Mechanisms of Reactions between Cobalamins and Diethylamine Diazenium Diolate in Neutral Aqueous Solutions
- Authors: Derevenkov I.A.1, Cherevina E.A.1, Makarov S.V.1
-
Affiliations:
- Ivanovo State University of Chemistry and Technology
- Issue: Vol 97, No 1 (2023)
- Pages: 66-70
- Section: PHYSICAL CHEMISTRY OF SOLUTIONS
- Submitted: 15.10.2023
- Published: 01.01.2023
- URL: https://medbiosci.ru/0044-4537/article/view/136523
- DOI: https://doi.org/10.31857/S0044453723010053
- EDN: https://elibrary.ru/BBLOCD
- ID: 136523
Cite item
Full Text
Abstract
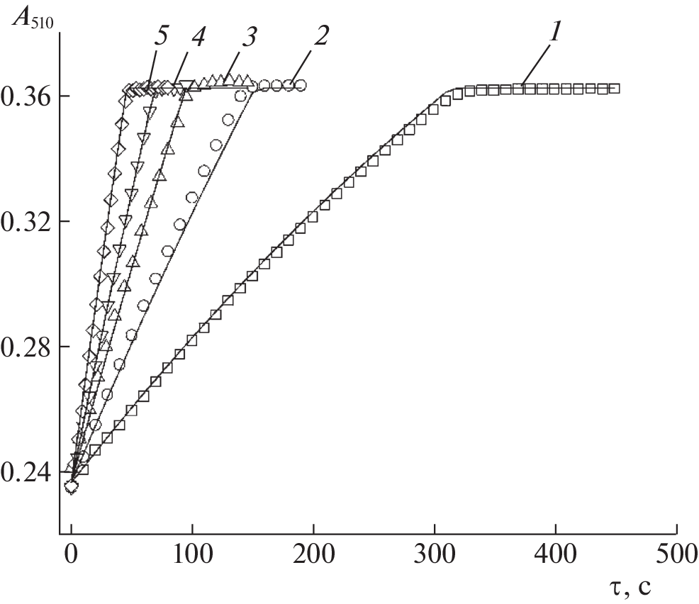
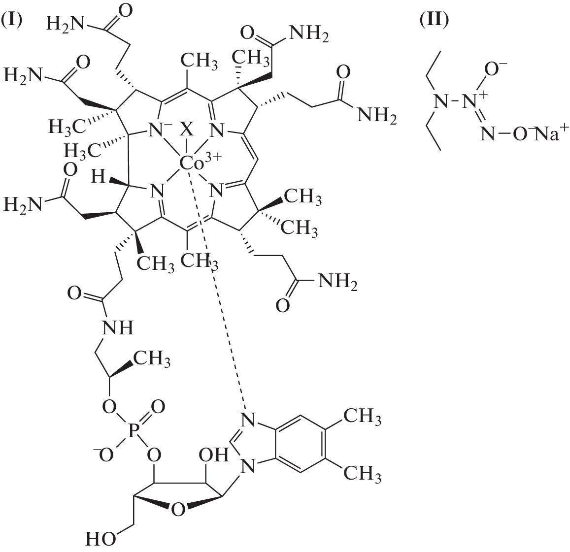
Reactions between diethylamine diazenium diolate (DEANONO) and aqua-, methyl-, cyano-, sulfito- and glutathionylcobalamins, cobalamin(II), and aquahydroxocobinamide were studied at pH 7.4 and 25.0°C using ultraviolet-visible spectrometry. Kinetic curves are simulated according to the mechanism proposed in the ChemMech program. It is shown that methyl-, cyano-, and sulfito-cobalamins do not react with DEANONO. The reaction between aquacobalamin and DEANONO does not produce nitrosylcobalamin (NOCbl) because of the relatively rapid decomposition of DEANONO and the slow interaction between the initial reagents. It is established that glutathionylcobalamin is converted into NOCbl due to interaction with nitric oxide released during the decomposition of DEANONO and the transfer of the nitroxyl of DEANONO molecules to Co(III) ions. Cobalamin(II) is converted to NOCbl by the rapid binding of NO released during the decomposition of DEANONO. It is shown that the reaction between aquahydroxocobinamide and DEANONO includes the rapid coordination of DEANONO to Co(III) ions and slower decomposition of the complex into nitrosylcobinamide and other products.
Keywords
About the authors
I. A. Derevenkov
Ivanovo State University of Chemistry and Technology
Email: derevenkov@gmail.com
153000, Ivanovo, Russia
E. A. Cherevina
Ivanovo State University of Chemistry and Technology
Email: derevenkov@gmail.com
153000, Ivanovo, Russia
S. V. Makarov
Ivanovo State University of Chemistry and Technology
Author for correspondence.
Email: derevenkov@gmail.com
153000, Ivanovo, Russia
References
- Kräutler B. // Biochem. Soc. Trans. 2005. V. 33. P. 806.
- Brown K.L. // Chem. Rev. 2005. V. 105. P. 2075.
- Bridwell-Rabb J., Grell T.A.J., Drennan C.L. // Annu. Rev. Biochem. 2018. V. 87. P. 555.
- Bridwell-Rabb J., Drennan C.L. // Curr. Opin. Chem. Biol. 2017. V. 37. P. 63.
- Hannibal L., Axhemi A., Glushchenko A.V. et al. // Clin. Chem. Lab. Med. 2008. V. 46. P. 1739.
- Gherasim C., Lofgren M., Banerjee R. // J. Biol. Chem. 2013. V. 288. P. 13186.
- Dereven’kov I.A., Salnikov D.S., Silaghi-Dumitrescu R. et al. // Coord. Chem. Rev. 2016. V. 309. P. 68.
- Wolak M., Zahl A., Schneppensieper T. et al. // J. Am. Chem. Soc. 2001. V. 123. P. 9780.
- Kambo A., Sharma V.S., Casteel D.E. et al. // J. Biol. Chem. 2005. V. 280. P. 10073.
- Mascarenhas R., Li Z., Gherasim C. et al. // J. Biol. Chem. 2020. V. 295. P. 9630.
- Polaczek J., Subedi H., Orzeł Ł. et al. // Inorg. Chem. 2021. V. 60. P. 2964.
- Subedi H., Hassanin H.A., Brasch N.E. // Inorg. Chem. 2014. V. 53. P. 1570.
- Zheng D., Birke R.L. // J. Am. Chem. Soc. 2002. V. 124. P. 9066.
- Wolak M., Stochel G., van Eldik R. // Inorg. Chem. 2006. V. 45. P. 1367.
- Hassanin H.A., Hannibal L., Jacobsen D.W. et al. // Angew. Chem. Int. Ed. 2009. V. 48. P. 8909.
- Shaikh N., Valiev M., Lymar S.V. // J. Inorg. Biochem. 2014. V. 141. P. 28.
- Bobko A.A., Khramtsov V.V. // Nitric Oxide 2014. V. 40. P. 92.
- Keefer L.K., Nims R.W., Davies K.M., Wink D.A. // Meth. Enzymol. 1996. V. 268. P. 281.
- Fitzhugh A.L., Keefer L.K. // Free Radic. Biol. Med. 2000. V. 28. P. 1463.
- Dereven’kov I.A., Osokin V.S., Molodtsov P.A. et al. // React. Kinet. Mech. Catal. 2022. V. 135. P. 1469.
- Li Q., Lancaster J.R. Jr. // Nitric Oxide 2009. V. 21. P. 69.
- Sharma V.S., Pilz R.B., Boss G.R., Magde D. // Biochemistry 2003. V. 42. P. 8900.
Supplementary files











