Studying the Mechanism of the Electrocatalyic Reaction for Producing Molecular Hydrogen Using the N-Methyl-2,4,6-triphenylpyridinyl Cation According to DFT
- Autores: Dolganov A.V.1, Klimaeva L.A.1, Muryumin E.E.1, Yudina A.D.1, Zagorodnova A.S.1, Tankova A.V.1, Boikova T.V.1, Kovaleva Y.N.1, Knyazev A.V.2
-
Afiliações:
- Ogareva Mordovian State University
- Lobachevsky State University
- Edição: Volume 97, Nº 8 (2023)
- Páginas: 1106-1110
- Seção: CHEMICAL KINETICS AND CATALYSIS
- ##submission.dateSubmitted##: 15.10.2023
- ##submission.datePublished##: 01.08.2023
- URL: https://medbiosci.ru/0044-4537/article/view/136654
- DOI: https://doi.org/10.31857/S004445372308006X
- EDN: https://elibrary.ru/QTUJEX
- ID: 136654
Citar
Texto integral
Resumo
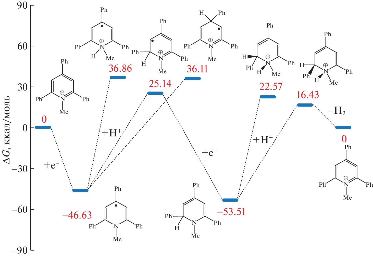
DFT is used to study thermodynamic aspects of the mechanism of the electrocatalytic formation of molecular hydrogen using N-methyl-2,4,6-triphenylpyridinyl cations. A structural and energetic analysis of the corresponding intermediate products is performed. It is shown that electrocatalytic formation proceeds through a stage of forming C2-protonated radical cations and their subsequent reduction.
Sobre autores
A. Dolganov
Ogareva Mordovian State University
Email: dolganov_sasha@mail.ru
430005, Saransk, Russia
L. Klimaeva
Ogareva Mordovian State University
Email: dolganov_sasha@mail.ru
430005, Saransk, Russia
E. Muryumin
Ogareva Mordovian State University
Email: dolganov_sasha@mail.ru
430005, Saransk, Russia
A. Yudina
Ogareva Mordovian State University
Email: dolganov_sasha@mail.ru
430005, Saransk, Russia
A. Zagorodnova
Ogareva Mordovian State University
Email: dolganov_sasha@mail.ru
430005, Saransk, Russia
A. Tankova
Ogareva Mordovian State University
Email: dolganov_sasha@mail.ru
430005, Saransk, Russia
T. Boikova
Ogareva Mordovian State University
Email: dolganov_sasha@mail.ru
430005, Saransk, Russia
Yu. Kovaleva
Ogareva Mordovian State University
Email: dolganov_sasha@mail.ru
430005, Saransk, Russia
A. Knyazev
Lobachevsky State University
Autor responsável pela correspondência
Email: dolganov_sasha@mail.ru
603105, Nizhny Novgorod, Russia
Bibliografia
- Hua W., Sun H.-H., Xu F. et al. // Rare Met. 2020. V. 39. № 4. P. 335. https://doi.org/10.1007/s12598-020-01384-7
- Weng C., Ren J., Yuan Z. // ChemSusChem. 2020. V. 13. № 13. P. 3357. https://doi.org/10.1002/cssc.202000416
- Niu S., Cai J., Wang G. // Nano Res. 2021. V. 14 № 6. P. 1985. https://doi.org/10.1007/s12274-020-3249-z
- Liu Y., Huo J., Guo J. et al. // Front. Chem. 2020. V. 8. P. 426. https://doi.org/10.3389/fchem.2020.00426
- Zhang X., Jia F., Song S. // Chem. Engineering Journal. 2021. V. 405. P. 127013. https://doi.org/10.1016/j.cej.2020.127013
- Xiong B., Chen L., Shi J. // ACS Catal. 2018. V. 8. № 4. P. 3688. https://doi.org/10.1021/acscatal.7b04286
- McKone J.R., Marinescu S.C., Brunschwig B.S. et al. // Chem. Sci. 2014. V. 5. № 3. P. 865. https://doi.org/10.1039/C3SC51711J
- Hosseini S.R., Ghasemi S., Ghasemi. S.A. // Chemistry Select. 2019. V. 4. № 23. P. 6854.https://doi.org/10.1002/slct.201901419
- Belhadj H., Messaoudi Y., Khelladi M.R. et al. // Intern. J. of Hydrogen Energy. 2022. V. 47. № 46. P. 20129.https://doi.org/10.1016/j.ijhydene.2022.04.151
- Gao X., Deng H., Dai Q. et al. // Catalysts. 2021. V. 12. № 1. P. 2.https://doi.org/10.3390/catal12010002
- Das M., Khan Z.B., Biswas A. et al. // Inorg. Chem. 2022. V. 61. № 45. P. 18253.https://doi.org/10.1021/acs.inorgchem.2c03074
- Zhao Y., Zhang J., Zhang W. et al. // Intern. J. of Hydrogen Energy. 2021. V. 46. № 72. P. 35550.https://doi.org/10.1016/j.ijhydene.2021.03.085
- Sun H., Xu X., Song Y. et al. // Adv. Funct. Mater. 2021. V. 31. № 16. P. 2009779.https://doi.org/10.1002/adfm.202009779
- Turner J.A. // Science. 2004. V. 305. № 5686. P. 972.https://doi.org/10.1126/science.1103197
- Lewis N.S., Nocera D.G. // Proc. Natl. Acad. Sci. U.S.A. 2006. V. 103. № 43. P. 15729.https://doi.org/10.1073/pnas.0603395103
- Afgan N.H., Veziroglu A., Carvalho M.G. // Intern. J. of Hydrogen Energy. 2007. V. 32. № 15. P. 3183.https://doi.org/10.1016/j.ijhydene.2007.04.045
- Simmons T.R., Berggren G., Bacchi M. et al. // Coordination Chemistry Reviews. 2014. V. 270. P. 127.https://doi.org/10.1016/j.ccr.2013.12.018
- Frey M. // ChemBioChem. 2002. V. 3. P. 153.https://doi.org/10.1002/1439-7633(20020301)3:2/3<153: :AID-CBIC153>3.0.CO;2-B
- Cracknell J.A., Vincent K.A., Armstrong F.A. // Chem. Rev. 2008. V. 108. № 7. P. 2439.https://doi.org/10.1021/cr0680639
- Gloaguen F., Rauchfuss T.B. // Chem. Soc. Rev. 2009. V. 38. № 1. P. 100.https://doi.org/10.1039/B801796B
- Rakowski D., Dubois D.L. // Acc. Chem. Res. 2009. V. 42. № 12. P. 1974.https://doi.org/10.1021/ar900110c
- Wang M., Chen L., Sun L. // Energy Environ. Sci. 2012. V. 5. № 5. P. 6763.https://doi.org/10.1039/c2ee03309g
- Thoi V.S., Sun Y., Long J.R. et al. // Chem. Soc. Rev. 2013. V. 42. № 6. P. 2388.https://doi.org/10.1039/C2CS35272A
- Dolganov A.V., Tarasova O.V., Moiseeva D.N. et al. // Intern. J. of Hydrogen Energy. 2016. V. 41. № 22. P. 9312.https://doi.org/10.1016/j.ijhydene.2016.03.131
- Artero V., Chavarot-Kerlidou M., Fontecave M. // Angew. Chem. Int. Ed. 2011. V. 50. № 32. P. 7238.https://doi.org/10.1002/anie.201007987
- Ganz O.Yu., Klimaeva L.A., Chugunov D.B. et al. // Russ. J. Phys. Chem. 2022. V. 96. № 5. P. 954.https://doi.org/10.1134/S0036024422050120
- Klimaeva L.A., Ganz O.Yu., Chugunov D.B. et al. // Ibid. 2022. V. 96. № 5. P. 958.https://doi.org/10.1134/S0036024422050156
- Dolganov A.V., Chernyaeva O.Y., Kostryukov S.G. et al. // Intern. J. of Hydrogen Energy 2020. V. 45. № 1. P. 501.https://doi.org/10.1016/j.ijhydene.2019.10.175
- Dolganov A.V., Tanaseichuk B.S., Yurova V.Yu. et al. // Intern. J. of Hydrogen Energy 2019. V. 44. № 39. P. 21495.https://doi.org/10.1016/j.ijhydene.2019.06.067
- Zyubin A.S., Zyubina T.S., Sanginov E.A. et al. // Russ. J. Phys. Chem. 2020. V. 94. № 5. P. 901.https://doi.org/10.1134/S0036024420050325
- Kuz’mina I.A., Vkova M.A., Kuz’mina K.I. et al. // Ibid. 2019. V. 93 № 6. P. 1206.https://doi.org/10.1134/S0036024419060165
- Khatuntseva E.A., Krest’yaninov M.A., Fedorova, I.V. et al. // Russ. J. Phys. Chem. 2015. V. 89. № 12. P. 248. https://doi.org/10.1134/S003602441512016X
- Stephens P.J., Devlin F.J., Chabalowski C.F. et al. // J. Phys. Chem. 1994. V. 98 № 45. P. 11623.https://doi.org/10.1021/j100096a001
- Ditchfield R., Hehre W.J., Pople J.A. // The J. of Chem. Phys. 1971. V. 54. № 2. P. 724.https://doi.org/10.1063/1.1674902
- Schmidt M.W., Baldridge K.K., Boatz J.A. et al. // J. Comput. Chem. 1993. V. 14. № 11. P. 1347.https://doi.org/10.1002/jcc.540141112
- Baik M.-H., Friesner R.A. // J. Phys. Chem. A 2002. V. 106. № 32. P. 7407.https://doi.org/10.1021/jp025853n
Arquivos suplementares





