Влияние неонатальной гипоксии и антидепрессанта флуоксетина на когнитивную и стресс-гормональную функции у взрослых крыс
- Авторы: Михайленко В.А.1, Буткевич И.П.1, Вершинина Е.А.1
-
Учреждения:
- Институт физиологии им. И.П. Павлова РАН
- Выпуск: Том 59, № 3 (2023)
- Страницы: 178-189
- Раздел: ЭКСПЕРИМЕНТАЛЬНЫЕ СТАТЬИ
- URL: https://medbiosci.ru/0044-4529/article/view/136696
- DOI: https://doi.org/10.31857/S0044452923030063
- EDN: https://elibrary.ru/YHNJYS
- ID: 136696
Цитировать
Полный текст
Аннотация
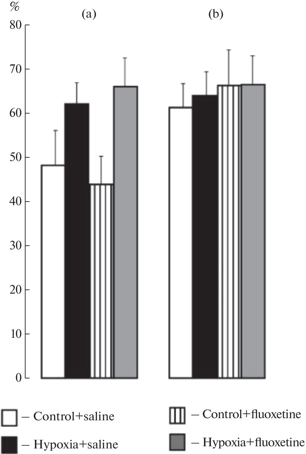
У взрослых самцов и самок крыс, подвергнутых на 2-й день жизни умеренной острой гипоксии и затем хроническому введению ингибитора обратного захвата серотонина флуоксетина, исследовали способность к пространственному обучению и функциональность пространственной памяти, а также стрессорную реактивность гипоталамо-гипофизарно-адренокортикальной cистемы (ГГАКС). При тестировании способности к пространственному обучению у взрослых крыс, подвергнутых неонатальной гипоксии, обнаружено увеличение латентного периода достижения платформы в водном лабиринте Морриса в первой пробе в первый из пяти дней тренировки по сравнению с животными, не подвергавшимися гипоксии. Полученные результаты по исследованию памяти в тесте распознавания нового объекта и в водном лабиринте Морриса свидетельствуют о том, что гипоксия не вызывала дефицит памяти у взрослых животных. Более того, гипоксия улучшала показатели памяти у самцов на первый день, а у самок – на 4-й день тестирования после удаления платформы из бассейна по сравнению с соответствующими контрольными значениями. Содержание кортикостерона в плазме крови самцов в ответ на тестирование памяти не различалось в контрольной и гипоксической группах и характеризовалось более высокими показателями, чем у самок соответствующих групп. Гипоксия увеличила реактивность ГГАКС у самок, что сочеталось у них с более длительным хранением памяти. Флуоксетин нормализовал показатель пространственного обучения, не вызвал изменений у контрольных животных и не изменил выявленное улучшение памяти у гипоксических крыс без введения этого препарата. Полученные новые данные расширяют представление о долговременном влиянии неонатальной нормобарической умеренной гипоксии на пространственную память и реактивность ГГАКС в зависимости от половой принадлежности и подчеркивают отсутствие вредного влияния флуоксетина на пространственную память как у контрольных крыс, так и у крыс с воздействием гипоксии.
Об авторах
В. А. Михайленко
Институт физиологии им. И.П. Павлова РАН
Автор, ответственный за переписку.
Email: viktormikhailenko@yandex.ru
Россия, Санкт-Петербург
И. П. Буткевич
Институт физиологии им. И.П. Павлова РАН
Email: viktormikhailenko@yandex.ru
Россия, Санкт-Петербург
Е. А. Вершинина
Институт физиологии им. И.П. Павлова РАН
Email: viktormikhailenko@yandex.ru
Россия, Санкт-Петербург
Список литературы
- Van Bodegom M, Homberg JR, Henckens MJAG (2017) Modulation of the hypothalamic-pituitary-adrenal axis by early life stress exposure. Front Cell Neurosci 19: 11–87. https://doi.org/10.3389/fncel.2017.00087
- Giannopoulou I, Pagida MA, Briana DD, Panayotacopoulou MA (2018) Perinatal hypoxia as a risk factor for psychopathology later in life: the role of dopamine and neurotrophins. Hormones (Athens) 17: 25–32. https://doi.org/10.1007/s42000-018-0007-7
- Matthews SG, McGowan PO (2019) Developmental programming of the HPA axis and related behaviours: epigenetic mechanisms. J Endocrinol 242: 69–79. https://doi.org/10.1530/joe-19-0057
- Maccari S, Krugers HJ, Morley-Fletcher S, Szyf M, Brunton PJ (2014) The consequences of early-life adversity: neurobiological, behavioural and epigenetic adaptations. J Neuroendocrinol 26: 707–723. https://doi.org/10.1111/jne.12175
- Renz H, Adkins BD, Bartfeld S, Blumberg RS, Farber DL, Garssen J, Ghazal P, Hackam DJ, Marsland BJ, McCoy KD, Penders J, Prinz I, Verhasselt V, von Mutius E, Weiser JN, Wesemann DR, Hornef MW (2018) The neonatal window of opportunity-early priming for life. J Allergy Clin Immunol 141 (4): 1212–1214. https://doi.org/10.1016/j.jaci.2017.11.019
- Rice D, Barone JrS (2000) Critical periods of vulnerability for the developing nervous system: evidence from humans and animal models. Environmental Health Perspectives 108: 511–533. https://doi.org/10.1289/ehp.00108s3511
- Lupien SJ, McEwen BS, Gunnar MR, Heim C (2009) Effects of stress throughout the lifespan on the brain, behaviour and cognition. Nat Rev Neurosci 10: 434–445. https://doi.org/10.1038/nrn2639
- Gehrand AL, Phillips J, Malott K, Raff H (2020) Corticosterone, adrenal, and the pituitary-gonadal axis in neonatal rats: effect of maternal separation and hypoxia. Endocrinology 161: bqaa085. https://doi.org/10.1210/endocr/bqaa085
- Rybnikova E, Nalivaeva N (2021) Glucocorticoid-dependent mechanisms of brain tolerance to hypoxia. Int J Mol Sci 22: 7982. https://doi.org/10.3390/ijms22157982
- Millar LJ, Shi L, Hoerder-Suabedissen A, Molnár Z (2017) Neonatal hypoxia ischaemia: mechanisms, models, and therapeutic challenges. Front Cell Neurosci 11: 78. https://doi.org/10.3389/fncel.2017.00078
- Semenov DG, Belyakov AV, Rybnikova EA (2022) Experimental modeling of damaging and protective hypoxia of the mammalian brain. J Evol Biochem Physiol 58: 2021–2034. https://doi.org/10.1134/s0022093022060291
- Sanches EFF, Arteni NSS, Nicola F, Boisserand L, Willborn S, Netto CAA (2013) Early hypoxia-ischemia causes hemisphere and sex-dependent cognitive impairment and histological damage. Neuroscience 237: 208–215. https://doi.org/10.1016/j.neuroscience.2013.01.066
- Duran-Carabali LE, Odorcyk FK, Sanches EF, de Mattos MM, Anschau FCA, Netto CAA (2022) Effect of environmental enrichment on behavioral and morphological outcomes following neonatal hypoxia-ischemia in rodent models: a systematic review and meta-analysis affiliations expand. Mol Neurobiol 59: 1970–1991. https://doi.org/10.1007/s12035-022-02730-9
- Khozhai LI, Otellin VA (2022) Distribution of GABAergic neurons and expression levels of GABA transporter 1 in the rat neocortex during the neonatal period after perinatal hypoxic exposure. J Evol Biochem Physiol 58: 1432–1441. https://doi.org/10.1134/S0022093022060023
- Bombardi C, Grandis A, Pivac N, Sagud M, Lucas G, Chagraoui A, Lemaire-Mayo V, De Deurwaerdère P, Di Giovanni G (2021) Serotonin modulation of hippocampal functions: From anatomy to neurotherapeutics. Progress Brain Res 261: 83–158. https://doi.org/10.1016/bs.pbr.2021.01.031
- Carneiro IBC, Toscano AE, da Cunha MSB, Lacerda DC, Pontes PB, de Castro RM, de Jesus Deiró TCB, Mede-iros JMB (2022) Serotonergic mechanisms associated with experimental models of hypoxia: a systematic review. Int J Dev Neurosci 82(8):668–680. https://doi.org/10.1002/jdn.10226
- Vorhees CV, Williams MT (2014) Assessing spatial learning and memory in rodents. ILAR J 55: 310–332. https://doi.org/10.1093/ilar/ilu013
- Nagano R, Nagano M, Nakai A, Takeshita T, Suzuki H (2017) Differential effects of neonatal SSRI treatments on hypoxia-induced behavioral changes in male and female offspring. Neuroscience 360: 95–105. https://doi.org/10.1016/j.neuroscience.2017.07.051
- Tate K, Kirk B, Tseng A, Ulffers A, Litwa K (2021) Effects of the selective serotonin reuptake inhibitor fluoxetine on developing neural circuits in a model of the human fetal cortex. Int J Mol Sci 22:10457. https://doi.org/10.3390/ijms221910457
- Khodanovich M, Kisel A, Kudabaeva M, Chernysheva G, Smolyakova V, Krutenkova E (2018) effects of fluoxetine on hippocampal neurogenesis and neuroprotection in the model of global cerebral ischemia in rats. Int J Mol Sci 19: 162. https://doi.org/10.3390/ijms19010162
- Dobbing J (1981) Nutritional growth restriction and the nervous system. Davidson AN, Thompson RHS (Eds.), The Molecular Basis of Neuropathology. Edward Arnold Co. London. 221–233.
- Cohen SJ, Stackman RW (2015) Assessing rodent hippocampal involvement in the novel object behavior. Brain Res 285: 105–117. https://doi.org/10.1016/j.bbr.2014.08.002
- Morris RGM (1981) Spatial localization does not require the presence of local cues. Learning and Motivation 12: 239–260. https://doi.org/10.1016/0023-9690(81)90020-5
- Sukhanova IuA, Sebentsova EA, Khukhareva DD, Vy-sokikh MYu, Bezuglov VV, Bobrov MYu, Levitskaya NG (2019) Early-life N-arachidonoyl-dopamine exposure increases antioxidant capacity of the brain tissues and reduces functional deficits after neonatal hypoxia in rats. Int J Dev Neurosci 78: 7–18. https://doi.org/10.1016/j.ijdevneu.2019.06.007
- Zhuravin IA, Dubrovskaya NM, Vasilev DS, Postnikova TY, Zaitsev AV (2019) Prenatal hypoxia produces memory deficits associated with impairment of long-term synaptic plasticity in young rats. Neurobiol Learn Mem 164: 107066. https://doi.org/10.1016/j.nlm.2019.107066
- Takada SH, Dos Santos Haemmerle CA, Motta-Teixeira LC, Machado-Nils AV, Lee VY, Takase LF, Cruz-Rizzolo RJ, Kihara AH, Xavier GF, Watanabe I-S, Nogueira MI (2015) Neonatal anoxia in rats: hippocampal cellular and subcellular changes related to cell death and spatial memory. Neuroscience 284: 247–259. https://doi.org/10.1016/j.neuroscience.2014.08.054
- Toda T, Gage FH (2018) Review: adult neurogenesis contributes to hippocampalplasticity. Cell Tissue Res 373: 693–709. https://doi.org/10.1007/s00441-017-2735-4
- Kempermann G (2022) What is adult hippocampal neurogenesis good for? Front Neurosci 16: 852680. https://doi.org/10.3389/fnins.2022.852680
- Bond AM, Ming G-l, Song H (2022) What is the relationship between hippocampal neurogenesis across different stages of the lifespan? Front Neurosci 16: 891713. https://doi.org/10.3389/fnins.2022.891713
- Masachs N, Charrier V, Farrugia F, Lemaire V, Blin N, Mazier W, Tronel S, Montaron M-F, Ge S, Marsicano G, Cota D, Deroche-Gamonet V, Herry C, Abrous DN (2021) The temporal origin of dentate granule neurons dictates their role in spatial memory. Mol Psychiatry 26: 7130–7140. https://doi.org/10.1038/s41380-021-01276-x
- Muntsant A, Shrivastava K, Recasens M, Giménez-Llort L (2019) Severe perinatal hypoxic-ischemic brain injury induces long-term sensorimotor deficits, anxiety-like behaviors and cognitive impairment in a sex-, age- and task-selective manner in C57BL/6 mice but can be modulated by neonatal handling. Front Behav Neurosci 13: 7. https://doi.org/10.3389/fnbeh.2019.00007
- Butkevich IP, Mikhailenko VA (2018) Effect of fluoxetine in prenatal period on nociceptive system reactivity and psychoemotional behavior in young female rats. Bull Exp Biol Med 165: 209–212. https://doi.org/10.1007/s10517-018-4131-9
- France G, Volianskis R, Ingram R, Bannister N, Rothärmel R, Irvine MW, Fang G, Burnell ES, Sapkota K, Costa BM, Vhpra DA, Michael-Titus AT, Monaghan DT, Georgiou J, Bortolotto ZA, Jane DE, Collingridge GL, Volianskis A (2022) Differential regulation of STP, LTP and LTD by structurally diverse NMDA receptor subunit-specific positive allosteric modulators. Neuropharmacology 202: 108840. https://doi.org/10.1016/j.neuropharm.2021.108840
- Luine V (2002) Sex differences in chronic stress effects on memory in rats. Stress 5: 205–216. https://doi.org/10.1080/1025389021000010549
- Luine V, Gomez J, Beck K, Bowman R (2017) Sex differences in chronic stress effects on cognition in rodents. Pharmacology, Biochem Behav 152: 13–19. https://doi.org/10.1016/j.pbb.2016.08.005
- Goel N, Philippe TJ, Chang J, Koblanski ME, Viau V (2022) Cellular and serotonergic correlates of habituated neuroendocrine responses in male and female rats. Psychoneuroendocrinology 136: 105599. https://doi.org/10.1016/j.psyneuen.2021.105599
- Philippe TJ, Bao L, Koblanski ME, Viau V (2022) Sex differences in serotonin 5-HT 1A receptor responses to repeated restraint stress in adult male and female rats. Int J Neuropsychopharmacol 25: 863–876. https://doi.org/10.1093/ijnp/pyac046
- Taxier LR, Gross KS, Frick KM (2020). Oestradiol as a neuromodulator of learning and memory. Nat Rev Neurosci 21: 535–550. https://doi.org/10.1038/s41583-020-0362-7
- Rocks D, Kundakovic M (2022) Hippocampus-based behavioral, structural, and molecular dynamics across the estrous cycle. J Neuroendocrinol e13216. https://doi.org/10.1111/jne.13216
Дополнительные файлы







