Electrocatalytic Reduction of CO2 when Using N-Substituted Salts of 2,4,6-Triphenylpyridine
- Authors: Knyazev A.V.1, Dolganov A.V.2, Klimaeva L.A.2, Kostryukov S.G.2, Kozlov A.S.2, Yudina A.D.2, Tarasova O.V.2
-
Affiliations:
- Lobachevsky State University
- Ogarev Mordovian State University
- Issue: Vol 97, No 8 (2023)
- Pages: 1097-1105
- Section: CHEMICAL KINETICS AND CATALYSIS
- Submitted: 15.10.2023
- Published: 01.08.2023
- URL: https://medbiosci.ru/0044-4537/article/view/136651
- DOI: https://doi.org/10.31857/S0044453723080058
- EDN: https://elibrary.ru/QTUEON
- ID: 136651
Cite item
Full Text
Abstract
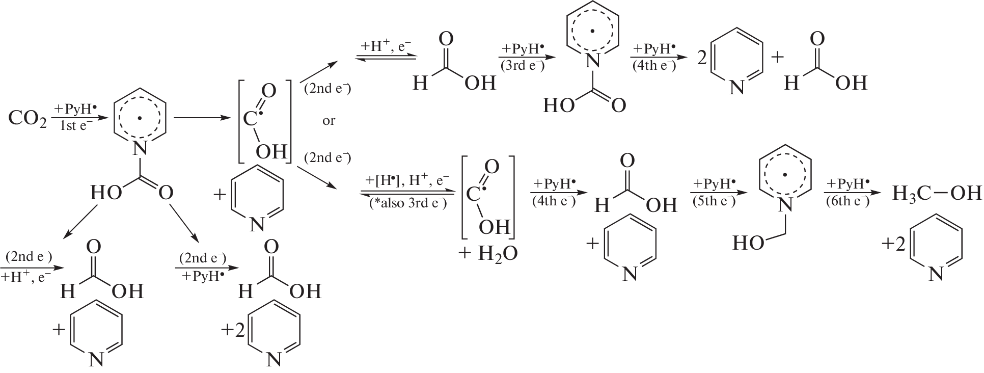
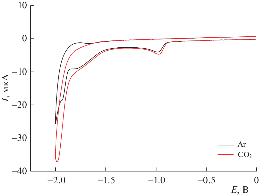
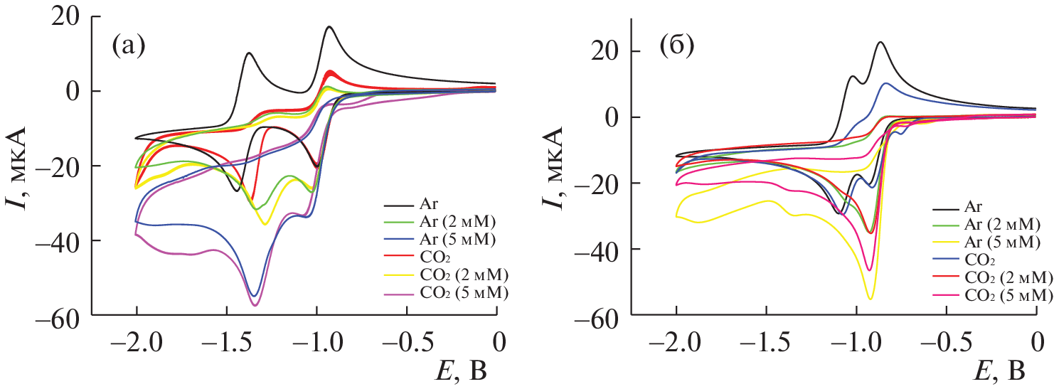
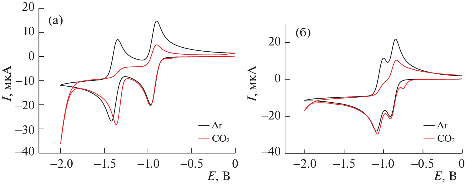
A study is performed of the electrocatalytic activity of substituted pyridine salts (N-hydro-, N‑methyl-, and N-phenyl-2,4,6-triphenylpyridinium perchlorates) in the electroreduction of carbon dioxide to carbon monoxide. The effect the natures of the substituent and the H+ source have on the efficiency of the process is determined. The main reasons for the occurrence of the electrocatalytic process are identified, and the values of TOF (catalyst speed) and TON (number of revolutions of the catalyst) are calculated. It is shown that the values of TOF and TON fall as the pK of the acid rises.
Keywords
About the authors
A. V. Knyazev
Lobachevsky State University
Email: dolganov_sasha@mail.ru
Россия, Н.-Новгород
A. V. Dolganov
Ogarev Mordovian State University
Email: dolganov_sasha@mail.ru
430005, Saransk, Russia
L. A. Klimaeva
Ogarev Mordovian State University
Email: dolganov_sasha@mail.ru
430005, Saransk, Russia
S. G. Kostryukov
Ogarev Mordovian State University
Email: dolganov_sasha@mail.ru
430005, Saransk, Russia
A. Sh. Kozlov
Ogarev Mordovian State University
Email: dolganov_sasha@mail.ru
430005, Saransk, Russia
A. D. Yudina
Ogarev Mordovian State University
Email: dolganov_sasha@mail.ru
430005, Saransk, Russia
O. V. Tarasova
Ogarev Mordovian State University
Author for correspondence.
Email: dolganov_sasha@mail.ru
430005, Saransk, Russia
References
- Liu J.-L., Wang X., Li X.-S. et al. // J. Phys. D: Appl. Phys. 2020. V. 53. № 25. P. 253001.https://doi.org/10.1088/1361-6463/ab7c04
- Jenkinson D.S., Adams D.E., Wild A. // Nature. 1991. V. 351. № 6324. P. 304. https://doi.org/10.1038/351304a0.
- Weimer T., Schaber K., Specht M. et al. // Energy Conversion and Management/ 1996. V. 370020 № 6–8. P. 1351.https://doi.org/10.1016/0196-8904(95)00345-2
- Ren S., Joulié D., Salvatore D. // Science. 2019. V. 365. № 6451. P. 367.https://doi.org/10.1126/science.aax4608
- Jin S., Hao Z., Zhang K. // Angewandte Chemie. 2021. V. 133. № 38. P. 20795.https://doi.org/10.1002/ange.202101818
- Nielsen D.U., Hu X.-M. // Nat. Catal. 2018. V. 1. № 4. P. 244.https://doi.org/10.1038/s41929-018-0051-3
- Hori Y., Wakebe H., Tsukamoto T. et al. // Electrochimica Acta. 1994. № 39. № 11–12. P. 1833.https://doi.org/10.1016/0013-4686(94)85172-7
- Gao X., Liang J., Wu L. et al. // Catalysts. 2022. V. 12. № 1. P. 66.https://doi.org/10.3390/catal12010066
- Frontera P., Macario A., Ferraro M. et al. // Catalysts. 2017. V. 7. № 12. P. 59.https://doi.org/10.3390/catal7020059
- Mikhail M., Wang B., Jalain R. et al. // Reac. Kinet. Mech. Cat. 2019. V. 126. № 2. P. 629–643.https://doi.org/10.1007/s11144-018-1508-8
- Zhu D.D., Liu J.L., Qiao S.Z. // Adv. Mater. 2016. V. 28. № 18. P. 3423.https://doi.org/10.1002/adma.201504766
- Alberico E., Nielsen M. // Chem. Commun. 2015. V. 51. № 31. P. 6714.https://doi.org/10.1039/C4CC09471A
- Dong K., Razzaq R., Hu Y. // Top Curr. Chem. (Z). 2017. V. 375. № 2. P. 23.https://doi.org/10.1007/s41061-017-0107-x
- Boutin E., Robert M. // Trends in Chemistry. 2021. V. 3. № 5. P. 359.https://doi.org/10.1016/j.trechm.2021.02.003
- Qiao J., Liu Y., Hong F. // Chem. Soc. Rev. 2014. V. 43. № 2. P. 631.https://doi.org/10.1039/C3CS60323G
- Zheng Y., Vasileff A., Zhou X. et al. // J. Am. Chem. Soc. 2019. V. 141. № 19. P. 7646.https://doi.org/10.1021/jacs.9b02124
- Lim R.J., Xie M., Sk M.A. et al. // Catalysis Today. 2014. V. 233. P. 169.https://doi.org/10.1016/j.cattod.2013.11.037
- Specht M. // International Journal of Hydrogen Energy. 1998. V. 23. № 5. P. 387.https://doi.org/10.1016/S0360-3199(97)00077-3
- Barton Cole E., Lakkaraju P.S., Rampulla D.M. et al. // J. Am. Chem. Soc. 2010. V. 132. № 33. P. 11539.https://doi.org/0.1021/ja1023496
- Dolganov A.V., Tanaseichuk B.S., Pryanichnikova M.K., et al. // J. Phys. Org. Chem. 2019. V. 32. № 5. e3930.https://doi.org/10.1002/poc.3930
- Dolganov A.V., Muryumin E.E., Chernyaeva O.Y. et al. // Materials Chemistry and Physics. 2019. V. 224. P. 148.https://doi.org/10.1016/j.matchemphys.2018.12.006
- Dolganov A.V., Tanaseichuk, B.S., Tsebulaeva Y.V. et al. // Int. J. Electrochem. Sci. 2016. P. 9559.https://doi.org/10.20964/2016.11.24
- Dolganov A.V., Tanaseichuk B.S., Yurova V.Yu. et al. // Intern. J. of Hydrogen Energy 2019. V. 44. № 39. P. 21495.https://doi.org/10.1016/j.ijhydene.2019.06.067
- Dolganov A.V., Tanaseichuk B.S., Moiseeva D.N. et al. // Electrochem. Commun., 2016. V. 68. P. 59. https://doi.org/10.1016/j.elecom.2016.04.015
- Dolganov A.V., Chernyaeva O.Y., Kostryukov S.G. et al. // Intern. J. of Hydrogen Energy 2020. V. 45. № 1. P. 501.https://doi.org/10.1016/j.ijhydene.2019.10.175
- Ganz O.Yu., Klimaeva L.A., Chugunov D.B. et al. // Russ. J. Phys. Chem. 2022. V. 96 № 5. P. 954.https://doi.org/10.1134/S0036024422050120
- Klimaeva L.A., Ganz O.Yu., Chugunov D.B. et al. // Russ. J. Phys. Chem. 2022. V. 96. № 5. P. 958.https://doi.org/10.1134/S0036024422050156
- Urban J., Volke J. // Collect. Czech. Chem. Commun. 1994. V. 59. № 11. P. 2545.https://doi.org/10.1135/cccc19942545
Supplementary files













