Metastable States of a Fluid Inside a Binodal in the Context of Cluster Variation
- Authors: Votyakov E.V.1, Tovbin Y.K.2
-
Affiliations:
- The Cyprus Institute, Energy Environment and Water Research Center
- Kurnakov Institute of General and Inorganic Chemistry, Russian Academy of Sciences
- Issue: Vol 97, No 5 (2023)
- Pages: 693-701
- Section: STRUCTURE OF MATTER AND QUANTUM CHEMISTRY
- Submitted: 15.10.2023
- Published: 01.05.2023
- URL: https://medbiosci.ru/0044-4537/article/view/136594
- DOI: https://doi.org/10.31857/S004445372305028X
- EDN: https://elibrary.ru/HMPVBV
- ID: 136594
Cite item
Full Text
Abstract
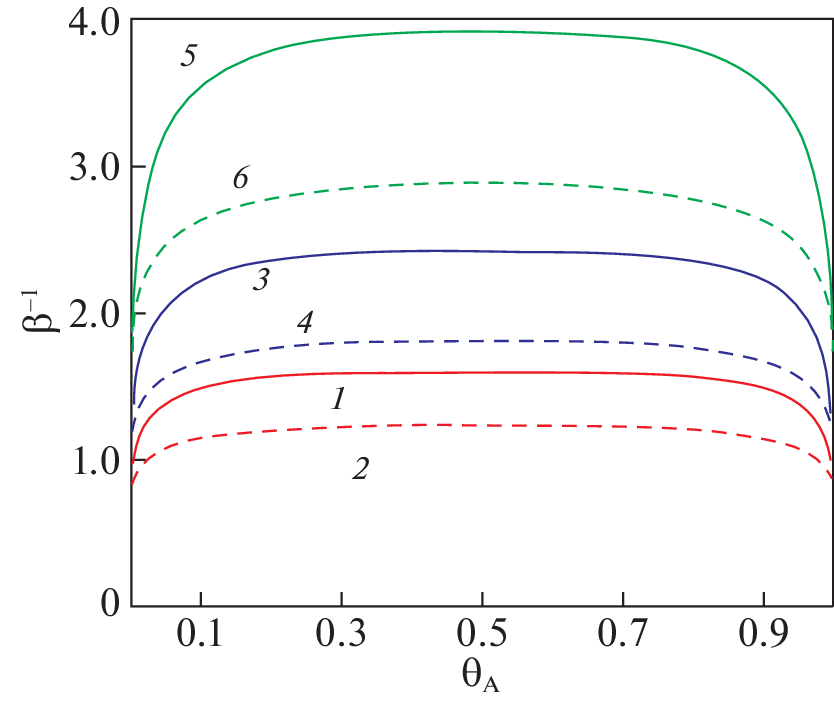
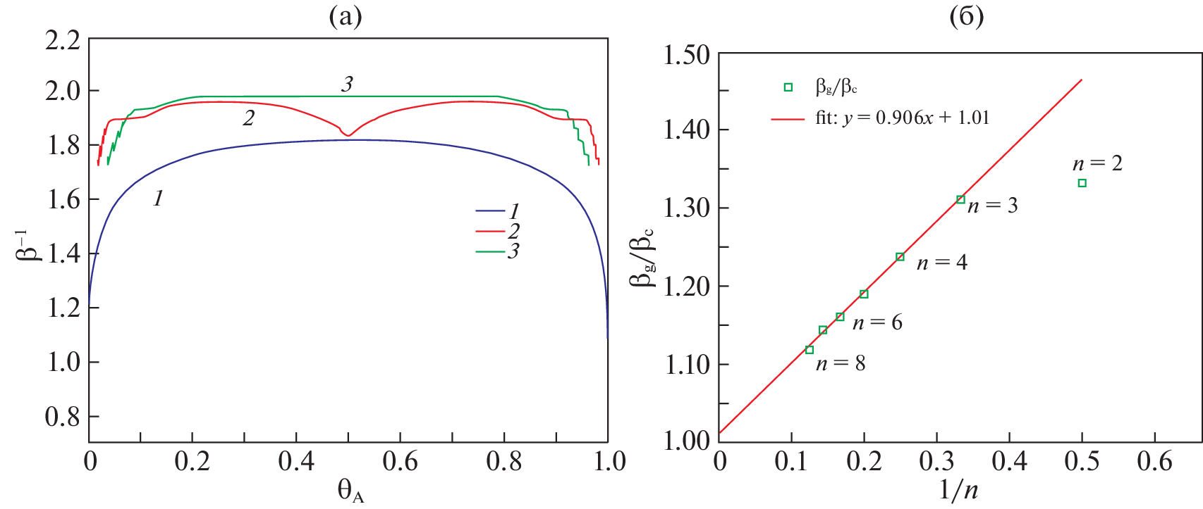
The behavior of the isotherm and molecular distributions inside the binodal is analyzed to solving an Ising model obtained on the basis of cluster variation for planar lattices with coordination numbers 3, 4, 6. It is found that the microscopic approach gives a probabilistic interpretation of the Maxwell macroscopic rule and explains how the isotherm a secant appears between the regions of coexistence of two phases. A region of no solutions (the region of degeneracy) is found inside the binodal, and the critical temperatures of degeneracy at which the nontrivial solution to the equations disappears are calculated for this region. The region of degeneracy inside the binodal expands and approaches the binodal curve as the temperature falls, so the degeneracy curve and the binodal become indistinguishable. Numerical iterative calculations are used to study the dependence of the region of no solution inside the binodal as a cluster grows. The critical temperature of degeneracy asymptotically approaches that of the binodal as the cluster grows. Existing ways of interpreting metastable states are discussed, along with as the correspondence between the new results and previously known mean-field (ignoring correlations) and quasi-chemical (considering only direct correlations) approximations, and an exact result of the Yang–Lee condensation theory.
About the authors
E. V. Votyakov
The Cyprus Institute, Energy Environment and Water Research Center
Email: karaul@gmail.com
2121, Nicosia, Cyprus
Yu. K. Tovbin
Kurnakov Institute of General and Inorganic Chemistry, Russian Academy of Sciences
Author for correspondence.
Email: karaul@gmail.com
119991, Moscow, Russia
References
- Фаулер Р., Гуггенгейм Э. Статистическая термодинамика, М.: Изд-во. иностр. лит., 1949.
- Гиршфельдер Дж., Кертис Ч., Берд Р. Молекулярная теория газов и жидкостей. М.: Изд-во иностр. лит., 1961. 929 с.
- Мелвин-Хьюз Е.А. Физическая химия. М.: изд-во иностр. лит., 1962. Кн. 2. 1148 с.
- Киреев В.А. Курс физической химии. М.: Химия, 1975. 776 с.
- Кривоглаз А.Н., Смирнов А.А. Теория упорядочивающихся сплавов. М.: ГИФМЛ, 1958. 388 с.
- Стенли Г. Фазовые переходы и критические явления. М.: Мир. 1973. 400 с.
- Хачарутян А.Г. Теория фазовых превращений и структуры твердых растворов. М.: Наука, 1974. 265 с.
- Паташинский А.З., Покровский В.П. Флуктуационная теория фазовых переходов. М.: Наука, 1975. 256 с.
- Ма Ш. Современная теория критических явлений. М.: Мир, 1980.
- Onsager L. // Phys. Rev. 1944. V. 65. P. 117.
- Domb C. // Proc. Roy. Soc., 1949. V. A196. P. 36.
- Domb C. // Adv. Phys., 1960. V. 9. P. 149.
- Хилл Т. Статистическая механика. М.: Изд-во иностр. лит., 1960. 485 с.
- Хуанг К. Статистическая механика. М.: Мир, 1966. 520 с.
- Вотяков Е.В., Товбин Ю.К. // ЖФХ. 2022. Т. 96. № 3. С. 339.
- Kikuchi R. // Phys. Rev. 1951. V. 81. P. 988.
- Kikuchi R. // J. Chem. Phys. 1951. V. 19. P. 1230.
- Kikuchi R., Brush S.G. // J. Chem. Phys. 1967. V. 47. P. 195.
- Barker J.A. // Proc. Royal Soc. London. A. 1953. V. 216. P. 45.
- Hijmans J., de Bour J. // Physica. 1955. V. 21. P. 471.
- Sanchez J.M., de Fontaine D. // Phys. Rev. B. 1978. V. 17. 2926.
- Sanchez F., Ducastelle F., Gratias D. // Physica A. 1984. V. 128. P. 334.
- Theory and Applications of the Cluster Variation and Path Probability Methods / Eds. J.L. Moran-Lopez and J.M. Sanchez / New York and London: Plenum Press, 1996. 420 p.
- Вотяков Е.В., Товбин Ю.К. // Журн. физ. химии. 2023. Т. 97. В печати.
- Yang C.N., Lee T.D. // Phys. Rev. 1952. V. 87. P. 404.
- Lee T.D., Yang C.N. // Ibid. 1952. V. 87. P. 410.
- Бойко В.Г., Могель Х.-Й., Сысоев В.М., Чалый А.В. // УФН 1991. Т. 161. № 2. С. 77.
- Rosengren A., Lapinskas // Phys. Rev. 1993. V. 47. P. 2643.
- Vinograd V.L., Putnis A. // Physics and Chemistry of Minerals. 1998. V. 26. P. 135.
- Товбин Ю.К. Теория физико-химических процессов на границе газ–твердое тело, М.: Наука, 1990. 288 с. (Tovbin Yu.K., Theory of physical chemistry processes at a gas-solid surface processes, CRC Press, Boca Raton, Fl, 1991).
Supplementary files







