Effect of Temperature on the Thermodynamics of the Stepwise Dissociation of Alanyl-Phenylalanine in Aqueous Solutions
- Authors: Lytkin A.I.1, Chernikov V.V.1, Krutova O.N.1, Krutov P.D.1, Romanov R.A.1
-
Affiliations:
- Ivanovo State University of Chemical Technology
- Issue: Vol 97, No 3 (2023)
- Pages: 392-396
- Section: PHYSICAL CHEMISTRY OF SOLUTIONS
- Submitted: 15.10.2023
- Published: 01.03.2023
- URL: https://medbiosci.ru/0044-4537/article/view/136578
- DOI: https://doi.org/10.31857/S0044453723030184
- EDN: https://elibrary.ru/DXUYJB
- ID: 136578
Cite item
Full Text
Abstract
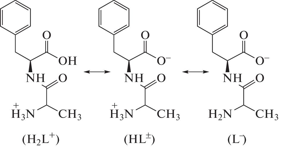
The heats of interaction between alanyl-phenylalanine and solutions of nitric acid and potassium hydroxide at 288.15 and 308.15 K and solution ionic strengths of 0.5, 0.75, and 1.0 are determined via calorimetry with KNO3. Standard thermodynamic characteristics (ΔrH°, ΔrG°, ΔrS°, ΔC∘pΔ∘) of the reactions of acid–base interaction in aqueous solutions of alanyl-phenylalanine. The effect temperature has on the heats of dissociation of alanyl-phenylalanine is considered along with the relationship between the thermodynamic characteristics of the dissociation of the dipeptide and the structure of this compound.
Keywords
About the authors
A. I. Lytkin
Ivanovo State University of Chemical Technology
Email: kdvkonkpd@yandex.ru
153000, Ivanovo, Russia
V. V. Chernikov
Ivanovo State University of Chemical Technology
Email: kdvkonkpd@yandex.ru
153000, Ivanovo, Russia
O. N. Krutova
Ivanovo State University of Chemical Technology
Email: kdvkonkpd@yandex.ru
153000, Ivanovo, Russia
P. D. Krutov
Ivanovo State University of Chemical Technology
Email: kdvkonkpd@yandex.ru
153000, Ivanovo, Russia
R. A. Romanov
Ivanovo State University of Chemical Technology
Author for correspondence.
Email: kdvkonkpd@yandex.ru
153000, Ivanovo, Russia
References
- Berkowitz S.A., Engen J.R., Mazzeo J.R., Jones G.B.// Nature reviews Drug discovery. 2012. V. 11. P. 527.
- McGregor D.P. // Current Opinion in Pharmacology. 2008. V. 8. P. 616.
- Zompra A., Galanis A., Werbitzky O., Albericio P. // Future Medicinal Chemistry. 2009. V. 1 (2). P. 361.
- Bak A., Leung D., Barrett S.E. et al. // J. of the American Association of Pharmaceutical Scientists. 2015. V. 17 (1). P. 144.
- Di L. //Ibid. 2015. V. 17 (1). P. 134.
- Fosgerau K., Hoffmann T. // Drug Discovery Today. 2015. V. 20 (1). P. 122.
- Slingluff C.L. // Cancer Journal. 2011. V. 17 (5). P. 343.
- Craik D.J., Fairlie D.P., Liras S., Price D. // Chemical Biology and Drug Design. 2013. V. 81. P. 136.
- Кочергина Л.А., Емельянов А.В., Крутова О.Н. // Изв. вузов. Химия и хим. технология. 2011. Т. 54. № 2. С. 95.
- Лыткин А.И., Крутова О.Н., Черников В.В. и др. // Журн. физ. химии. 2021. V. 95. №. 11. Р. 1674.
- Кочергина Л.А., Баделин В.Г., Крутова О.Н. // Там же. 2012 Т. 86. № 9. С. 1555.
- Bonomo R., Cali R., Cucinotta V. // Inog. Chem. 1986. V. 25. P. 1641.
- Rodante F. et al. // Thermochimica Acta. 1997. V. 296. P. 15.
- Meshkov A.N., Gamov G.A. // Talanta. 2019. V. 198. P. 200.
- Lytkin A.I., Barannikov V.P., Badelin V.G., Krutova O.N. // J. of Thermal Analysis and Calorimetry .2020. V. 139. P. 3683.
- Лыткин А.И., Черников В.В., Крутова О.Н., Смирнова Д.К. // Журн. физ. химии. 2019. Т. 93. № 9. С. 1338.
- Лыткин А.И., Черников В.В., Крутова О.Н. и др. // Там же. 2022. Т. 96. № 8. С. 1155.
- Васильев В.П., Шеханова Л.Д. // Журн. неорган. химии. 1974. Т. 19. № 11. С. 2969.
- Васильев В.П. Термодинамические свойства растворов электролитов, М.: Высш. школа, 1982. С. 200.
- Кочергина Л.А., Васильев В.П., Крутов Д.В., Крутова О.Н. // Журн. физ. химии. 2007. Т. 81. С. 1.
- Кочергина Л.А., Емельянов А.В., Крутова О.Н. // Журн. неорган. химии. 2008. Т. 53. № 9. С. 1628.
- Кочергина Л.А., Васильев В.П., Крутова О.Н. // Журн. физ. химии. 2008. Т. 82. С. 426.
- Кочергина Л.А., Лыткин А.И., Крутова О.Н., Дамрина К.В. // Журн. неорган. химии. 2015. Т. 60. № 5. С. 719.




