Study of Heptane and Toluene Decomposition during High-Energy Processing in a Planetary Mill Together with Titanium Powder
- Authors: Aksenova V.V.1, Kanunnikova O.M.1, Ladyanov V.I.2
-
Affiliations:
- Udmurt State Agricultural University
- Udmurt Federal Research Center, Ural Branch, Russian Academy of Sciences
- Issue: Vol 97, No 4 (2023)
- Pages: 527-534
- Section: STRUCTURE OF MATTER AND QUANTUM CHEMISTRY
- Submitted: 15.10.2023
- Published: 01.04.2023
- URL: https://medbiosci.ru/0044-4537/article/view/136568
- DOI: https://doi.org/10.31857/S0044453723040039
- EDN: https://elibrary.ru/TDWUFV
- ID: 136568
Cite item
Full Text
Abstract
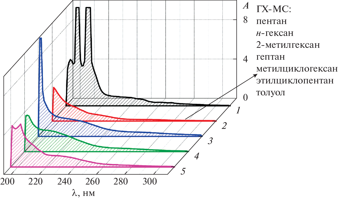
Molecular spectroscopy in the UV and IR ranges is used to perform a comparative study of the decomposition of toluene and heptane during mechanical activation with titanium. It is shown that high-energy mechanical processing is effective for obtaining low-molecular-weight alkanes, the amounts of which are largely determined by the nature of the hydrocarbons. The effect the mill carrier’s speed of rotation has on the depth of hydrocarbon decomposition and the composition of products of the mechanical processing of the liquid phase is considered. It is shown that at a speed of 600 rpm, heptane begins to decompose at short periods of mechanical activation (MA), while toluene is stable up to 30 h MA. Considerable structural and chemical transformations occur in toluene after only 20–30 h of mechanical treatment at a speed of 890 rpm.
Keywords
About the authors
V. V. Aksenova
Udmurt State Agricultural University
Email: aksenova@udman.ru
Izhevsk, Russia
O. M. Kanunnikova
Udmurt State Agricultural University
Email: aksenova@udman.ru
Izhevsk, Russia
V. I. Ladyanov
Udmurt Federal Research Center, Ural Branch, Russian Academy of Sciences
Author for correspondence.
Email: aksenova@udman.ru
Izhevsk, Russia
References
- Механокомпозиты – прекурсоры для создания материалов с новыми свойствами. Отв. ред. О.И. Ломовский, Новосибирск: СО РАН, 2010, 424 с.
- Baláž P. Mechanochemistry in nanoscience and minerals engineering. Springer: Berlin, Heidelberg, 2008. https://doi.org/10.1007/978-3-540-74855-7
- Michalchuk A.A., Boldyreva E.V., Belenguer A.M., et al. // Front. Chem. 2021. V. 9. 685789. https://doi.org/10.3389/fchem.2021.685789
- El-Eskandarany M.S. Mechanical Alloying: Energy, Surface Protective Coating and Medical Applications. 3rd ed.; Elsevier: Oxford, UK, 2020. https://www.elsevier.com/books/mechanical-alloying/el-eskandarany/978-0-12-818180-5.
- Baláž M. Environmental Mechanochemistry. Recycling Waste into Materials Using High-Energy Ball Milling. Springer Cham, Switzerland, 2021. https://doi.org/10.1007/978-3-030-75224-8
- Eze A.A., Sadiku E.R., Kupolati W.K. et al. // Sci. Rep. 2021. V. 11. 22422. https://doi.org/10.1038/s41598-021-01916-w
- Musalat M., Schoenitz M., Dreizin E.L. // Adv. Powder Technol. 2019. V. 30. P. 1319. https://doi.org/10.1016/j.apt.2019.04.007
- Arias A., Chemical reactions of metal powders with organic and inorganic liquids during ball milling, Washington, NASA TN, D-8015, 1975.
- Yelsukov E.P., Barinov V.A., Ovetchkin L.V. // J. Mater. Sci. Lett. 1992. V. 11 (10). P. 662. https://doi.org/10.1007/BF00728898
- Ullah M., Eaqub A.Md., Hamid S.B.A. // Rev. Adv. Mater. Sci. 2014. V. 37 (1). P. 1. https://ipme.ru/e-journals/RAMS/no_13714/01_13714_ali.pdf.
- Лубнин А.Н., Дорофеев Г.А., Никонова Р.М. и др. // Физика твердого тела. 2017. М. 59. № 11. С. 2206. https://doi.org/10.1134/S106378341711019110.1134/S1063783417110191).
- Dofofeev G.A., Lad’yanov V.I., Lubnin A.N. et al. // Int. J. Hydrogen Energy. 2014. V. 39 (18). P. 9690. https://doi.org/10.1016/j.ijhydene.2014.04.101
- Аксенова В.В., Канунникова О.М., Бурнышев И.Н. и др. // Журн. физ. химии. 2022. Т. 96. № 3. С. 350. https://doi.org/10.1134/S00360244220300310.1134/S003602442203003).https://doi.org/10.31857/S0044453722030037
- Lomaeva S.F. // Phys. Met. Metallogr. 2007. V. 104. P. 388.
- Беллами Л. Новые данные по ИК-спектрам сложных молекул. М.: Мир, 1971. 319 с.
- Наканиси К. Инфракрасные спектры и строение органических соединений. Практическое руководство. М.: Мир, 1965. 216 с. (Nakanishi K. “Infrared Absorption spectroscopy – Practical”, San Francisco: Holden-Day, Inc., 1962. 233 p.)
- Pretsch E., Bühlmann Ph., Badertscher M. Structure Determination of Organic Compounds. Tables of Spectral Data. 4th ed. Berlin Heidelberg: Springer-Verlag, 2009. 433 p.
- Lubnin A.N., Dorofeev G.A., Lad’yanov V.I. et al. Metastable Interstitial Phases by Ball Milling of the Titanium in Liquid Hydrocarbons. “Multifunctional Materials and Modeling”, Apple Academic Press, Oakville, Canada, 2015. Part II: Surface and interface investigations. Chapter 20. P. 189. https://doi.org/10.1201/b18552 .
- Kanunnikova O.M., Aksenova V.V., Dorofeev G.A. // Mater. Sci. Forum.2019. V. 946. P. 351. https://doi.org/10.4028/www.scientific.net/MSF.946.351
- Kanunnikova O.M., Aksenova V.V., Dorofeev G.A. // Ibid. 2020. V. 989. P. 532. https://doi.org/10.4028/www.scientific.net/MSF.989.532
- Kwon Y.-S., Gerasimov K.B., Yoon S.-K. // J. Alloys Comp. 2002. V. 346. P 276. http://www.crystallography.ru/MA/articles/BallTemperature2002_Gerasimov.pdf.
- Takacs L., McHenry J.S. // J. Mater. Sci. 2006. V. 41. P. 5246. https://doi.org/10.1007/s10853-006-0312-4
- Фундаментальные основы механической активации, механосинтеза и механохимических технологий. Отв. ред. Е.Г. Аввакумов, Новосибирск: СО РАН, 2009, 343 с.
- Boldyrev V.V. // Powder Technology V. 122. 2002. P. 247. https://doi.org/10.1016/S0032-5910(01)00421-1
- Larkin P.J. Infrared and Raman Spectroscopy: principles and spectral interpretation. Elsevier, 2011. 230 p.
Supplementary files








