Реакционная способность тетрафеноксизамещенных фталоцианинов в кислотно-основном взаимодействии с органическими основаниями
- Авторы: Петров О.А.1, Максимова А.А.1, Рассолова А.Е.1, Гамов Г.А.1, Майзлиш В.Е.1
-
Учреждения:
- Ивановский государственный химико-технологический университет
- Выпуск: Том 97, № 9 (2023)
- Страницы: 1290-1296
- Раздел: СТРОЕНИЕ ВЕЩЕСТВА И КВАНТОВАЯ ХИМИЯ
- Статья получена: 15.10.2023
- Статья опубликована: 01.09.2023
- URL: https://medbiosci.ru/0044-4537/article/view/136660
- DOI: https://doi.org/10.31857/S0044453723090157
- EDN: https://elibrary.ru/XOYPSU
- ID: 136660
Цитировать
Полный текст
Аннотация
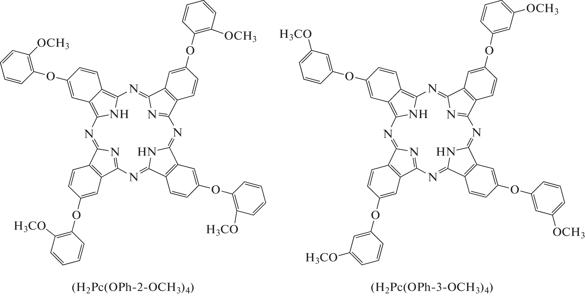
Изучено взаимодействие тетра-4(2-метоксифенокси)фталоцианина и тетра-4(3-метоксифенокси)фталоцианина с пиридином, 2-метилпиридином, морфолином, пиперидином, н-бутиламином, трет-бутиламином, диэтиламином и триэтиламином в бензоле. Реакция кислотно-основного взаимодействия c yчастием н-бутиламина и пиперидина относится к числу необычно медленных процессов и приводит к образованию кинетически устойчивых комплексов с переносом протонов. Предложено строение этих комплексов. Рассмотрено изменение реакционной способности тетрафеноксизамещенных фталоцианинов в зависимости от протоноакцепторной способности и пространственного строения азотсодержащего основания. Пиридин, 2‑метилпиридин и морфолин не образуют комплексов с переносом протонов из-за их слабовыраженной основности. Аналогичная картина наблюдается в случае трет-бутиламина, диэтиламина и триэтиламина, которые имеют более стерически экранированный атом азота, чем в н-бутиламине и вследствие этого не вступают во взаимодействие с тетрафеноксизамещенными фталоцианинами.
Об авторах
О. А. Петров
Ивановский государственный химико-технологический университет
Email: poa@isuct.ru
Россия, Иваново
А. А. Максимова
Ивановский государственный химико-технологический университет
Email: poa@isuct.ru
Россия, Иваново
А. Е. Рассолова
Ивановский государственный химико-технологический университет
Email: poa@isuct.ru
Россия, Иваново
Г. А. Гамов
Ивановский государственный химико-технологический университет
Email: poa@isuct.ru
Россия, Иваново
В. Е. Майзлиш
Ивановский государственный химико-технологический университет
Автор, ответственный за переписку.
Email: poa@isuct.ru
Россия, Иваново
Список литературы
- Шапошников Г.П., Кулинич В.П., Майзлиш В.Е. Модифицированные фталоцианины и их структурные аналоги. М.: Красанд, 2012. С. 480.
- Gounden D.I., Van Zyl W.E., Nombona N. // Coord. Chem. Rev. 2020. V. 420. P. 213359.
- Ibrahim-Ouali M., Dumur F. // Molecules. 2019. V. 24. № 7. P. 1412.
- Петров О.А., Кузмина Е.Л., Майзлиш В.Е., Родионов А.В. // Журн. физ. химии. 2014. Т. 88. № 1. С. 11.
- Петров О.А., Осипова Г.В., Майзлиш В.Е. и др. // Журн. орган. химии. 2021. Т. 57. № 9. С. 1281.
- Han Y., Tang D., Wang G. et al. // European Polymer J. 2019. V. 111. P. 104.
- Ayşen Ãgar, Nazan Ocak Ìskeleli // Acta Crystallographica Section E. 2007. E63. P. 712.
- Frisch M.J., Trucks G.W., Schlegel H.D. et al. Gaussian09. Revision A. 02. Wallingsdorf CT: Gaussian Inc. 2016.
- Becke A.D. // Chem. Rhys. 1993. V. 98. P. 5648.
- Rassolov V.A., Ratner M.A., Pople J.A. et al. // Comp. Chem. 2001. V. 22. P. 976.
- Петров О.А. Журн. физ. химии. 2021. Т. 95. № 4. С. 549.
- Stuzhin P., Khelevina O., Berezin B. // Phthalocyanines: Properties and Applicatios. N. Y.: VCH Publ. Inc., 1996. V. 4. P. 23.
- Stuzhin P. A. // J. Porhyrins Phthalocyanines. 2003. V. 7. № 12. P. 813.
- Kokareva E.A., Petrov O.A., Khelevina O.G. // Macroheterocycles. 2009. V. 2. № 2. P. 157.
- Молекулярные взаимодействия / Под ред. Г. Ратайчака, У. Орвилл-Томаса. М.: Мир, 1984. Т. 2. 599 с.
- Zundell G. Hydrogen Bonds with Large Proton Polarizability and Transfer Processes in Electrochemistry and Biology. / Ed. I. Prigogin, S.F. Rise. N. Y.: Wiley and Sons. Inc. 2000. P. 217.
- Березин Д.Б. Макроциклический эффект и структурная химия порфиринов. М.: Красанд, 2010. С. 424.
- CPC Handbook of Chemistry and Physics / Ed. by William. M. Haynes. N. Y. 2013. P. 2668.
- Anet F.A.L., Yavari I. // J. Amer. Chem. Soc. 1977. V. 99. P. 2794.
- Blackburne I.D., Katritzky A.R., Takeuchi Y. // Accounts Chem. Res. 1975. V. 8. P. 300.
Дополнительные файлы








