Surface Tension of the Planar Interface of a Vapor–Liquid System on a Two-Dimensional Square Lattice
- Authors: Votyakov E.V.1, Tovbin Y.K.2
-
Affiliations:
- Cyprus Institute, Energy Environment and Water Research Center
- Kurnakov Institute of General and Inorganic Chemistry, Russian Academy of Sciences
- Issue: Vol 97, No 7 (2023)
- Pages: 1064-1072
- Section: PHYSICAL CHEMISTRY OF DISPERSED SYSTEMS AND SURFACE PHENOMENA
- Submitted: 15.10.2023
- Published: 01.07.2023
- URL: https://medbiosci.ru/0044-4537/article/view/136643
- DOI: https://doi.org/10.31857/S0044453723070312
- EDN: https://elibrary.ru/SPIUUQ
- ID: 136643
Cite item
Full Text
Abstract
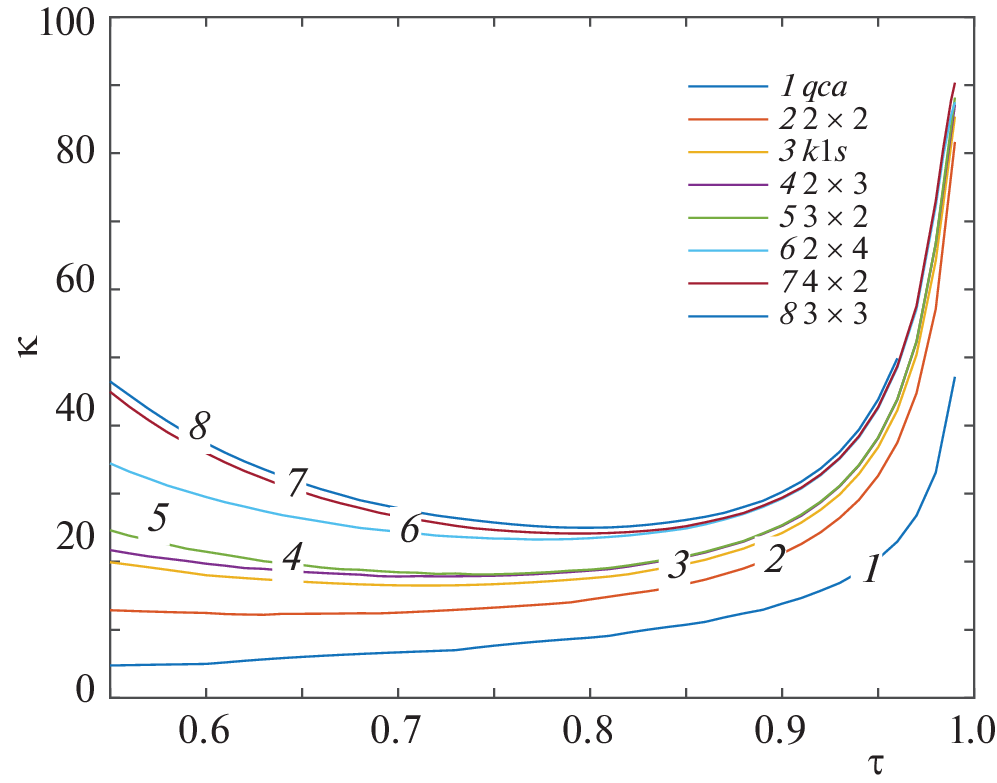
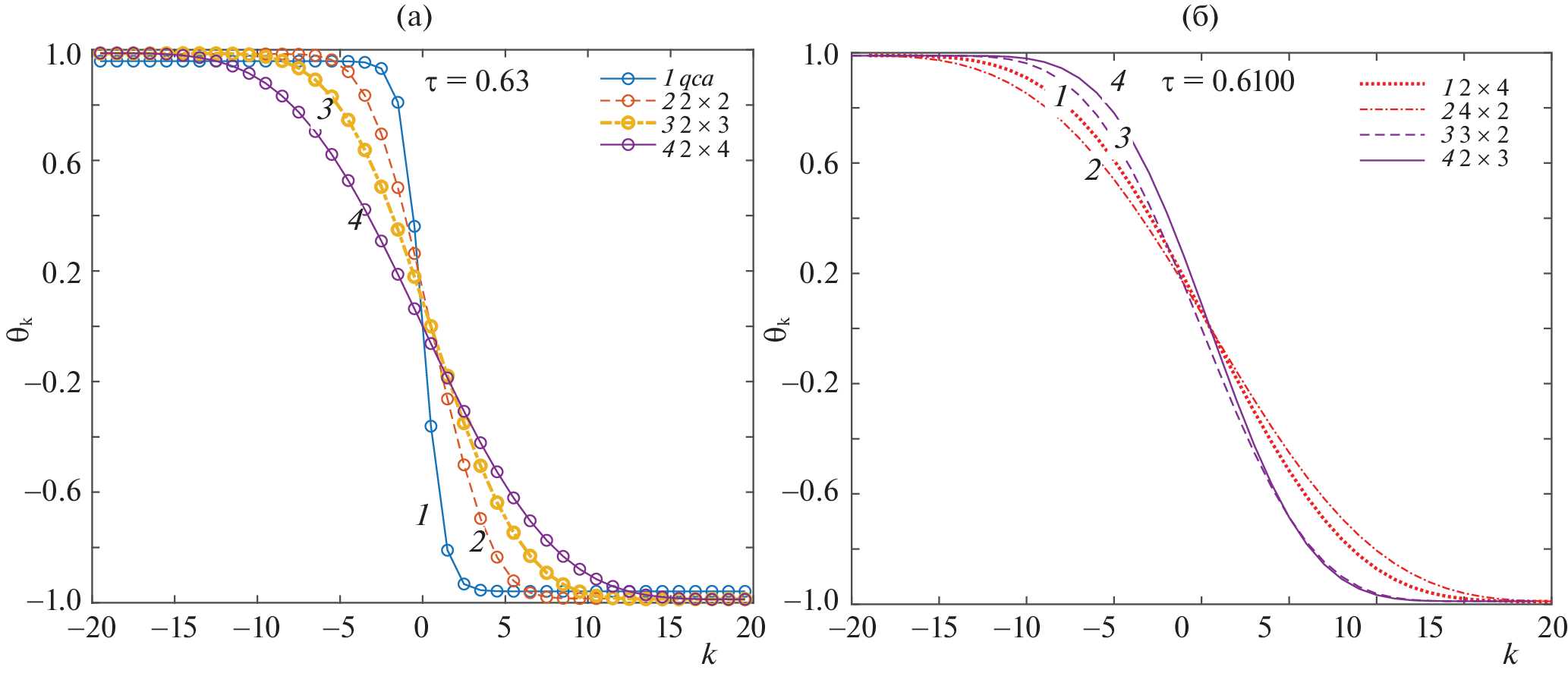
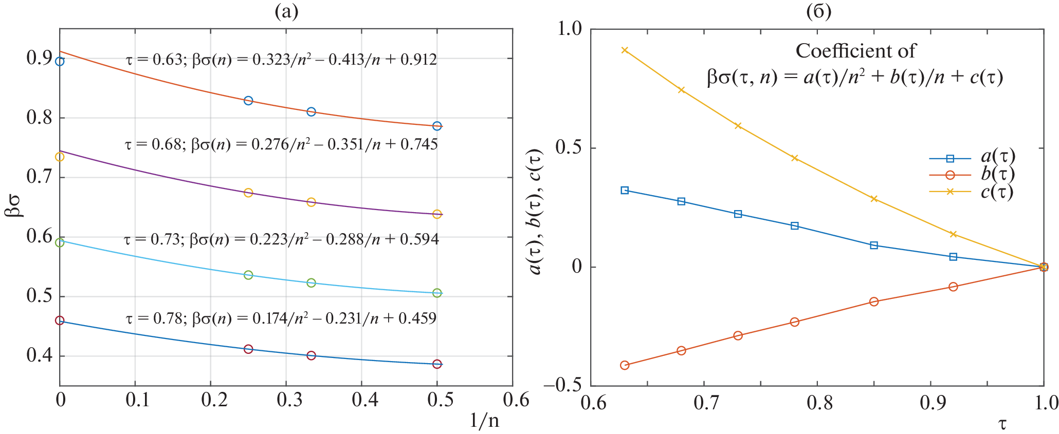
In an earlier work, the authors described a theoretical approach to deriving equations for equilibrium particle distributions by means of heterogeneous cluster variation (CV) that converges to the exact solution as the basis cluster grows. In this work, they present calculations of the surface tension (ST) of the planar interface of a vapor-liquid system on a two-dimensional square lattice by means of heterogeneous CV. The transitional region of the interface is a sequence of monomolecular layers with a variable fluid density fluidа. Calculations are made for six types of clusters with different sizes inside the phases (2 × n, n = 1–4, 3 × 3, and the k1s cluster with the nearest neighbors of any central site), and for eight clusters inside the transitional region (2 × 1, 2 × 2, 2 × 3, 3 × 2, 2 × 4, 4 × 2, 3 × 3, k1s) that differ by each cluster’s orientation relative to the normal to the surface. As the clusters grow, so does the accuracy of describing indirect correlations of laterally interacting particles. The temperature dependence of the ST is calculated. A monotonically growing ST is obtained as the temperature falls, starting from zero at the critical temperature. The calculation results converge to the exact Onsager solution as the clusters grow. Differences between thermodynamic requirements and ST calculations performed with the Ising model are discussed.
About the authors
E. V. Votyakov
Cyprus Institute, Energy Environment and Water Research Center
Email: karaul@gmail.com
2121, Nicosia, Cyprus
Yu. K. Tovbin
Kurnakov Institute of General and Inorganic Chemistry, Russian Academy of Sciences
Author for correspondence.
Email: karaul@gmail.com
119991, Moscow, Russia
References
- Гиббс Дж. В. Термодинамика. Статистическая механика. М.: Наука, 1982. 584 с.
- Оно С., Кондо С. Молекулярная теория поверхностного натяжения. М.: Изд-во иностр. лит., 1963. Ono S., and Kondo S., 1960, Molecular Theory of Surface Tension in Liquids, Handbuch der Physik, Vol X (Springer).
- Русанов А.И. Фазовые равновесия и поверхностные явления. Л.: Химия, 1967. 388 с.
- Адамсон А. Физическая химия поверхностей. М.: Мир, 1979. 568 с.
- Роулинсон Дж., Уидом Б. Молекулярная теория капиллярности. М.: Мир, 1986.
- Товбин Ю.К. Малые системы и основы термодинамики. М.: Физматлит, 2018. 404 с.
- Товбин Ю.К. // Журн. физ. химии. 2018. Т. 92. № 12. С. 1902.
- Семенченко В.К. Поверхностные явления в металлах и сплавах. М.: 1957.
- Щукин Е.Д., Перцов А.В., Амелина Е.А. Коллоидная химия. М.: Высш. школа, 1992. 416 с.
- Ursell H.D. // Proc. Cambr. Phil. Soc. 1927. V. 23. P. 685.
- Mayer J. E. // J. Chem. Phys. 1937. V. 5. P. 67.
- Майер Дж., Гепперт-Майер М. Статистическая механика. М.: Мир, 1980. (Mayer J.E., Mayer M.G., Statistical Mechanics, New York, 1940.)
- Гиршфельдер Дж., Кертис Ч., Берд Р. Молекулярная теория газов и жидкостей. М.: Изд-во иностр. лит., 1961. 929 с. 3. J.O. Hirschfelder, C.F. Curtiss and R. Bird, Molecular Theory of Gases and Liquids. New York: John Wiley and Sons, Jnс, 1954.
- Боголюбов Н.Н. Проблемы динамической теории в статистической физике. М.: Гостехиздат, 1946. 119 с.
- Крокстон К. Физика жидкого состояния. М.: Мир, 1979. (Croxton C.A. Liquid State Physics – A Statistical Mechanical Introduction. Cambridge Univer. Press. Cambridge. 1974.)
- Мартынов Г.А. Классическая статистическая физика. Теория жидкостей. Долгопрудный: Интеллект, 2011. 326 с.
- Onsager L. // Phys Rev. 1944. V. 65. P. 117.
- Ising E. // Zeits. f. Physik. 1925. B. 31. S. 253.
- Бэкстер Р. Точно решаемые модели в статистической механике. М.: Мир, 1985. 486 с.
- Ono S. // Busseiron Kenkyu, 1950. № 23. P. 10.
- Lane J.E. // Austral. J. Chem. 1968. V. 21. P. 827.
- Bellemans A.// Physica. 1962. V. 28. P 493. 617.
- Fisher M.E., Ferdinand A.E. // Phys. Rev. Letters. 1967. V. 19. P. 69.
- Минлос Р.А., Синай Я.Г. // Математический сборник СССР, 1967. Т. 2. № 3. С. 335.
- Минлос Р.А., Синай Я.Г. // Труды Москов. математ. общества. 1968. Т. 19. С. 121.
- Abraham D., Gallavotti G., Martin-Lof A. // Lettere Nuovo Cimento. 1971. V. 2. P. 143.
- Gavallavotti G., Martin-Lof A. // Commun. Math. Phys. 1972. V. 25. P. 87.
- Стенли Г. Фазовые переходы и критические явления. М.: Мир, 1977. С. 420 с.
- Kikuchi R. // Phys. Rev. 1951. V. 81. P. 988.
- Asta M. // Theory and Applications of the Cluster Variation and Path Probability Methods / Eds. J.L. Moran-Lopez and J.M. Sanchez / New York and London: Plenum Press, 1996. 237 p.
- Cenedese P. // Theory and Applications of the Cluster Variation and Path Probability Methods / Eds. J.L. Moran-Lopez and J.M. Sanchez / New York and London: Plenum Press, 1996. 255 p.
- Вотяков Е.В., Товбин Ю.К. // Журн. физ. химии. 2022. Т. 96. № 3. С. 339.
- Вотяков Е.В., Товбин Ю.К. // Там же. Т. 97. В печати
- Хилл Т. Статистическая механика. М.: Изд-во иностр. лит., 1960. 485 с. (Hill T.L. Statistical Mechanics. Principles and Selected Applications. N.Y.: McGraw–Hill Book Comp. Inc., 1956.)
- Хуанг К. Статистическая механика. М.: Мир, 1966. 520 с. (Huang K. Statistical Mechanics. New York-London: Wiley, 1966.)
- Смирнова Н.А. Молекулярные теории растворов. Л.: Химия, 1982, 334 с.
- Товбин Ю.К. // Журн. физ. химии. 2016. Т. 90. № 7. С. 1059.
- Товбин Ю.К., Рабинович А.Б. // Изв. Академии наук. Серия химическая, 2010. № 4. С. 663.
- Вотяков Е.В., Товбин Ю.К. // Журн. физ. химии. 2023. Т. 97. В печати
- Ландау Л.Д., Лифшиц Е.М. Теоретическая физика. Электродинамика сплошных сред. Т. 8. М.: Наука, 1982. 620 с.
- Зайцева Е.С., Товбин Ю.К. // Журн. физ. химии. 2022. Т. 96. № 10. С. 1411.
- Товбин Ю.К. // Там же. 1992. Т. 66. С. 1395.
- Пригожин И.Р. Молекулярная теория растворов. М.: Металлургия, 1990. 359 с.
- Френкель Я.И. Введение в теорию металлов. М.: ГИТТЛ, Моска – Ленинград, 1950. 384 с.
- Товбин Ю.К. Молекулярная теория адсорбции в пористых телах, М.: Наука, 2012. 624с. (Tovbin Yu.K. Theory of physical chemistry processes at a gas–solid surface processes. Boca Raton, Fl.: CRC Press, 2017.)
- Yang C.N., Lee T.D. // Phys. Rev. 1952. V. 87. P. 404.
- Lee T.D., Yang C.N. // Phys. Rev. 1952. V. 87. P. 410.
- Товбин Ю.К. // Журн. физ. химии. 2022. Т. 96. № 7. С. 923.
Supplementary files








