного. В качестве полимерной матрицы использовали поливиниловый спирт марки ПВС 18/11 (Реахим, Россия), в качестве сшивающего агента – эпихлоргидрин (ЭХГ) (Кемстор, Россия). Также в работе использовали KCl х. ч. (Реахим, Россия), MgCl2 ч. (Реахим, Россия), этанол 95%-ный (Реахим, Россия), изопропанол х. ч. (Химпролаб, Россия), деионизованную воду.
Получение пленок из сшитого поливинилового спирта. 20 г ПВС марки 18/11 заливали 100 мл воды, перемешивали и оставляли на 12 ч для полного набухания. Приготовленную смесь нагревали на водяной бане при перемешивании, постепенно увеличивая температуру до 373 К (100°С) (15–30 мин), и дожидались полного растворения. После полного растворения ПВС перемешивание прекращали и выдерживали раствор при этой температуре для удаления пузырьков воздуха (15–30 мин). Полученный раствор охлаждали на воздухе, стакан со смесью взвешивали и доливали испарившееся количество воды (30 мин). Затем создавали необходимую для протекания реакции щелочную среду, при интенсивном перемешивании снова нагревая смесь на водяной бане до 371 К (98°C) и в течение 30 мин по каплям добавляя раствор 10 г NaOH в 20 мл воды. После этого температуру снижали до 303–313 К (30—40°C) и приливали 20 мл ЭХГ (ПВС-20) при быстром перемешивании. Полученный гель разливали по заранее подготовленным формам глубиной около 1 мм и оставляли под прессом на сутки. Пленки из сшитого ПВС промывали деионизованной водой, этанолом и еще раз деионизованной водой.
Осаждение магнетита в пленках сшитого поливинилового спирта. Пленки сшитого ПВС нарезали на квадратные пластинки размером 0.7 × 0.7 см. Далее пластинки замачивали в растворе солей железа(II) и железа(III) с концентрациями 0.05 и 0.10 М соответственно и выдерживали на ультразвуковой ванне (47 кГц, 60 Вт) в течение определенного времени. Подготовленные таким образом прекурсоры помещали на магнитную платформу эксикатора (рис. 1), на дне которого находился 2.5%-ный раствор NH3, и выдерживали в течение 15 мин. Полученные таким образом композитные пленки неоднократно промывали дистиллированной водой для удаления с поверхности остатков солей железа и магнетита и хранили в бюксах, заполненных дистиллированной водой.
Рис. 1. Схема установки для внедрения частиц магнетита в пленки. 1 – мотор, 2 – вентилятор, 3 – пленка, 4 – водный раствор аммиака, 5 – магнитная платформа.
Спектроскопическое исследование композитных пленок. Для получения спектров пропускания света композитными пленками состава сшитый ПВС–магнетит исследуемую пленку помещали в кварцевую ячейку с длиной оптического пути 10 мм, заполненную водой, таким образом, чтобы пленка располагалась вертикально. Кювету помещали в спектрофотометр УФ-1200 (Экоинструмент, Россия) и измеряли светопропускание при разных длинах волн в диапазоне от 380 до 800 нм с шагом 10 нм, каждый раз настраивая прибор по кювете с водой, не содержащей пленки. По полученным данным строили спектры пропускания исследуемых пленок.
Спектры диффузного отражения пленок получали с помощью спектрометра Eye-One Pro 2, используемого для калибровки мониторов и цветных принтеров [35, 36]. Исследуемый образец помещали на стеклянный столик и накрывали тефлоновой подложкой, обеспечивающей высокую интенсивность получаемого сигнала. Исследуемую пленку, выдержанную до состояния равновесия в воде или исследуемом растворе, помещали на стеклянную платформу прибора, накрывали подложкой и тотчас же измеряли аналитический сигнал с помощью программы i1 share © (разработки фирмы “X-Rite”, США) [37]. Предварительно проводили калибровку спектрометра по стандартному образцу, прилагаемому к прибору. Данные экспортировали в формат Excel и строили спектры диффузного отражения образцов в диапазоне длин волн 380–730 нм с шагом 10 нм.
Для точного определения положения максимумов в спектрах использовали алгоритм, описанный в работах [35, 36]. Три точки, лежащие на максимуме, описывали квадратичной зависимостью вида y = ax2 + bx + c и по найденным методом наименьших квадратов коэффициентам находили положение максимума по формуле xmax = –b/2a.
Проведение измерений. Для цветометрического определения состава растворов нами предложена установка, представленная на рис. 2. Основными узлами являются смартфон 5 и штатив 1, снабженный источником освещения 2. Измеряемый образец помещают на предметный столик 3. Специальное крепление для смартфона 4 позволяет использовать для работы смартфоны любых габаритов.
Рис. 2. Установка для измерения цветометрического сигнала (интенсивности цветовых параметров Ar) пленок. Пояснения см. в тексте.
При проведении анализа композитную пленку фотографировали в ячейке, заполненной дистиллированной водой. Затем композит перемещали в исследуемый раствор и выдерживали в течение времени, необходимого для достижения равновесной степени набухания (не менее 20 мин [31, 32]). После этого пленку фотографировали в ячейке, заполненной исследуемым раствором. Полученные таким образом фотографии композита в воде и в исследуемом растворе переносили на компьютер и в программе ImageJ © фирмы “Wayne Rasband” (США) [38] рассчитывали цветовые координаты в пространстве RGB. Величину аналитического сигнала – интенсивность цветовых параметров Ar – рассчитывали по формуле:
, (1)
где R0, G0, B0, R, G, B – цифровые значения интенсивностей красного, зеленого, синего цветов для композита в воде и анализируемом растворе соответственно [5].
РЕЗУЛЬТАТЫ И ИХ ОБСУЖДЕНИЕ
Характеристики исследуемых пленок. В качестве сенсорных матриц для цветометрических измерений были изготовлены композиты с разным содержанием магнетита. Исходным сырьем для их получения служил ПВС марки 18/11, так как свойства сшитого полимера на его основе ранее хорошо изучены. При этом средняя толщина пленок в одной партии составляла 0.97 мм, что весьма удобно для дальнейшей их эксплуатации. При строгом воспроизведении всех условий синтеза свойства пленок также были воспроизводимыми.
При формировании частиц Fe3O4 в пленках выбрали концентрации солей железа(III) и железа(II) 0.10 и 0.05 М соответственно. Для получения более мелких и однородных по размеру частиц магнетита в эксикатор помещали 2.5%-ный раствор аммиака. Для соблюдения условий, необходимых для получения однородных по цвету сенсорных элементов, в дополнение к вентилятору модифицировали способ импрегнирования полимера солями железа. Пленки в течение разного времени выдерживали в растворах под воздействием ультразвукового излучения для более равномерного и быстрого проникновения солей железа в гель. Магнитная платформа в эксикаторе, на которую помещали пленки, способствовала более однородному распределению растущих частиц Fe3O4 по всему объему пленок. В табл. 1 приведены фотографии в проходящем свете пленок, полученных при разном времени импрегнирования их солями железа. Время роста частиц Fe3O4 во всех случаях составило 15 мин. По мере увеличения количества магнетита композиты приобретали более темный оттенок коричневого цвета. Начиная с третьего образца, композиты имеют практически одинаковый цвет, что, вероятно, связано с достижением предельного насыщения слоя ПВС солями железа.
Таблица 1. Время выдерживания пленок в растворе солей железа
№ композита | Время выдерживания, мин | Фотография композита в воде |
1 | 1 | |
2 | 2 | |
3 | 3 | |
4 | 4 | |
5 | 5 | |
6 | 10 |
Оптические свойства полученных образцов исследовали методами спектрофотометрии и спектроскопии диффузного отражения. Представленные на рис. 3а спектры пропускания демонстрируют, что полученные пленки обладают свойствами, присущими коллоидным системам, а именно: монотонным возрастанием светопропускания с увеличением длины волны. Причем чем выше концентрация частиц Fe3O4, тем меньше светопропускание вследствие поглощения и дополнительного рассеяния света частицами. Особый интерес представляют спектры отражения, поскольку с их помощью можно выявить фотонно-кристаллические свойства сенсорной матрицы, которые трудно обнаружить визуально [39]. В связи с этим для образцов №№ 1 и 6 получили спектры диффузного отражения на тефлоновой подложке (рис. 3б). В спектрах отражения, как и в спектрах пропускания, наблюдается та же общая тенденция – рост сигнала с ростом длины волны. Однако следует отметить, что в коротковолновой области в спектрах наблюдается несколько локальных максимумов при длинах волн 428.2 и 474.5 нм. Это свидетельствует о возможной Брэгговской дифракции света исследуемыми пленками в данном диапазоне длин волн, поскольку окрашенных в синий или фиолетовый цвет продуктов в системе нет. Таким образом, полученные пленки можно считать аналогами ФК и использовать в качестве сенсорных элементов при проведении химического анализа.
Рис. 3. Спектры пропускания (а) и отражения (б) пленок, полученных выдерживанием в течение разного времени в солях железа: сFe(III) = 0.10 М, сFe(II) = 0.05 М, мощность УЗ-излучения 60 Вт, частота 40 кГц.
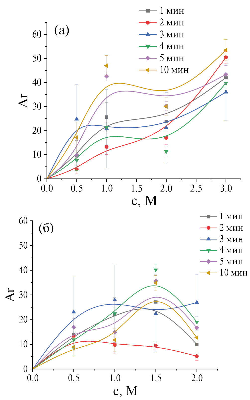
В качестве модельных систем для проверки формирования цветометрического аналитического отклика композитных пленок выбрали растворы электролитов – KCl и MgCl2, для которых хорошо изучено поведение гранул сшитого ПВС. Известно, что в растворе хлорида калия матрица ПВС сжимается, а в растворе хлорида магния набухает [40]. Измеряли цветовые параметры композитных пленок в растворах хлорида калия с концентрациями 0.5, 1.0, 2.0 и 3.0 М и а растворах хлорида магния с концентрациями 0.5, 1.0, 1.5 М, при этом наблюдали увеличение интенсивности сигнала Ar (рис. 4). Изменение степени набухания ПВС приводит к изменению концентрации частиц магнетита на единицу объема, что, в свою очередь, меняет интенсивность проходящего через пленку света, а следовательно, цветовые характеристики. Чувствительность пленок по отношению к KCl и MgCl2 отличается, поскольку степень сжатия пленок в растворе KCl выше, чем степень набухания в растворе MgCl2. Внедрение большего количества частиц Fe3O4 в пленку повышает чувствительность, но вместе с тем сужает диапазон определяемых концентраций, что особенно заметно в случае растворов KCl, где диапазон определяемых концентраций растворенного вещества сужается от интервала 0–3.0 М до 0–1.0 М, а коэффициент чувствительности возрастает от 14.2 до 45.9 1/М. Связано это с тем, что при сжатии пленки сильно уменьшается интенсивность красного канала (R), обусловленная ростом концентрации магнетита. Кроме того, высокая концентрация магнетита в пленке препятствует ее сжатию, поскольку внедрение твердых частиц в гибкий материал снижает его гибкость, а с другой стороны, возможна блокировка функциональных групп ПВС за счет Ван-дер-Ваальсовых (или водородных) взаимодействий с частицами Fe3O4. Практически на всех зависимостях для хлорида магния наблюдается экстремум при концентрации 1.5 М. Поскольку в случае MgCl2 увеличивается объема геля ПВС, повышение концентрации магнетита приводит к увеличению контрастности изображения пленки при набухании и способствует расширению диапазона определяемых концентраций. Наличие же экстремума может быть объяснено адсорбцией MgCl2 частицами Fe3O4, сродство к которым у MgCl2, вероятно, выше, чем к ПВС.
Рис. 4. Концентрационные зависимости интенсивности цветовых параметров Ar пленок с разным временем импрегнирования солями железа в растворах KCl (а) и MgCl2 (б).
Применение формулы (1) для расчета аналитического сигнала требует проведения измерений и холостой, и анализируемой пробы в одинаковых условиях. Однако применение всех трех цветовых координат вместо одной позволяет расширить диапазон определяемых содержаний компонентов и увеличить чувствительность их определения, что исследовали на модельных растворах электролитов. Так, при использовании всех трех цветовых координат вместо одной для пленки с наибольшим содержанием частиц Fe3O4 коэффициент чувствительности возрастает с 6.1 до 45.9 1/М, т.е. почти в 7.5 раз. При этом пленка не теряет свои сенсорные свойства в течение минимум 5–7 аналитических циклов, что также согласуется с результатами, полученными в рамках метода оптической микрометрии [41]. Единичный аналитический цикл состоит из перемещения композитной пленки из дистиллированной воды в раствор аналита, набухания (либо сжатия) пленки до достижения равновесия и последующего измерения отклика, после чего пленку можно снова перемещать в дистиллированную воду для восстановления первоначальных параметров.
Таким образом, продемонстрирована принципиальная возможность применения композитных пленок состава сшитый ПВС–магнетит для полуколичественного, оценочного анализа солевых растворов (при невысокой чувствительности и недостаточной селективности). Тем не менее это может оказаться полезным при мониторинге различных технологических процессов, таких как производство реактивов, гальваника, мониторинг сточных вод предприятий и пр.
Анализ модельных растворов спиртов. Известно [42, 43], что материалы из набухающих полимеров пригодны для анализа водно-спиртовых систем с высоким содержанием спиртов. К таким материалам относится и поливиниловый спирт. В настоящей работе композитные пленки состава сшитый ПВС–магнетит исследовали в качестве чувствительных элементов для определения объемной доли этанола и изопропанола в водно-спиртовых растворах. Выбор аналитов обусловлен их широким применением в быту и в лабораториях.
Как и для растворов электролитов, для водно-спиртовых растворов получили концентрационные зависимости интенсивности цветометрических параметров (Ar) для пленки, выдержанной в течение 2 мин в солях железа. Выбор пленки обусловлен наибольшей контрастностью изображения набухшей и сжавшейся пленок, поскольку основной процесс при воздействии спирта на гель ПВС – сжатие. Полученные графики зависимости сигнала от объемной доли спиртов приведены на рис. 5. Как видно из представленных фотографий, с увеличением доли спирта в растворе пленка становится более темной. Различие в доверительных интервалах при воздействии электролитов (рис. 4) и спиртов (рис. 5), скорее всего, объясняется различием в перегруппировке частиц магнетита внутри пленок. Ориентация спиртов вокруг частиц Fe3O4 препятствует коагуляции магнетита в среде полимерного геля, тогда как в присутствии электролитов возможна коагуляция частиц магнетита, причем чем выше заряд иона, тем сильнее его коагулирующее действие, хотя внутри сшитого полимера такой процесс выражен слабее.
Рис. 5. Зависимость интенсивности цветовых параметров Ar от объемной доли спиртов в индивидуальных водно-спиртовых растворах (а) и фотографии пленки после выдерживания в растворах (б).
Приведенные данные хорошо согласуются с результатами, полученными методом оптической микрометрии при исследовании поведения композитных гранул в водно-спиртовых растворах [44]. Однако имеется различие в чувствительности пленки к чистым спиртам при практически одинаковом объеме геля в них. Вероятно, это связано с тем, что изопропанол из-за значительного размера молекул слабее сорбируется поливиниловым спиртом, поскольку хуже проникает в фазу полимерного раствора. Несорбированная часть молекул изопропанола, вероятно, сорбируется магнетитом за счет образования водородных связей с гидроксильными группами на поверхности Fe3O4, и образуются агрегаты изопропанол–магнетит, которые из-за особенностей ориентации спирта в них начинают сближаться друг с другом, что приводит к более резкому уменьшению интенсивности сигнала. Это предположение также можно подтвердить тем, что заметный отклик на этанол наблюдается, начиная с 60%-ного раствора, в то время как концентрационная зависимость сигнала для изопропанола имеет вид более плавной, монотонно возрастающей кривой. Отметим, что при воздействии спиртов композитные пленки выдерживали не менее 5–7 циклов работы.
Для применения пленок в аналитических целях удобно пользоваться линейными зависимостями. Для этанола линейная зависимость сигнала от концентрации наблюдается в области высоких содержаний (60 об.% и выше). Чтобы получить линейную концентрационную зависимость сигнала для изопропанола, использовали логарифм величины аналитического сигнала. По линейным зависимостям установили, что предел обнаружения этанола составляет 63 об.%, а изопропанола 24 об.%. Таким образом, композитные пленки состава ПВС–магнетит наилучшим образом подходят для анализа объектов с высоким содержанием спиртов при их определении или оценке степени их чистоты.
Определение объемной доли этилового спирта в антисептиках для рук. Метод цифровой цветометрии с применением композитных пленок состава сшитый поливиниловый спирт–магнетит опробовали при определении объемной доли спирта в антисептиках для рук марок Dettol Original © и Sanitelle © на основе этанола. Полученные результаты (табл. 2) сравнивали с заявленными производителями на упаковках.
На упаковке антисептика для рук Sanitelle © указан следующий состав: спирт этиловый 66.2%, деионизованная вода, глицерин, пропиленгликоль, экстракт Алоэ Вера, витамин Е, функциональные добавки. На упаковке Dettol Original © приведен состав: спирт этиловый денатурированный 68%, деионизованная вода, пропиленгликоль, сополимер полиэтиленгликоля и полипропиленгликоля, тетрагидроксипропилэтилендиамин, акрилаты, парфюмерные добавки.
Из табл. 2 видно, что результаты, полученные методом цифровой цветометрии, хорошо согласуются с данными производителя. Погрешность определения не превышает 4%. Для проверки правильности предложенного подхода использовали метод “введено–найдено”: в исследуемые образцы добавляли рассчитанный объем этилового спирта, чтобы добавка составила 10 об.%. Результаты показали, что добавки многоатомных спиртов или их сополимеров (например, полиэтиленгликоля) практически не влияют на степень набухания композитного материала, так как не проникают в объем композитной пленки и тем самым не вносят вклад в цветометрические параметры.
Таблица 2. Результаты определения объемной доли этанола (w/w) в антисептиках для рук (n = 3, P = 0.95) и оценка правильности метода
Название антисептика | Заявлено | В пробе без добавки | Введено | Найдено | В пробе без добавки, Δотн, % |
Dettol original (Reckit, Великобритания) | 0.680 | 0.66 ± 0.03 | 0.10 | 0.76 ± 0.05 | 3.2 |
Sanitelle (ООО “Бентус лаборатории”, Россия) | 0.662 | 0.65 ± 0.03 | 0.10 | 0.75 ± 0.05 | 1.3 |
На данный момент ограничением предложенного подхода остается длительное достижение равновесия. Время достижения равновесия можно снизить уменьшением толщины используемых пленок (в разумных пределах – без потери механической прочности). Также следует учитывать, что коммерческие спиртовые и водно-спиртовые растворы, используемые в быту, часто содержат добавки красителей, что может затруднить анализ. Здесь возможно вычитание аналитического цветового сигнала, получаемого от самой пробы. Другим возможным подходом к анализу окрашенных сред служит калибровка камеры по стандартным шаблонам, с помощью которых можно найти поправочные коэффициенты для цвета пробы. Такие измерения будут предметом наших дальнейших исследований.
В целом композитные пленки состава сшитый ПВС–магнетит являются более подходящими материалами для анализа водно-спиртовых систем, чем для анализа растворов электролитов, поскольку в этом случае возможно количественное измерение. Наиболее подходящими объектами для анализа являются антисептики, дезинфицирующие средства, парфюмерные изделия.
* * *
Применение композитных пленок не ограничивается определением одних лишь спиртов. Поскольку пленки обладают свойствами, подобными фотонным кристаллам, есть возможность усовершенствования метода цветометрии с фотосъемкой в отраженном свете, что в равной степени позволит задействовать все три цветовые координаты. В качестве перспективы дальнейшего развития подхода можно отметить также варьирование природы полимерной матрицы, в частности обращение к природным полимерам. Другим перспективным направлением может служить изменение природы внедряемых в полимерный гель наночастиц. Следовательно, применение композитных пленок на основе набухающих полимеров в сочетании с цифровой цветометрией является новым шагом в развитии внелабораторного анализа в будущем.
Авторский коллектив выражает благодарность к. х. н. Гагарину А.Н. за помощь в разработке установки для цветометрического измерения пленок.
ФИНАНСИРОВАНИЕ
Работа выполнена при финансовой поддержке Минобрнауки России в рамках государственных заданий Московского государственного университета имени М.В. Ломоносова (регистрационный номер АААА-А21-121011590089-1) и Института общей и неорганической химии имени Н.С. Курнакова Российской Академии наук (регистрационный номер 1021071612841-6-1.4.7).
КОНФЛИКТ ИНТЕРЕСОВ
Авторы данной работы заявляют об отсутствии конфликтов интересов.
About the authors
I. S. Shemelev
Lomonosov Moscow State University
Author for correspondence.
Email: shchemelev_93@mail.ru
Faculty of Chemistry
Russian Federation, Moscow, Leninskie gory, 1, p. 3, GSP-3, 119991T. V. Zinoviev
Lomonosov Moscow State University
Email: shchemelev_93@mail.ru
Faculty of Chemistry
Russian Federation, Moscow, Leninskie gory, 1, p. 3, GSP-3, 119991A. V. Ivanov
Lomonosov Moscow State University; Kurnakov Institute of General and Inorganic Chemistry of the Russian Academy of Sciences
Email: shchemelev_93@mail.ru
Faculty of Chemistry
Russian Federation, Moscow, Leninskie gory, 1, p. 3, GSP-3, 119991; Moscow, Leninsky Prospekt, 31, 119991N. B. Ferapontov
Lomonosov Moscow State University
Email: shchemelev_93@mail.ru
Faculty of Chemistry
Russian Federation, Moscow, Leninskie gory, 1, p. 3, GSP-3, 119991References
- Дмитриенко С.Г., Апяри В.В., Свиридова О.А., Бадакова С.А., Золотов Ю.А. Использование реакций диазотирования и азосочетания с участием пенополиуретана для определения нитрит-ионов с помощью спектроскопии диффузного отражения и цветометрических сканер-технологий // Вестн. Моск. ун-та. Сер. 2. 2004. Т. 45. № 2. С. 131. (Dmitrienko S.G., Apyari V.V., Sviridova O.A., Badakova S.A., Zolotov Yu. A. On the new approach to the theory of preferential wetting of heterogeneous solid surfaces // Moscow Univ. Chem. Bull. 2004. V. 45. № 2. P. 131.)
- Горбунова М.О., Баян Е.М., Шевченко А.В., Кулягинова М.С. Цветометрическое определение хлоридов в воде с использованием газовой экстракции и метилового оранжевого // Аналитика и контроль. 2017. Т. 21. № 3. С. 274. https://doi.org/10.15826/analitika.2017.21.3.007
- Химченко С.В., Экспериандова Л.П. Цветометрия в инструментальном и визуальном тест-анализе. Саарбрюккен: Lap Lambert Academic Publishing, 2014. 221 с.
- Золотов Ю.А., Иванов В.М., Амелин В.Г. Химические тест-методы анализа. М.: УРСС, 2002. 302 с.
- Шаока З.А. Ч. Развитие методологии цифровой цветометрии с использованием смартфона для определения органических веществ и идентификации объектов анализа. Дис. … канд. хим. наук. Владимир: Владимирский государственный университет, 2022. 185 с.
- Амелин В.Г., Шаока З.А. Ч., Большаков Д.С. Твердофазно-флуориметрическое определение тетрациклинов в лекарственных препаратах на целлюлозной бумаге и тонком слое силикагеля с использованием смартфона // Хим.-фарм. журн. 2021. Т. 55. № 3. С. 52. https://doi.org/10.30906/0023-1134-2021-55-3-52-57 (Amelin V.G., Shogah Z.A. C., Bol’shakov D.S. Solid-phase fluorimetric determination of tetracyclines in medicinal preparations on cellulose paper and in thin-layer silica gel using a smartphone // Pharm. Chem. J. 2021. V. 55. № 3. P. 303. https://doi.org/10.1007/s11094-021-02416-x)
- Амелин В.Г., Шаока З.А. Ч., Большаков Д.С. Использование смартфона для определения тетрациклинов в воде и молоке по сенсибилизированной твердофазной флуоресценции европия на его гидроксиде // Журн. аналит. химии. 2021. Т. 76. № 10. С. 952. https://doi.org/10.31857/S0044450221080028 (Amelin V.G., Shogah Z.A. C., Bol’shakov D.S. Using a smartphone foe determining tetracyclines in water and milk by the sensitized solid state fluorescence of europium on its hydroxide // J. Anal. Chem. 2021. V. 76. № 10. P. 1211. https://doi.org/10.1134/S1061934821080025)
- Monisha, Shrivas K., Kant T., Patel S., Devi R., Dahariya N.S., Pervez Sh., Deb M.K., Rai M.K., Rai J. Inkjet-printed paper-based colorimetric sensor coupled with smartphone for determination of mercury (Hg2+) // J. Hazard. Mater. 2021. V. 414. Article 125440. https://doi.org/10.1016/j.jhazmat.2021.125440
- Mahmoudian N., Zamani A., Fashi A., Richter P., Abdolmohammad-Zadeh H. Ultra-trace determination of cadmium in water and food samples by a thin-film microextraction using a supported liquid membrane combined with smartphone-based colorimetric detection // Food Chem. 2023. V. 421. 136193. https://doi.org/10.1016/j.foodchem.2023.136193
- Vargas-Muñoz M.A., Morales J., Cerdà V., Ferrer L., Palacio E. Paper sensor-based method using a portable 3D-printed platform and smartphone-assisted colorimetric detection of ammonia and sulfide monitoring in anaerobic digesters and wastewater // Microchem. J. 2023. V. 188. Article 108469. https://doi.org/10.1016/j.microc.2023.108469
- Jain B., Jain R., Jha R.R., Bajaj A., Sharma Sh. A green analytical approach based on smartphone digital image colorimetry for aspirin and salicylic acid analysis // Green Anal. Chem. 2022. V. 3. Article 100033. https://doi.org/10.1016/j.greeac.2022.100033
- Амелин В.Г., Шаока З.А. Ч., Большаков Д.С. Микроэкстракционно-цветометрическое определение анионных ПАВ в природных и сточных водах // Заводск. лаборатория. Диагностика материалов. 2020. Т. 86. № 12. С. 5. https://doi.org/10.26896/1028-6861-2020-86-12-5-14 (Amelin V.G., Shogah Z.A. C., Bolshakov D.S. Microextraction-colorimetric determination of anionic surfactants in natural and waste waters // Ind. Lab. Diagn. Mater. 2020. V. 86. № 12. P. 5.)
- Амелин В.Г., Шаока З.А. Ч., Большаков Д.С. Микроэкстракционно-цветометрическое (флуориметрическое) определение катионных и анионных поверхностно-активных веществ в пищевых продуктах // Журн. аналит. химии. 2021. Т. 76. № 3. С. 234. https://doi.org/10.31857/S0044450221030038 (Amelin V.G., Shogah Z.A. C., Bol’shakov D.S. Microextraction-colorimetric (fluorimetric) determination of cationic and anionic surfactants in food products // J. Anal. Chem. 2021. V. 76. № 3. P. 330. https://doi.org/10.1134/S1061934821030035)
- Lima M.J. A., Sasaki M.K., Marinho O.R., Freitas T.A., Faria R.C., Reis B.F., Rocha F.R. P. Spot test for fast determination of hydrogen peroxide as a milk adulterant by smartphone-based digital image colorimetry // Microchem. J. 2020. V. 157. Article 105042. https://doi.org/10.1016/j.microc.2020.105042
- Marinho O.R., Lima M.J. A., Rocha F.P. R., Reis B.F. A green, fast and cost-effective smartphone-based digital image procedure for quantification of ethanol in distilled beverages // Microchem. J. 2019. V. 147. P. 437. https://doi.org/10.1016/j.microc.2019.03.054
- Li X., Liu B., Hu Zh., Liu P., Ye K., Pan J., Niu X. Smartphone-assisted off–on photometric determination of phosphate ion based on target-promoted peroxidase-mimetic activity of porous CexZr1-xO2 (x≥0.5) nanocomposites // Environ. Res. 2020. V. 189. Article 109921. https://doi.org/10.1016/j.envres.2020.109921
- Shrivas K., Sahu B., Deb M.K., Thakur S.S., Sahu S., Kurrey R., Kant T., Patle T.K., Jangde R. Colorimetric and paper-based detection of lead using PVA capped silver nanoparticles: experimental and theoretical approach // Microchem. J. 2019. V. 150. Article 104156. https://doi.org/10.1016/j.microc.2019.104156
- Qian Sh., Cui Yu, Cai Zh., Li L. Application of smartphone-based colorimetric biosensors // Biosens. Bioelectron. X. 2022. V. 11. Article 100173. https://doi.org/10.1016/j.biosx.2022.100173
- Ruttanakorn K., Phadungcharoen N., Laiwattanapaisal W., Chinsriwongkul A., Rojanarata Th. Smartphone-based technique for the determination of a titration equivalence point from an RGB linear-segment curve with an example application to miniaturized titration of sodium chloride injections // Talanta. 2021. V. 233. Article 122602. https://doi.org/10.1016/j.talanta.2021.122602
- Park H., Koh Y.G., Lee W. Smartphone-based colorimetric analysis of structural colors from pH-responsible photonic gel // Sens. Actuators B. 2021. V. 345. Article 130359. https://doi.org/10.1016/j.snb.2021.130359
- Qin J., Li X., Cao L., Du Sh., Wang W., Yao Sh. Q. Competition-based universal photonic crystal biosensors by using antibody-antigen interaction // J. Am. Chem. Soc. 2020. V. 142. № 1. P. 417. https://doi.org/10.1021/jacs.9b11116
- Крайский А.В., Постников В.А., Денискин В.В., Султанов Т.Т., Тихонов В.Е., Хамидулин А.В. Разработка сенсорных голографических датчиков на основе гидрогелей для количественного определения компонентов в биологических жидкостях // Альманах клинической медицины. 2008. № 17-2. С. 108.
- Крайский А.В., Постников В.А., Султанов Т.Т., Хамидулин А.В. Голографические сенсоры для диагностики компонентов растворов // Квантовая электроника. 2010. Т. 40. № 2. С. 178. (Kraiskii A.V., Postnikov V.A., Sultanov T.T., Khamidulin A.V. Holographic sensors for diagnostics of solution components // Quantum Elect. 2010. V. 40. № 2. P. 178. https://doi.org/10.1070/QE2010v040n02ABEH014169)
- Большаков Е.С., Иванов А.В., Козлов А.А., Абдуллаев С.Д. Сенсор на основе фотонного кристалла для обнаружения паров бензола, толуола и о-ксилола // Журн. физ. химии. 2018. Т. 92. № 8. С. 1283. https://doi.org/10.7868/S0044453718080137 (Bol’shakov E.S., Ivanov A.V., Kozlov A.A., Abdullaev S.D. Photonic crystal sensor for detecting vapors of benzene, toluene and o-xylene // Russ. J. Phys. Chem. A. 2018. V. 92. № 8. P. 1530. https://doi.org/10.1134/S0036024418080083)
- Иванов А.В., Большаков Е.С., Апяри В.В., Козлов А.А., Горбунова М.В., Абдуллаев С.Д. Аналитический отклик сенсорных матриц на основе фотонных кристаллов: измерение диффузного отражения // Журн. аналит. химии. 2019. Т. 74. № 2. С. 154. https://doi.org/10.1134/S0044450219020075 (Ivanov A.V., Bol’shakov E.S., Apyari V.V., Kozlov A.A., Gorbunova M.V., Abdullaev S.D. Analytical response of sensor arrays based on photonic crystals: measurement of diffuse reflectance // J. Anal. Chem. 2019. V. 74. № 2. P. 198. https://doi.org/10.1134/S1061934819020072)
- Kou D., Zhang Yo., Zhang Sh., Wu S., Ma W. High-sensitive and stable photonic crystal sensors for visual detection and discrimination of volatile aromatic hydrocarbon vapors // Chem. Eng. J. 2019. V. 375. Article 121987. https://doi.org/10.1016/j.cej.2019.121987
- Zhang J.-T., Cai Zh., Kwak D.H., Liu X., Asher S.A. Two-dimensional photonic crystal sensor for visual detection of lectin concanavalin A // Anal. Chem. 2014. V. 86. № 18. P. 9036. https://doi.org/10.1021/ac5015854
- Крайский А.В., Миронова Т.В., Султанов Т.Т. Измерение поверхностного распределения длины волны узкополосного излучения колориметрическим методом // Квантовая электроника. 2010. Т. 40. № 7. С. 652. (Kraiskii A.V., Mironova T.V., Sultanov T.T. Measurement of the surface wavelength distribution of narrow-band radiation by a colorimetric method // Quantum Elect. 2010. V. 40. № 7. P. 652. https://doi.org/10.1070/QE2010v040n07ABEH014288).
- Крайский А.В., Миронова Т.В., Султанов Т.Т. Измерение длины волны узкополосного излучения при обработке цифровых фотографий в raw-формате // Квантовая электроника. 2012. Т. 42. № 12. С. 1137. (Kraiskii A.V., Mironova T.V., Sultanov T.T. Narrow-band radiation wavelength measurement by processing digital photographs in raw-format // Quantum Elec. 2012. V. 42. № 12. P. 1137. https://doi.org/10.1070/QE2012v042n12ABEH014914)
- Гагарин А.Н., Ферапонтов Н.Б., Иванов А.В., Тиханова О.А., Смирнова М.А., Иконникова И.С. Применение композитного материала “поливиниловый спирт – магнетит” для анализа растворов методом оптической микрометрии / Роль фундаментальных исследований при реализации стратегических направлений развития материалов и технологий их переработки на период до 2030 г. / Под ред. Дуюновой В.А., Оглодкова М.С., Шеина Е.А., Закржевской М.С.М.: ВИАМ, 2019. С. 339.
- Ivanov A.V., Smirnova M.A., Tikhanova O.A., Gagarin A.N., Ferapontov N.B., Tokmachev M.G. Granulated metamaterial cross-linked polyvinyl alcohol – Magnetite for use in optical micrometry // Theor. Found. Chem. Eng. 2021. V. 55. № 5. P. 1023. https://doi.org/10.1134/S0040579521050067
- Щемелев И.С., Ферапонтов Н.Б., Иванов А.В. Кинетические аспекты определения содержания углеводов в водных растворах методом оптической микрометрии// Науч. вестн. СамГ У. 2021. № 3 (127). С. 14.
- Щемелев И.С., Староверова А.В., Ферапонтов Н.Б., Иванов А.В. Определение сахарозы в растворах методом оптической микрометрии с применением нового композита “сшитый поливиниловый спирт – магнетит” / Инновационные материалы и технологии – 2021 / Под ред. Войтова И.В. Минск: БГТУ, 2021. С. 394.
- Каримов Х.Р., Староверова А.В., Токмачев М.Г., Ферапонтов Н.Б., Тробов Х.Т. Применение композита поливиниловый спирт – магнетит для повышения точности метода оптической микрометрии // Сорбционные и хроматографические процессы. 2023. Т. 23. № 2. С. 216. https://doi.org/10.17308/sorpchrom.2023.23/11145
- Большаков Е.С. Сенсорные матрицы на основе трехмерных фотонных кристаллов для экспрессного обнаружения летучих органических соединений. Дис. … канд. хим. наук. Москва: Московский государственный университет, 2021. 171 с.
- Большаков Е.С., Иванов А.В., Гармаш А.В., Самохин А.С., Козлов А.А., Золотов Ю.А. Комплексный подход к мониторингу летучих органических соединений сенсорными фотонно-кристаллическими матрицами // Журн. неорг. химии. 2021. Т. 66. № 2. С. 220. https://doi.org/10.31857/S0044457X21020033 (Bol’shakov E.S., Ivanov A.V., Garmash A.V., Samokhin A.S., Kozlov A.A., Zolotov Yu. A. Integrated approach to monitoring volatile organic compounds by photonic-crystal sensor matrices // Russ. J. Inorg. Chem. 2021. V. 66. № 2. P. 217. https://doi.org/10.1134/S0036023621020030)
- https://www.xrite.com/ (03.12.2023).
- https://imagej.net/ (03.12.2023).
- Lu X., Chen Ch., Wen X., Han P., Jiang W., Liang G. Highly charged, magnetically sensitive magnetite/polystyrene colloids: synthesis and tunable optical properties // J. Mater. Sci. 2019. V. 54. № 10. P. 7628. https://doi.org/10.1007/s10853-019-03445-4
- Токмачев М.Г., Ферапонтов Н.Б., Тробов Х.Т., Гавлина О.Т. Моделирование кинетики набухания гелей гидрофильных полимеров // Учен. записки физ. фак-та Моск. ун-та. 2018. № 5. 1850303.
- Староверова А.В., Токмачев М.Г., Гагарин А.Н., Ферапонтов Н.Б. Определение погрешностей результатов измерений, получаемых методом оптической микрометрии // Заводск. лаборатория. Диагностика материалов. 2023. Т. 89. № 6. С. 42. https://doi.org/10.26896/1028-6861-2023-89-6-42-50 (Staroverova A.V., Tokmachev M.G., Gagarin A.N., Ferapontov N.B. Determination of the error of measurements obtained by the optical micrometry // Ind. Lab. Diagn. Mater. 2023. V. 89. № 6. P. 42.)
- Heshmat M., Li P.C. H. Construction of an array of photonic crystal films for visual differentiation of water/ethanol mixtures // ACS Omega. 2019. V. 4. № 22. P. 19991. https://doi.org/10.1021/acsomega.9b02947
- Yang J., Zhu Z., Feng J., Xue M., Meng Z., Qiu L., Mbola N.M. Dimethyl sulfoxide infiltrated photonic crystals for gas sensing // Microchem. J. 2020. V. 157. Article 105074. https://doi.org/10.1016/j.microc.2020.105074
- Смирнова М.А., Гагарин А.Н., Токмачев М.Г., Тробов Х.Т., Ферапонтов Н.Б. Использование смешанных растворителей для определения концентрации растворенных веществ методом оптической микрометрии // Сорбционные и хроматографические процессы. 2021. Т. 21. № 5. С. 661.
Supplementary files













