Isotope Effect in the Interaction between Hydrogen and Fusion Reactor Materials
- Authors: Shishkova T.A.1,2, Golubeva A.V.1, Rozenkevich M.B.2
-
Affiliations:
- National Research Center Kurchatov Institute
- Mendeleev University of Chemical Technology
- Issue: Vol 97, No 10 (2023)
- Pages: 1371-1392
- Section: CHALLENGES, DEVELOPMENT TRENDS, AND CURRENT PROBLEMS OF PHYSICAL CHEMISTRY
- Submitted: 18.10.2023
- Published: 01.10.2023
- URL: https://medbiosci.ru/0044-4537/article/view/140319
- DOI: https://doi.org/10.31857/S0044453723100205
- EDN: https://elibrary.ru/XZVKSX
- ID: 140319
Cite item
Full Text
Abstract
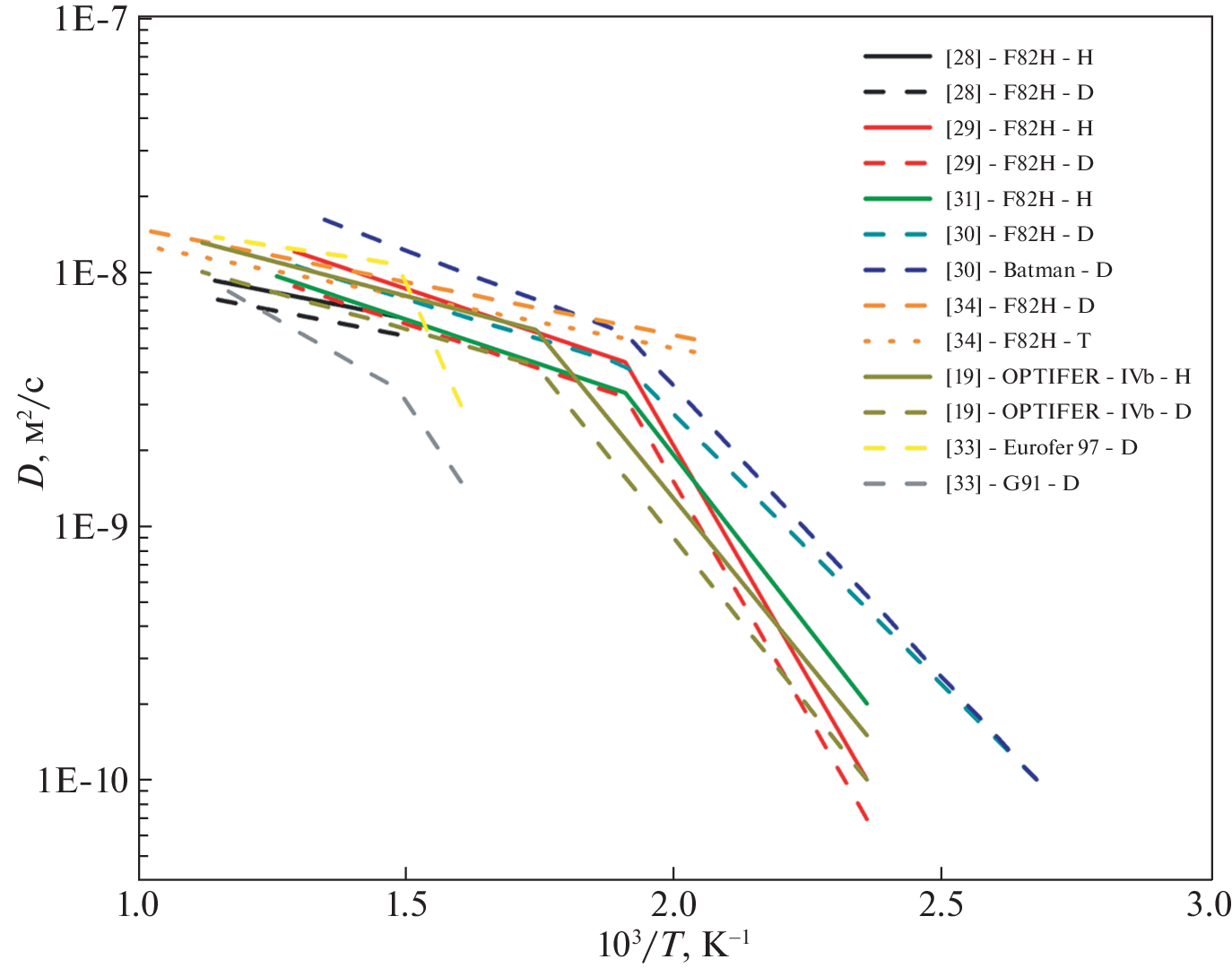
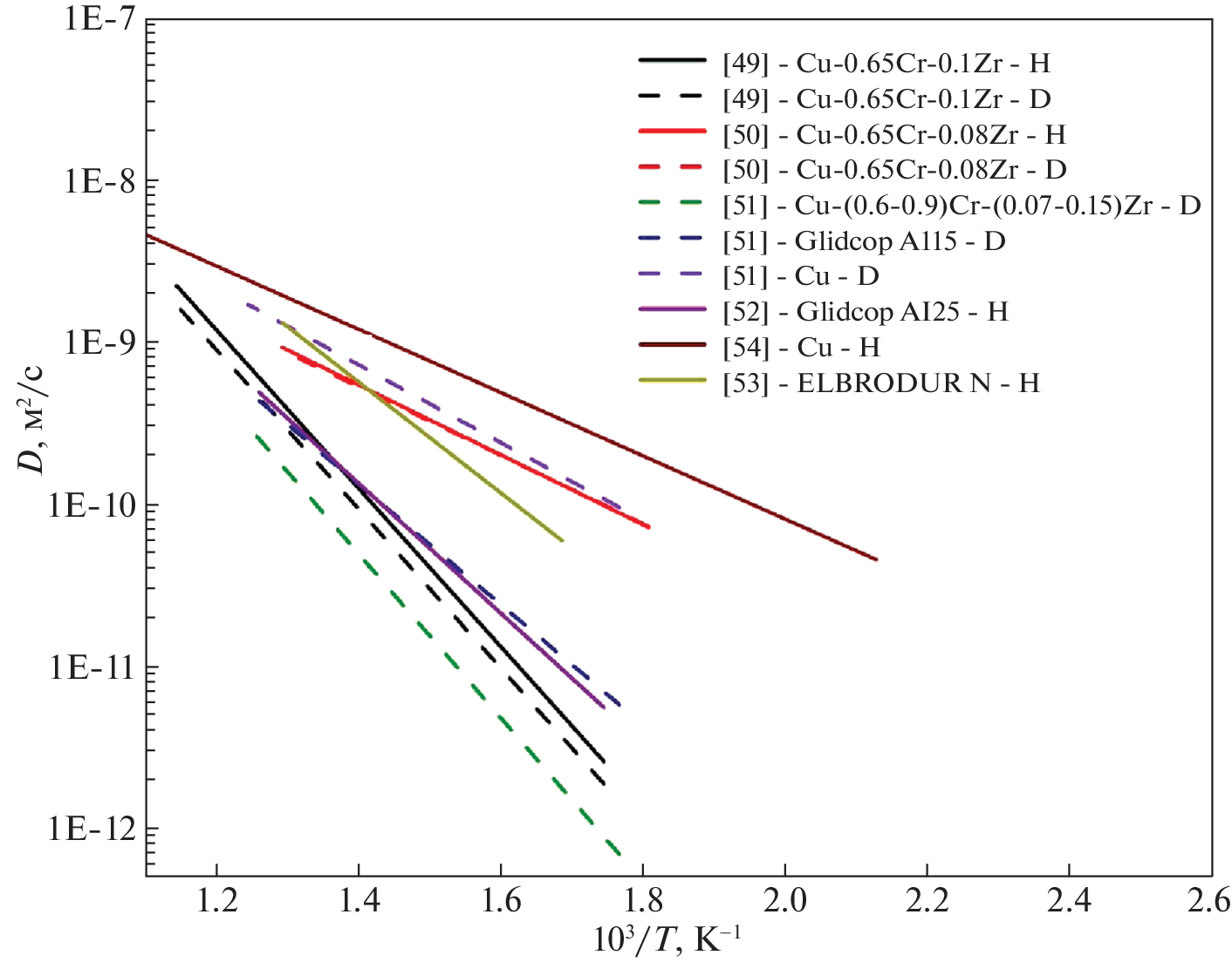
A summary is presented of results from studying the transport characteristics of hydrogen isotopes in a number of fusion reactor materials as ferritic–martensitic steels, austenitic steels, and CuCrZr–bronze. The parameters of tritium transport in the materials are obtained using experimentally measured parameters of hydrogen and deuterium transport within the classical rate theory. The applicability of this approach is discussed. It is shown that a considerable part of the experimental data is inconsistent with assumptions based on the classical theory. Other approaches are required to accurately predict tritium fluxes through fusion reactor materials.
Keywords
About the authors
T. A. Shishkova
National Research Center Kurchatov Institute; Mendeleev University of Chemical Technology
Email: anfimova_t_a@mail.ru
123098, Moscow, Russia; 125047, Moscow, Russia
A. V. Golubeva
National Research Center Kurchatov Institute
Email: anfimova_t_a@mail.ru
123098, Moscow, Russia
M. B. Rozenkevich
Mendeleev University of Chemical Technology
Author for correspondence.
Email: anfimova_t_a@mail.ru
125047, Moscow, Russia
References
- Kuteev B.V., Goncharov P.R. // Fusion Science and Technology. 2020. V. 76. № 7. P. 836. https://doi.org/10.1080/15361055.2020.1817701
- Бекман И.Н. Математика диффузии: учебное пособие. Москва: Издательство ОнтоПринт, 2016. 400 с.
- Taylor Ch.N. // Journal of Nuclear Materials. 2022. V. 558. P. 153396. https://doi.org/10.1016/j.jnucmat.2021.153396
- Черданцев Ю.П., Чернов И.П., Тюрин Ю.И. Методы исследования систем металл-водород: учебное пособие. Томск: Издательство ТПУ, 2008. 286 с.
- Андреев Б.М., Магомедбеков Э.П., Розенкевич М.Б., Сахаровскии Ю.А. Гетерогенные реакции изотопного обмена трития. М.: Издательство Эдиториал УРСС, 1999. 203 с.
- Glugla M., Antipenkov A., Beloglazov S., Caldwell-Ni-chols C. // Fusion Eng. Des. 2007. V. 82. № 5. P. 472. https://doi.org/10.1016/j.fusengdes.2007.02.025
- Михайлов В.Н., Евтюхин В.А., Люблинский И.Е. и др. Литий в термоядерной и космической энергетике XXI века. М.: Энергоатомиздат, 1999. 526 с.
- Chen J.M., Chernov V.M., Kurtz R.J., Muroga T. // J. of Nuclear Materials. 2011. V. 417. № 1-3. P. 289–294. https://doi.org/10.1016/j.jnucmat.2011.02.015
- Li M., Zinkle S.J. // Comprehensive Nuclear Materials. 2012. V. 4. P. 667. https://doi.org/10.1016/B978-0-08-056033-5.00122-1
- Dolinski Yu., Lyasota I., Shestakov A. et al. // Ibid. 2000. V. 283–287. P. 854. https://doi.org/10.1016/S0022-3115(00)00314-7
- Causey R.A. // Ibid. 2002. V. 300. № 2–3. P. 91. https://doi.org/10.1016/S0022-3115(01)00732-2
- Мерер Х. Диффузия в твердых телах: монография. Долгопрудный: Интеллект, 2011. 535 с.
- Causey R.A., Karnesky R.A., San Marchi C. // Comprehensive Nuclear Materials. 2012. P. 511. https://doi.org/10.1016/B978-0-08-056033-5.00116-6
- Писарев А.А., Цветков И.В., Маренков Е.Д., Ярко С.С. // Взаимодействие изотопов водорода с конструкционными материалами. IHISM’11 JUNIOR: сборник докладов Седьмой международной школы молодых ученых и специалистов. Саров: ФГУП “РФЯЦ-ВНИИЭФ”. 2012. С. 450.
- Oriani R. // Acta Metallurgica. 1970. V. 18. № 1. P. 147. https://doi.org/10.1016/0001-6160(70)90078-7
- Marchi C.S., Somerday B.P., Robinson S.L. // Intern. J. of Hydrogen Energy. 2007. V. 32. № 1. P. 100. https://doi.org/10.1016/j.ijhydene.2006.05.008
- Wert C., Zener C. // Physical Review. 1949. V. 76. № 8. P. 1169. https://doi.org/10.1103/physrev.76.1169
- Лобко В.Н. // Взаимодействие изотопов водорода с конструкционными материалами. IHISM’10. Сборник докладов Четвертой Международной конференции и Шестой Международной Школы молодых ученых и специалистов. Саров: РФЯЦ-ВНИИЭФ. 2011. С. 270.
- Esteban G.A., Perujo A., Douglas K., Sedano L.A. // J. of Nuclear Materials. 2000. V. 281. № 1. P. 34. https://doi.org/10.1016/s0022-3115(00)00188-4
- Sivak A.B., Sivak P.A., Romanov V.A., Chernov V.M. // Ibid. 2015. Vol. 461. P. 308. https://doi.org/10.1016/j.jnucmat.2015.03.031
- Grabke H.J., Riecke E. // Mater. Tehnol. 2000. V. 34. № 6. P. 331.
- Houben A., Scheuer J., Rasiński M. et al. // Nuclear Materials and Energy. 2020. V. 25. P. 100878. https://doi.org/10.1016/j.nme.2020.100878
- Aoyagi K., Torres E., Suda T., and Ohnuki S. // J. of Nuclear Materials. 2000. V. 283-287. P. 876. https://doi.org/10.1016/s0022-3115(00)00140-9
- Gorley M., Aiello G., Henry J., Nozawa T. et al. // Fusion Engineering and Design. 2021. V. 170. P. 112513. https://doi.org/10.1016/j.fusengdes.2021.112513
- Компаниец Т.Н. // Взаимодействие изотопов водорода с конструкционными материалами. IHISM-09 JUNIOR. Сборник докладов Четвертой Международной конференции и Шестой Международной Школы молодых ученых и специалистов. Саров: РФЯЦ-ВНИИЭФ. 2010. С. 35.
- Компаниец Т.Н. // ВАНТ. Сер. Терм. Синтез. 2009. № 3. С. 16.
- Колотов В.П. Теоретические и экспериментальные подходы к решению задач активационного анализа, гамма-спектрометрии и создания малоактивируемых материалов: Автореф. дис. … доктора хим. наук: М.: Ин-т геохимии и аналитической химии им. В.И. Вернадского РАН, 2007. 48 с.
- Kulsartov T.V., Hayashi K., Nakamichi M. et al. // Fusion Engineering and Design. 2006. V. 81. № 1–7. P. 701. https://doi.org/10.1016/j.fusengdes.2005.07.019
- Xu Y., Hirooka Y., Nagasaka T. // Fusion Engineering and Design. 2017. V. 125. P. 343. https://doi.org/10.1016/j.fusengdes.2017.04.022
- Serra E.E., Perujo A., Benamati G. // J. of Nuclear Materials. 1997. V. 245. № 2–3. P. 108. https://doi.org/10.1016/S0022-3115(97)00021-4
- Zhou H., Hirooka Y., Ashikawa N. et al. // Ibid. 2014. V. 455. № 1–3. P. 470. https://doi.org/10.1016/j.jnucmat.2014.07.061
- Wedig F., Jung P. // Ibid. 1997. V. 245. № 2–3. P. 138. https://doi.org/10.1016/S0022-3115(97)00014-7
- Chen Z., Hu X., Ye M., Wirth B.D. // Ibid. 2021. V. 549. P. 152904. https://doi.org/10.1016/j.jnucmat.2021.152904
- Dolinsky Y.N., Zouev Yu.N., Lyasota I.A. et al. // Ibid. 2002. V. 307–311. P. 1484. https://doi.org/10.1016/S0022-3115(02)01128-5
- Barabash V., Peacock A., Fabritsiev S. et al. // Ibid. 2007. V. 367–370. P. 21. https://doi.org/10.1016/j.jnucmat.2007.03.017
- Xiukui S., Jian X., Yiyi L. // Materials Science and Engineering: A. 1989. V. 36. P. 179. https://doi.org/10.1016/0921-5093(89)90857-5
- Cherkez D.I., Golubeva A.V., Spitsyn A.V., Chernov V.M. // Journal of Nuclear Materials. 2022. V. 571. № 1. P. 154017. https://doi.org/10.1016/j.jnucmat.2022.154017
- Byeon W.J., Lee S.K., Noh S.J. // Intern. J. of Hydrogen Energy. 2020. V. 45. № 15. P. 8827. https://doi.org/10.1016/j.ijhydene.2020.01.130
- Nemanič V., Žumer M., Kovač J. // J. of Nuclear Materials. 2019. V. 521. P. 38. https://doi.org/10.1016/j.jnucmat.2019.04.043
- Houben A., Engels J., Rasiński M., Linsmeier C. // Nuclear Materials and Energy. 2019. V. 19. P. 55. https://doi.org/10.1016/j.nme.2019.01.030
- Quick N.R., Johnson H.H. // Metallurgical Transactions A. 1979. V. 10. № 1. P. 67.
- Lee S.K., Yun S.-H., Joo H.G., Noh S.J. // Current Applied Physics. 2014. V. 14. № 10. P. 1385. https://doi.org/10.1016/j.cap.2014.08.006
- Shiraishi T., Nishikawa M., Yamaguchi T., Kenmotsu K. // J. of Nuclear Materials. 1999. V. 273. № 1. P. 60. https://doi.org/10.1016/S0022-3115(99)00018-5
- Shiraishi T., Nishikawa M., Fukumatsu T. // Ibid. 1998. V. 254. № 2–3. P. 205. https://doi.org/10.1016/S0022-3115(97)00362-0
- Shan C., Wu A., Li Y. et al. // Ibid. 1991. V. 179–181. P. 322. https://doi.org/10.1016/0022-3115(91)90091-K
- Swansiger W.A., Bastasz R. // Ibid. 1979. V. 85–86. P. 335. https://doi.org/10.1016/0022-3115(79)90512-9
- Barabash V.R., Kalinin G.M., Fabritsiev S.A., Zinkle S.J. // Ibid. 2011. V. 417. № 1–3. P. 904. 10.1016/j.jnucmat.2010.12.158' target='_blank'>https://doi: 10.1016/j.jnucmat.2010.12.158
- Qu D., Zhou Z., Yum Y., Aktaa J. // Ibid. 2014. V. 455. № 1–3. P. 130. https://doi.org/10.1016/j.jnucmat.2014.04.026
- Noh S.J., Byeon W.J., Shin H.W. et al. // Ibid. 2016. V. 473. P. 112. https://doi.org/10.1016/j.jnucmat.2016.01.035
- Serra E., Perujo A. // Ibid. 1998. V. 258–263. Part 1. P. 1028. https://doi.org/10.1016/S0022-3115(98)00276-1
- Zhou H.-S., Liu H.-D., An Z.-Q. et al. // Ibid. 2017. V. 493. P. 398. https://doi.org/10.1016/j.jnucmat.2017.06.028
- Esteban G.A., Alberro G., Peñalva I. et al. // Fusion Engineering and Design. 2009. V. 84. № 2–6. P. 757. https://doi.org/10.1016/j.fusengdes.2008.12.007
- Peñalva I., Alberro G., Legarda F. et al. Interaction of Copper Alloys with Hydrogen // Copper alloys – early applications and current performance – enhancing processes. 2012. P. 31. https://doi.org/10.5772/34469
- Reiter F., Forcey K.S., Gervasini G. A Compilation of Tritium–Material Interaction Parameters in Fusion Reactor Materials // Report EUR 15217 EN. 1993
- Tanabe T., Yamanishi Y., Sawada K., Imoto S. // J. of Nuclear Materials. 1984. V. 123. № 1–3. P. 1568. https://doi.org/10.1016/0022-3115(84)90304-0
- Lyu Y.-M., Xu Y.-P., Liu H.-D. et al. // Int. J. Hydrog. Energy. 2019. V. 44. № 33. P. 18265. https://doi.org/10.1016/j.ijhydene.2019.05.046
- Birnbaum H.K., Wert C.A. // Ber. Bunsenges. Physik. Chem. 1972. V. 76. P. 806. https://doi.org/10.1002/bbpc.19720760835
- Esteban G.A., Peña A., Legarda F., Lindau R. // J. of Nuclear Materials. 2007. V. 367–370. P. 473. https://doi.org/10.1016/j.jnucmat.2007.03.114
Supplementary files












