Sorption concentration of flavonoids by ordered mesoporous silica synthesized in the presence of a potential sorbate
- Authors: Zavalyueva А.S.1, Karpov S.I.1, Selemenev V.F.1
-
Affiliations:
- Voronezh State University
- Issue: Vol 79, No 12 (2024)
- Pages: 1291-1299
- Section: ORIGINAL ARTICLES
- Submitted: 06.03.2025
- Accepted: 06.03.2025
- URL: https://medbiosci.ru/0044-4502/article/view/282594
- DOI: https://doi.org/10.31857/S0044450224120024
- EDN: https://elibrary.ru/stuqli
- ID: 282594
Cite item
Full Text
Abstract
The use of nanostructured sorbents at the stages of sample preparation (extraction, concentration) of multicomponent mixtures in the processes of solid-phase extraction of organic substances is of great interest. In the present work, the sorption properties of ordered mesoporous analogues of SBA-15 synthesized in the presence of quercetin as a potential sorbate are studied. The features of sorption isolation and concentration of quercetin, dihydroquercetin, naringin and rutin under dynamic conditions from acetonitrile solutions by the method of breakthrough curves are considered. The use of a generalized criterion for optimizing the sorption concentration of CE within the framework of the model of dynamic sorption concentration of Venitsianov – Tsyzin, taking into account the limiting (mixed-diffusion) stage of sorption kinetics, made it possible to evaluate the effectiveness of sorption concentration of flavonoids on the studied sorbents. It is shown that the use of ordered silica synthesized in the presence of a potential sorbate makes it possible to significantly increase the concentration efficiency compared with unstructured silicas, as well as samples of an unmodified analogue of SBA-15.
Full Text
Сорбционные процессы, реализуемые в статическом и динамическом режимах, нашли широкое применение при выделении, концентрировании и разделении близких по физико-химическим свойствам биологически активных веществ. Для решения задач, связанных с развитием подходов к пробоподготовке, особое внимание уделяется поиску эффективных сорбентов [1–4].
Появление нового класса наноструктурированных мезопористых материалов типа МСМ-41 и SBA-15 [5–7] позволяет достигать высокой эффективности хроматографических процессов за счет варьирования величин удельной площади поверхности, диаметра и объема пор, количества и распределения сорбционных центров на внешней и внутренней поверхностях сорбентов [8].
Кремнеземы типа SBA-15 характеризуются гексагональной упорядоченной структурой. Размер пор составляет 5–15 нм, удельная площадь поверхности ~ 1000 см2/г. Такие материалы получают золь-гель методом с гидротермальной обработкой в присутствии блоксополимера Pluronic P 123 в качестве шаблона [7].
Для управления процессами хроматографического выделения, концентрирования и разделения биологически активных веществ наноструктурированными мезопористыми материалами типа МСМ-41 и SBA-15 требуется изучение динамики сорбции. В работе [9] показано, что в варианте нормально-фазовой жидкостной хроматографии при динамическом сорбционном концентрировании неполярных сорбатов (на примере фосфатидилхолина) максимально высокая эффективность достигается при использовании наноструктурированных кремнеземов по сравнению с силикагелем и полимерными сорбентами (сверхсшитыми полистиролами). В случае классических сорбентов неупорядоченная структура, а также неравномерное распределение сорбционных центров на поверхности пор обусловливают значительное размывание выходных кривых, что не позволяет достигать высокой эффективности концентрирования [9].
Малоизученными остаются вопросы разделения и сорбционного концентрирования полифенольных веществ с учетом условий синтеза наноструктурированных сорбентов, в том числе с добавками потенциальных аналитов. Ограничены данные по особенностям реализации сорбционных процессов на упорядоченных материалах как в статических, так и в динамических условиях, а также в процессе твердофазной экстракции флавоноидов из многокомпонентных растворов веществ с близкими свойствами. В работах [10, 11] рассмотрено разделение кверцетина и (+)-катехина на упорядоченном кремнеземе типа MCM-41 и его силилированном аналоге. Отмечено, что по сравнению с аморфными силикагелями упорядоченная структура мезопористых материалов позволяет повысить эффективность сорбента при снижении диффузионных ограничений, что приводит к уменьшению размывания фронта сорбции [11]. Недостаточно изученным остается влияние типа структуры, величины удельной площади поверхности, размера пор, количества сорбционных центров на поверхности сорбентов на эффективность сорбционного концентрирования органических веществ [12]. Кроме того, тонкие стенки аналогов MCM-41 являются ограничением для использования сорбентов в условиях высокого давления и при многократном применении, поскольку может происходить частичное разрушение структуры. Механически более стабильными кремнеземами являются аналоги SBA-15 за счет большей толщины стенок [7].
В работах [13–15] упорядоченные мезопористые кремнеземы использовались на стадии пробоподготовки при определении флавоноидов в различных объектах. Условия твердофазной экстракции выбирали эмпирически, что не всегда позволяло реализовывать процесс сорбции в рациональных условиях. Выбор сорбента в ряде случаев был основан только на определении степени извлечения компонента. В статическом варианте сорбции эффективность концентрирования определяется коэффициентом распределения компонента. В динамических условиях необходимо учитывать набор кинетических параметров, что может быть реализовано с привлечением моделей динамического сорбционного концентрирования [16]. Это позволяет обосновывать выбор сорбентов и условия сорбционного концентрирования для достижения наибольшей эффективности процесса на основании минимального объема экспериментальных данных [16].
Цель настоящей работы – изучение сорбционного концентрирования флавоноидов в динамических условиях на упорядоченных аналогах SBA-15 в режиме нормально-фазовой сорбции.
В задачи работы входило:
- рассмотрение особенностей сорбционных свойств наноструктурированных аналогов SBA-15, синтезированных с добавками кверцетина;
- изучение сорбционного концентрирования флавоноидов на наноструктурированных аналогах SBA-15 в рамках модели динамического сорбционного концентрирования Веницианова–Цизина с учетом лимитирующей стадии кинетики сорбции;
- характеристика влияния добавок флавоноида при синтезе наноструктурированных аналогов SBA-15 на эффективность сорбционного концентрирования флавоноидов.
ЭКСПЕРИМЕНТАЛЬНАЯ ЧАСТЬ
Синтез упорядоченных аналогов SBA-15. В качестве прекурсора использовали коллоидный раствор оксида кремния с торговой маркой Ludox - HS -40 (Sigma, Германия), в качестве шаблона – блоксополимер полиэтиленоксид-полипропиленоксид-полиэтиленоксид Pluronic P 123 (Sigma, Германия). Кремнеземы синтезировали, как описано в работе [17], золь-гель методом с гидротермальной обработкой из реакционных смесей с мольным соотношением компонентов SiO2: P123: HCl: NaOH: H2O (1.0: 0.005: 1.8: 1.7: 70) (образец MS 1). Для синтеза сорбента в присутствии кверцетина (Quer) как потенциального сорбата добавляли этанольный раствор флавоноида с составом реакционной системы SiO2: P123: HCl: NaOH: H2O: Quer: EtOH (1.0: 0.005: 1.8: 1.7: 70: 1.0 × 10–4: 0.4, мольное соотношение) (образец MQS1). Реакционную смесь выдерживали при 40°C в течение 2 ч. После формирования золя переносили полученные смеси в автоклав для гидротермального синтеза, который выдерживали 16 ч при 100°C. Образцы фильтровали, последовательно промывали дистиллированной водой и этанолом с добавкой соляной кислоты. После высушивания кремнеземов проводили отжиг в муфельной печи при 550°C в течение 3 ч. В этих условиях происходит полное удаление как блоксополимера [17], так и кверцетина [18] из пор сорбентов.
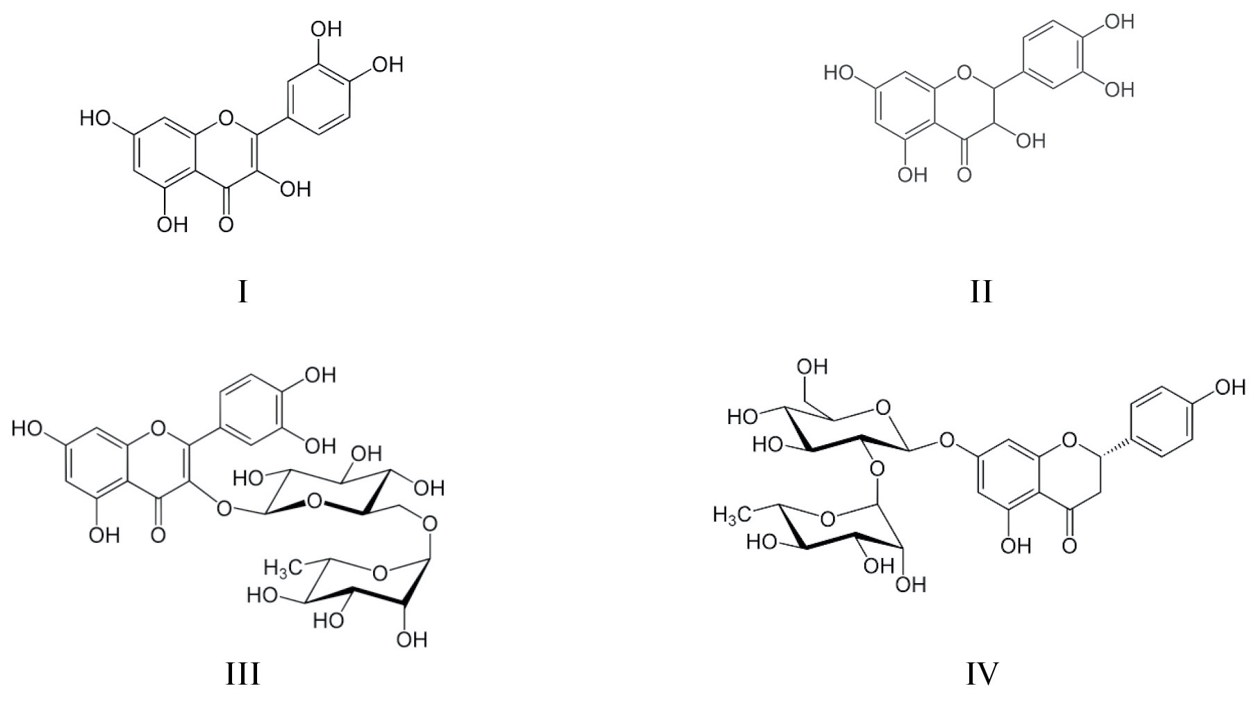
Динамика сорбции. В качестве сорбатов использовали кверцетин (ООО “Катроcа”, Роccия), дигидрокверцетин (ООО “Таксифолия”, Россия), (+)-катехин (Sigma - Aldrich, Германия), рутин (Acros Organics, Бельгия) и нарингин (Sigma - Aldrich, Германия), формулы которых приведены на схеме 1.
Схема 1. Структурные формулы флавоноидов: кверцетин (I), дигидрокверцетин (II), рутин (III), нарингин (IV).
Сорбцию флавоноидов на упорядоченных мезопористых кремнеземах в динамических условиях проводили в режиме фронтальной хроматографии. Выходные кривые получали при пропускании ацетонитрильных растворов флавоноидов (с = 0.7 ммоль/дм3) через колонку с сорбентом, предварительно высушенным при 120°C в течение 2 ч. Диаметр колонки составлял 5 мм, высота слоя сорбента 4.0 см, масса сорбента 0.200 г, диаметр частиц 0.1–0.25 мм. Объемная скорость поддерживалась постоянной, равной 0.2 см3/мин. Объем фракций 0.3–0.5 см3.
Флавоноиды в растворах определяли на спектрофотометре Shimadzu UV -1800 (Япония–США). Градуировочные зависимости для определения кверцетина, дигидрокверцетина, нарингина и рутина строили при длинах волн 367, 282, 288 и 355 нм соответственно.
Степень извлечения R рассчитывали как отношение количества вещества, удерживаемого слоем сорбента n, к общему количеству вещества пропущенного компонента n0:
. (1)
Коэффициент концентрирования Kконц рассчитывали как отношение концентрации компонента в концентрате cконц к исходной концентрации c0:
. (2)
РЕЗУЛЬТАТЫ И ИХ ОБСУЖДЕНИЕ
Сорбционное концентрирование в динамических условиях на стадии пробоподготовки используют как при классической твердофазной экстракции [19], так и в современных ее вариантах [13, 20, 21]. Для оценки возможности применения синтезированных упорядоченных кремнеземов при определении полифенольных веществ получили выходные кривые сорбции рассматриваемых флавоноидов (рис. 1) из ацетонитрильных растворов. Ранее показано [22], что на MCM-41 возможно разделение агликонов и гликозидов флавоноидов, обусловленное ситовым эффектом с учетом закономерностей эксклюзионной хроматографии. В случае использования упорядоченных кремнеземов с более широкими мезопорами (аналоги SBA-15) происходит инверсия в сорбционной селективности по отношению к разным группам флавоноидов (рис. 1). Для гликозидов возрастают объемы удерживания по сравнению с агликонами. При использовании в качестве сорбента кремнезема, полученного в присутствии кверцетина (MQS1), общие закономерности в селективности материала к полифенолам сохраняются (рис. 1б). При этом достигается увеличение сорбционной емкости в 3–4 раза (табл. 1). Также появляется возможность разделения кверцетина и дигидрокверцетина (рис. 1б). Однако рост сорбционной емкости кремнезема MQS1 по отношению к полифенолам сопровождается более выраженным размыванием выходных кривых сорбции флавоноидов. Известно, что при нормально-фазовом варианте сорбции присутствие воды может оказывать заметное влияние на вид выходных кривых. Их размывание может быть связано с конкурентной сорбцией воды, которая вытесняется по мере заполнения поверхности пор сорбентов полифенолами. Более симметричные выходные кривые могут быть получены при использовании сорбента с меньшим размером частиц и его более плотной упаковкой.
Рис. 1. Выходные кривые сорбции флавоноидов из индивидуальных ацетонитрильных растворов на кремнеземах MS1 (а) и MQS1 (б). 1 – кверцетин, 2 – дигидрокверцетин, 3 – нарингин, 4 – рутин.
Таблица 1. Сорбционная емкость синтезированных кремнеземов по отношению к флавоноидам и параметры десорбции
Флавоноид | Сорбент | Q, мкмоль/г | V80%, см3 | V95%, см3 | Kконц |
Кверцетин | MS1 | 0.34 ± 0.04 | 1 | 2 | 0.85 |
MQS1 | 1.1 ± 0.1 | 1 | 1. 5 | 2.8 | |
Дигидрокверцетин | MS1 | 0.28 ± 0.04 | 1 | 2. 5 | 0.75 |
MQS1 | 1.4 ± 0.1 | 1 | 2 | 3.3 | |
Нарингин | MS1 | 1.0 ± 0.1 | 1. 5 | 5 | 2.2 |
MQS1 | 3.1 ± 0.2 | 1 | 3 | 6.8 | |
Рутин | MS1 | 2.8 ± 0.2 | 1 | 3 | 6.4 |
MQS1 | 10.8 ± 0.5 | 1.5 | 4 | 28 |
Для повышения эффективности сорбционного концентрирования и разделения веществ важно рассматривать стадию как сорбции, так и десорбции. Высокие коэффициенты концентрирования могут достигаться при десорбции компонентов малыми объемами растворителя. Можно отметить, что наибольшее количество полифенолов десорбировалось при пропускании уже 1.0 мл растворителя через слой сорбента, удерживающего аналиты (табл. 1). Стоит отметить, что если для MS 1 (аналога SBA-15) коэффициент концентрирования для кверцетина и дигидрокверцетина при десорбции меньше единицы, то для кремнезема MQS1, синтезированного в присутствии кверцетина, достигается 3–4-кратное увеличение коэффициентов концентрирования (табл. 1). Наиболее существенный рост коэффициентов концентрирования реализуется для гликозидов флавоноидов – рутина и нарингина (табл. 1).
Оптимизация динамического сорбционного концентрирования флавоноидов. Выбор оптимальных условий пробоподготовки связан с подбором сорбента, а также высоты сорбционного слоя и скорости потока. Оптимизация динамического сорбционного концентрирования проводится с учетом механизма сорбции, который может быть определен по виду выходных кривых (рис. 1). Для этого графоаналитически определяли диффузионный параметр δ, отражающий вклад внешней и внутренней диффузии [9]. Коэффициенты диффузии рассчитывали по начальному участку выходных кривых в соответствии с работой [23] (табл. 2). При сорбции флавоноидов упорядоченными кремнеземами наблюдается высокая полнота используемой сорбционной емкости “до проскока”, а степени извлечения компонентов близки к 100% (табл. 2).
Таблица 2. Параметры сорбционного концентрирования флавоноидов на упорядоченных кремнеземах*
Флавоноид | Сорбент | δэксп | D × 107, см2/с | R, % | η | x0, см | t0, мин | CE, мин –1 | KK | |||
δ = 5 | δ = 10 | δ = 5 | δ = 10 | δ = 5 | δ = 10 | |||||||
Кверцетин | MS1 | 8 | 6.5 | 94 | 0.57 | 0.7 | 0.4 | 1.0 | 0.8 | 4.0 | 9.0 | 2.2 |
MQS1 | 6 | 4.2 | 98 | 0.70 | 0.5 | 0.3 | 2.5 | 1.8 | 6.3 | 11 | 8.0 | |
Дигидрокверцетин | MS1 | 8 | 5.0 | 84 | 0.60 | 1.1 | 0.6 | 1.5 | 1.0 | 2.6 | 5.4 | 2.0 |
MQS1 | 6 | 2.0 | 98 | 0.72 | 0.8 | 0.4 | 5.5 | 4.0 | 4.0 | 7.1 | 11 | |
Нарингин | MS1 | 5 | 1.8 | 9 8 | 0.78 | 1.9 | 1.1 | 11 | 7.5 | 1.6 | 2.6 | 9.0 |
MQS1 | 8 | 1.3 | 9 9 | 0.76 | 0.8 | 0.5 | 15 | 10 | 3.6 | 5.8 | 25 | |
Рутин | MS1 | 8 | 0.68 | 9 8 | 0.70 | 1.1 | 0.6 | 16 | 11 | 2.6 | 4.7 | 20 |
MQS1 | 13 | 0.52 | 99 | 0.76 | 0.6 | 0.4 | 37 | 26 | 5.0 | 8.3 | 90 | |
*χ = 0.1, D = 1 × 10–7 см2/с.
Примечание: жирным шрифтом выделены значения, соответствующие экспериментальной величине δ.
Выбор сорбента для сорбционного концентрирования компонентов осуществляется на основании критериев, рассчитанных для конкретных сорбентов и аналитов [16]. Одним из вариантов таких критериев являются факторы, характеризующие рост аналитического сигнала. Авторами работы [24] предложен интегральный критерий CE, называемый “эффективностью концентрирования”. Первоначально эту величину определяли как произведение коэффициента обогащения (отношение аналитических сигналов, полученных после и до концентрирования) и производительности анализа (его времени) [24]. Поскольку такая формулировка предполагает, что величина CE не зависит от применяемых методов концентрирования и детектирования, эту характеристику можно использовать для сравнения эффективности различных проточных сорбционных систем. Однако, как отмечено авторами работы [16], у величины CE есть некоторые недостатки, а именно: не удается выделить вклад собственно стадии концентрирования в общую эффективность анализа. Кроме того, при расчете эффективности концентрирования не учитывается степень извлечения компонента [16]. Авторами работы [25] показано, что величина CE для стадии концентрирования представляет собой коэффициент концентрирования, достигаемый в единицу времени при заданной степени извлечения компонента. Решение задач оптимизации сорбционного концентрирования в этом случае проводится с учетом двух ограничений. Первым являются “потери” целевого компонента χ [25]:
, (3)
где Qb – количество “проскока”, г; Q0 – количество поступившего в слой компонента, г.
Второе ограничение – доля использованной емкости сорбционного слоя η в момент прекращения потока [25]:
, (4)
где x – высота слоя сорбента, см; t – время сорбции, с; Kd’ – безразмерный коэффициент распределения.
Безразмерные переменные координата и время определяются в соответствии с выражениями [25]:
, (5)
где D – эффективный коэффициент диффузии, см2/с; Kd – коэффициент распределения, см3/г; ε – коэффициент порозности сорбента, г/см3; U – линейная скорость потока, см/с, r – радиус зерна сорбента, см.
Авторами работы [25] показано, что решение задач оптимизации динамического сорбционного концентрирования позволяет определить оптимальные высоту слоя сорбента x 0 и полное время сорбции t0. Для этого χ и η представляют в виде изолиний в плоскости X – T. Венициановым с соавт. [26] приведены результаты численных расчетов функций χ (X, T) и η (X, T) при заданных диффузионном параметре δ и коэффициентах диффузии. В настоящей работе теоретические кривые в координатах X – T дополнительно рассчитаны для случая δ = 5 (рис. 2). Анализ данных табл. 2 показывает, что упорядоченная структура кремнеземов уменьшает диффузионные ограничения при сорбционном концентрировании аналитов, снижая размывание фронта их сорбции по сравнению с неупорядоченными силикагелями [11]. При заданных метрологических требованиях (обычно принимают χ = 0.1, η рассчитывают по данным выходной кривой) находили Xопт и Tопт графическим совмещением изолиний χ и η в одной плоскости X – T. Для оценки эффективности сорбционного концентрирования СЕ размерные выражения оптимальных высоты слоя сорбента и полного времени сорбции определяли как [25]:
. (6)
Рис. 2. Теоретические функции полноты использования сорбционной емкости h (X, T) и уровня проскока c (X, T), применяемые для определения максимально достижимой эффективности концентрирования: 1, 2, 1’, 2’ – χ = 0.1; 3, 4, 3’, 4’ – η = 0.8; 5, 6, 5’, 6’ – η = 0.7; 7, 8, 7’, 8’ – η = 0.6. Пунктирные линии – δ = 5, сплошные линии – δ = 10.
Эффективность концентрирования CE рассчитывали с учетом безразмерного коэффициента распределения Kd’ по формуле [25]:
. (7)
Эффективность концентрирования связана с коэффициентом концентрирования KK (расч.). Коэффициент концентрирования рассчитывали как [25]:
. (8)
Для всех рассматриваемых сорбентов и аналитов сорбция характеризуется смешанно-диффузионной динамикой с преобладанием внутридиффузионного лимитирования (δ = 5–12). Для гликозидов флавоноидов наряду с ростом вклада внутридиффузионного контроля достигаются более высокие величины эффективности сорбционного концентрирования СЕ и коэффициенты концентрирования КK. Вместе с тем для агликонов флавоноидов (кверцетина и дигидрокверцетина) отмечается снижение вклада внутридиффузионного лимитирования, сопровождающееся уменьшением эффективности сорбционного концентрирования при переходе от кремнезема MS1 к его аналогу, полученному в присутствии кверцетина. Можно полагать, что рост внутридиффузионной составляющей способствует увеличению СЕ. Вместе с тем эффект увеличения эффективности сорбционного концентрирования на аналогах SBA-15, синтезированных с добавками флавоноидов, подавляется снижением вклада внутридиффузионного лимитирования. Можно полагать, что рост величины δ (табл. 2) способствует максимальной полноте использования сорбционной емкости, что обеспечивает наибольшую эффективность сорбционного концентрирования аналитов с использованием наноструктурированных сорбентов. Несмотря на закономерное снижение коэффициентов диффузии для более объемных молекул гликозидов флавоноидов (табл. 2), более полное задействование сорбционных центров кремнеземов обеспечивает общий рост коэффициентов концентрирования аналитов для материалов, синтезированных с добавками потенциальных сорбатов.
* * *
Показано, что синтез наноструктурированных сорбентов в присутствии кверцетина как потенциального сорбата позволяет повысить сорбционную емкость упорядоченных кремнеземов по отношению к флавоноидам при сорбционном концентрировании в нормально-фазовом варианте. Это сопровождается ростом полноты использования сорбционной емкости “до проскока” от 0.6–0.7 до 0.7–0.8, что способствует повышению эффективности сорбционного концентрирования в 1.5–2 раза. Этот эффект может быть связан с увеличением вклада внутренней диффузии в кинетику сорбции полифенолов. Рассчитанные высота слоя сорбента и время сорбции позволяют снизить затраты на проведение концентрирования. За счет снижения потерь аналита при сорбции флавоноидов на упорядоченных кремнеземах может быть уменьшен вклад стадии пробоподготовки в общую погрешность анализа. Полученные результаты могут быть использованы при извлечении флавоноидов из ацетонитрильных экстрактов растительного сырья.
ФИНАНСИРОВАНИЕ РАБОТЫ
Работа выполнена при поддержке Министерства науки и высшего образования РФ в рамках государственного задания вузам в сфере научной деятельности на 2023–2025 гг., проект FZGU-2023-0009.
КОНФЛИКТ ИНТЕРЕСОВ
Авторы данной работы заявляют об отсутствии конфликта интересов.
About the authors
А. S. Zavalyueva
Voronezh State University
Author for correspondence.
Email: a-kh-01@yandex.ru
Russian Federation, Voronezh, 394018
S. I. Karpov
Voronezh State University
Email: a-kh-01@yandex.ru
Russian Federation, Voronezh, 394018
V. F. Selemenev
Voronezh State University
Email: a-kh-01@yandex.ru
Russian Federation, Voronezh, 394018
References
- Темердашев З.А., Виницкая Е.А., Милевская В.В., Статкус М.А. Концентрирование углеродными сорбентами фенольных соединений и их хроматографическое определение в водных экстрактах лекарственных растений // Журн. аналит. химии. 2021. Т. 76. № 3. С. 208. https://doi.org/10.31857/S0044450221030142 (Temerdashev Z.A., Vinitskaya E.A., Milevskaya V.V., Statkus M.A. Preconcentration of phenolic compounds on carbon sorbents and their chromatographic determination in aqueous extracts of medicinal plants // J. Anal. Chem. 2021. V. 76. №. 3. P. 296. https://doi.org/10.1134/S106193482103014X)
- Ланин С.Н., Рычкова С.А. Виноградов А.Е., Вирясов М.Б., Востров И.А., Шаталов И.А. Сорбция водорастворимых витаминов на сорбентах различной природы // Сорбционные и хроматографические процессы. 2015. Т. 15. № 2. С. 179.
- Чикурова Н.Ю., Шемякина А.О., Брыскина Д.Э., Нуриев В.Н., Комаров А.А., Статкус М.А., Ставрианиди А.Н., Чернобровкина А.В. Новый сорбент для гидрофильной хроматографии на основе силикагеля, модифицированного по реакции Уги // Журн. аналит. химии. 2021. Т. 76. № 9. С. 832. https://doi.org/10.31857/S0044450221090036 (Chikurova N.Y., Shemyakina A.O., Nuriev V.N., Statkus M.A., Stavrianidi A.N., Chernobrovkina A.V., Bryskina D.E., Komarov A.A. A novel adsorbent for hydrophilic chromatography based on silica modified by the Ugi reaction // J. Anal. Chem. 2021. V. 76. № 9. P. 1083. https://doi.org/10.1134/S1061934821090033)
- Федорова И.А., Шаповалова Е.Н., Шпигун О.А. Разделение энантиомеров β -блокаторов и аминокислот на смешанном хиральном сорбенте, модифицированном макроциклическими антибиотиками эремомицином и ванкомицином // Журн. аналит. химии. 2017. Т. 72. № 1. P. 57. https://doi.org/10.7868/S0044450217010078 (Fedorova I.A., Shapovalova E.N., Shpigun O.A. Separation of β -blocker and amino acid enantiomers on a mixed chiral sorbent modified with macrocyclic antibiotics eremomycin and vancomycin // J. Anal. Chem. 2017. V. 72. № 1. P. 76. https://doi.org/10.1134/S1061934817010075)
- Beck J.S., Vartuli J.C., Roth W.J., Leonowicz M.E., Kresge C.T., Schmitt K.D. et al. A new family of mesoporous molecular sieves prepared with liquid crystal templates // J. Am. Chem. Soc. 1992. V. 114. P. 10834. https://doi.org/10.1021/JA00053A020
- Kresge C.T., Leonowicz M.E., Roth W.J., Vartuli J.C., Beck J.S. Ordered mesoporous molecular sieves synthesized by a liquid-crystal template mechanism // Nature. 1992. V. 359. P. 710. https://doi.org/10.1038/359710a0
- Zhao D., Feng J., Huo Q., Melosh N., Fredrickson G.H., Chmelka B.F., Stucky G.D. Triblock copolymer syntheses of mesoporous silica with periodic 50 to 300 angstrom pores // Science. 1998. V. 279. P. 548. https://doi.org/10.1126/science.279.5350.548
- Gañán J., Pérez-Quintanilla D., Morante-Zarcero S., Sierra I. Comparison of different mesoporous silicas for off-line solid phase extraction of 17β-estradiol from waters and its determination by HPLC-DAD // J. Hazard. Mater. 2013. V. 260. P. 609. https://doi.org/10.1016/ j. jhazmat.2013.06.016
- Синяева Л.А., Беланова Н.А., Карпов С.И., Селеменев В.Ф., Roessner F. Сорбционное концентрирование фосфатидилхолина наноструктурированными мезопористыми материалами в динамических условиях // Журн. аналит. химии. Т. 73. № 9. С. 663. https://doi.org/10.1134/S0044450218090141 (Sinyaeva L.A., Belanova N.A., Karpov S.I., Selemenev V.F., Roessner F. Adsorption preconcentration of phosphatidylcholine on nanostructured mesoporous materials under dynamic conditions // J. Anal. Chem. 2018. V. 73. № 9. P. 847. https://doi.org/10.1134/S1061934818090149)
- Карпов С.И., Корабельникова Е.О. Разделение (+)-катехина и кверцетина на мезопористых композитах МСМ-41. Динамика сорбции флавоноидов // Журн. физ. химии. 2015. Т. 89. № 6. С. 1030. https://doi.org/10.7868/s0044453715060151 (Karpov S.I., Korabel'nikova E.O. Separation of (+)-catechin and quercetin on mesoporous MCM-41 composites: Dynamics of the sorption of flavonoids // Russ. J. Phys. Chem. A. 2015. V. 89. № 6. P. 1096. https://doi.org/10.1134/S0036024415060151)
- Карпов С.И., Беланова Н.А., Корабельникова Е.О., Недосекина И.В., Roessner F., Селеменев В.Ф. Хроматографическое разделение и концентрирование кверцетина и (+)-катехина с использованием мезопористых композитов на основе МСМ-41 // Журн. физ. химии. 2015. Т. 89. № 5. С. 855. https://doi.org/10.7868/S0044453715050179 (Karpov S.I., Belanova N.A., Korabel'nikova E.O., Nedosekina I.V., Selemenev V.F., Roessner F. Chromatographic separation and concentration of quercetin and (+)-catechin using mesoporous composites based on MCM-41 // Russ. J. Phys. Chem. A. 2015. V. 89. № 5. P. 882. https://doi.org//10.1134/S0036024415050179)
- Boateng I.D., Yang X.-M., Yin H., Liu W. Separation and purification of polyprenols from Ginkgo biloba leaves by silver ion anchored on imidazole-based ionic liquid functionalized mesopo rous MCM-41 sorbent // Food Chem. 2024. V. 450. Article 139284. https://doi.org/10.1016/j.foodchem.2024.139284
- Cao W., Ye L.H., Cao J., Xu J.-J., Peng L.-Q., Zhu Q.-Y., et al. Quantitative analysi s of flavanones from citrus fruits by using mesoporous molecular sieve-based miniaturized solid phase extraction coupled to ultrahigh-performance liquid chromatography and quadrupole time-of-flight mass spectrometry // J. Chromatogr. A. 2015. V. 1406. P. 68. https://doi.org/10.1016/j.chroma.2015.06.035
- Wang X., Li J., Yang X., Gao X.-M., Wang H., Chang Y.-X. A rapid and efficient extraction method based on industrial MCM-41-miniaturized matrix solid-phase dispersion extraction with response surface methodology for simultaneous quantification of six flavonoids in Pollen typhae by ultra-high-performance liquid chromatography // J. Sep. Sci. 2019. V. 42. № 14. P. 2426. https://doi.org/10.1002/jssc.201900227
- Cotea V. V., Luchiana C.E., Bilbaa N., Niculauac M. Mesoporous silica SBA-15, a new adsorbent for bioactive polyphenols from red wine // Anal. Chim. Acta. 2012. V. 732. P. 180. https://doi.org/10.1016/ j. aca.2011.10.019
- Золотов Ю.А., Цизин Г.И., Моросанова Е.И., Дмитриенко С.Г. Сорбционное концентрирование микрокомпонентов для целей химического анализа // Успехи химии. 2005. Т. 74. № 1. С. 41.
- Хлуднева А.С., Карпов С.И., Roessner F., Селеменев В.Ф. Структура и сорбционные свойства мезопористых кремнеземов, синтезированных при варьировании температуры и кремниевой основы // Сорбционные и хроматографические процессы. 2021. Т. 21. № 5. С. 669. https://doi.org/10.17308/ sorpchrom.2021.21/3773
- Мамылов С.Г., Ломовский И.О., Ломовский О.И. Термическое взаимодействие кверцетина и глюкозы. Влияние механохимического воздействия. Квантово-химический расчет маршрутов реакции // Фундаментальные проблемы современного материаловедения. 2022. Т. 19. № 3. С. 315. https://doi.org/10.25712/ASTU.1811-1416.2022. 03.004
- Hafezian S.M., Azizi S.N., Biparva P., Bekhradnia A. High-efficiency purification of sulforaphane from the broccoli extract by nanostructured SBA-15 silica using solid-phase extraction method // J. Chromatogr. B. 2019. V. 1108. P. 1. https://doi.org/10.1016/j.jchromb.2019.01.007
- Wang L., Yan H., Yang C., Li Z., Qiao F. Synthesis of mimic molecularly imprinted ordered mesoporous silica adsorbent by thermally reversible semicovalent approach for pipette-tip solid-phase extraction-liquid chromatography fluorescence determination of estradiol in milk // J. Chromatogr. A. 2016. V. 1456. P. 58. https://doi.org/10.1016/j.chroma.2016.06.010
- Scheid C., Mello W., Buchner S., Benvenutti E.V., Deon M., Merib J. Efficient analysis of polycyclic aromatic hydrocarbons by dispersive-µ-solid-phase extraction using silica-based nanostructured sorbent phases coupled to gas chromatography-mass spectrometry // Adv. Sample Prep. 2023. V. 7. P. 10070. https://doi.org/10.1016/ j. sampre.2023.100070
- Беланова Н.А., Карпов С.И., Селеменев В.Ф., Ресснер Ф., Макаревич Е.О. Способ концентрирования и разделения флавоноидов. Патент РФ № 2646805 C 1. Заявка 2016149469 от 15.12.2016, опубл. 07.03.2018.
- Кузьминых В.А., Чикин Г.А., Селеменев В.Ф. Асимптотическая теория динамики ионообменной сорбции при необменном поглощении электролита и соизмеримых диффузионных сопротивлениях взаимодействующих фаз / Труды VIII региональной конференции “Проблемы химии и химической технологии”. Воронеж. 21–22 сентября 2000. С. 123.
- Fang Z., Welzt B. Optimisation of experimental parameters for flow injection flame atomic absorption spectrom etry // J. Anal. Atom. Spectrom. 1989. V. 4. P. 83.
- Веницианов Е.В., Ковалев И.А., Цизин Г.И. Оптимизация динамического сорбционного концентрирования в аналитической химии // Теория и практика сорбционных процессов. Межвузовский сб. науч. трудов. 1998. Т. 23. С. 24.
- Веницианов В.В., Волков Б.И., Иоффе В.П., Колосова Г.М., Рубинштейн Н.Н. Некоторые задачи динамики сорбции в области линейной изотермы при внешнедиффузионной кинетике // Заводск. лаборатория. 1971. № 5. С. 544.
Supplementary files





