Electrochemical Properties of N-Methyl-2,2'-bipyridinium Iodide and N,N'-Dimethyl-2,2'-bipyridinium Iodide
- Authors: Dolganov A.V.1, Klimaeva L.A.1, Muryumin E.E.1, Kostryukov S.G.1, Kozlov A.S.1, Tarasova O.V.1, Knyazev A.V.2
-
Affiliations:
- Mordovia State University
- Lobachevsky State University of Nizhny Novgorod
- Issue: Vol 97, No 10 (2023)
- Pages: 1502-1509
- Section: ELECTROCHEMISTRY. GENERATION AND STORAGE OF ENERGY FROM RENEWABLE SOURCES
- Submitted: 18.10.2023
- Published: 01.10.2023
- URL: https://medbiosci.ru/0044-4537/article/view/140335
- DOI: https://doi.org/10.31857/S0044453723100060
- EDN: https://elibrary.ru/IIAXBR
- ID: 140335
Cite item
Full Text
Abstract
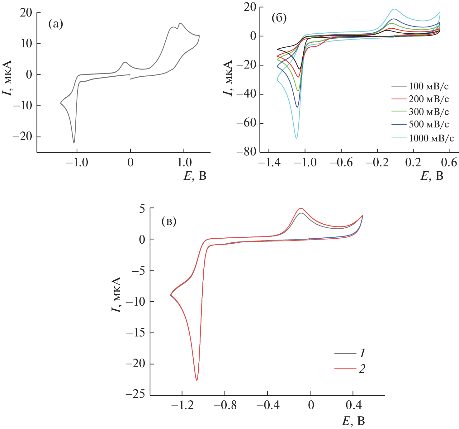
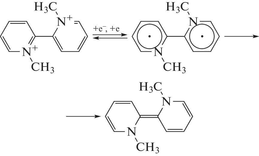
The electrochemical properties of N-substituted salts of 2,2'-bipyridine: N-methyl-2,2'-bipyridinium iodide and N,N '-dimethyl-2,2'-bipyridinium iodide were studied by cyclic voltammetry (CV). The electrochemical properties are greatly affected by the methyl substituents at the nitrogen atom in the ortho-bipyridine molecule. The conproportionation constants were calculated for N,N '-dimethyl-2,2'-bipyridinium iodide and made it possible to judge about the degree of electron localization in the systems.
About the authors
A. V. Dolganov
Mordovia State University
Email: dolganov_sasha@mail.ru
430005, Saransk, Russia
L. A. Klimaeva
Mordovia State University
Email: dolganov_sasha@mail.ru
430005, Saransk, Russia
E. E. Muryumin
Mordovia State University
Email: dolganov_sasha@mail.ru
430005, Saransk, Russia
S. G. Kostryukov
Mordovia State University
Email: dolganov_sasha@mail.ru
430005, Saransk, Russia
A. Sh. Kozlov
Mordovia State University
Email: dolganov_sasha@mail.ru
430005, Saransk, Russia
O. V. Tarasova
Mordovia State University
Email: dolganov_sasha@mail.ru
430005, Saransk, Russia
A. V. Knyazev
Lobachevsky State University of Nizhny Novgorod
Author for correspondence.
Email: dolganov_sasha@mail.ru
603022, Nizhny Novgorod, Russia
References
- Weber R.S. // ACS Catal., 2019. V. 9. № 2. P. 946.https://doi.org/10.1021/acscatal.8b04143
- Chisholm G., Zhao T., Cronin L. // Elsevier. 2022. P. 559.https://doi.org/10.1016/B978-0-12-824510-1.00015-5
- Chen Z., Wei W., Song L. et al. // Sustainable Horizons. 2022. V. 1. P. 100002.https://doi.org/10.1016/j.horiz.2021.100002
- Catalysts for Sustainable Hydrogen Production: Preparation, Applications and Process Integration. MDPI. 2022.https://doi.org/10.3390/books978-3-0365-3671-2
- Nørskov J.K., Bligaard T., Logadottir A. et al. // J. Electrochem. Soc. 2005. V. 152. № 3.https://doi.org/10.1149/1.1856988
- Gao X., Kawi S. // Wiley. 2022. P. 1.https://doi.org/10.1002/9783527815906.ch1
- Queyriaux N., Sun D., Fize J. et al. // J. Am. Chem. Soc. 2020. V. 142. № 1. P. 274–282.https://doi.org/10.1021/jacs.9b10407
- Wang M., Chen L., Sun L. // Energy Environ. Sci. 2012. V. 5. № 5. P. 6763.https://doi.org/10.1039/c2ee03309g
- Huang Y., Mohamed A.G.A., Xie J. et al. // Nano Energy. 2021. V. 82. P. 105745.https://doi.org/10.1016/j.nanoen.2021.105745
- Dubouis N., Grimaud A. // Chem. Sci. 2019. V. 10. № 40. P. 9165.https://doi.org/10.1039/C9SC03831K
- Cracknell J.A., Vincent K.A., Armstrong F.A. // Chem. Rev. 2008. V. 108. № 7. P. 2439.https://doi.org/10.1021/cr0680639
- Merki D., Hu X.R. // Energy Environ. Sci. 2011. V. 4 № 10. P. 3878.https://doi.org/10.1039/c1ee01970h
- Dolganov A.V., Tarasova O.V., Ivleva A.Y. et al. // Intern. J. of Hydrogen Energy. 2017. V. 42. № 44. P. 27084.https://doi.org/10.1016/j.ijhydene.2017.09.080
- Dolganov A.V., Tarasova O.V., Moiseeva D.N. et al // Ibid. 2016. V. 41. № 22. P. 9312.https://doi.org/10.1016/j.ijhydene.2016.03.131
- Dolganov A.V., Balandina A.V., Chugunov D.B. et al. // Russ. J. Gen. Chem. 2020, V. 90. № 7. P. 1229.https://doi.org/10.1134/S1070363220070099
- Dolganov A.V., Tanaseichuk B.S., Pryanichnikova M.K., et al. // J. Phys. Org. Chem. 2019. V. 32. № 5. e3930.https://doi.org/10.1002/poc.3930
- Dolganov A.V., Muryumin E.E., Chernyaeva O.Y. et al. // Materials Chemistry and Physics. 2019. V. 224. P. 148.https://doi.org/10.1016/j.matchemphys.2018.12.006
- Dolganov A.V., Tanaseichuk, B.S., Tsebulaeva Y.V. et al. // Int. J. Electrochem. Sci. 2016. P. 9559.https://doi.org/10.20964/2016.11.24
- Dolganov A.V., Tarasova O.V., Balandina A.V. et al. // Russ. J. Org. Chem. 2019. V. 55. №7. P. 938.https://doi.org/10.1134/S1070428019070030
- Dolganov A.V., Tanaseichuk B.S., Yurova V.Yu. et al. // Intern.J. of Hydrogen Energy 2019. V. 44. № 39. P. 21495.https://doi.org/10.1016/j.ijhydene.2019.06.067
- Dolganov A. V., Tanaseichuk B. S., Moiseeva D. N. et al. // Electrochem. Commun. 2016. V. 68. P. 59. https://doi.org/10.1016/j.elecom.2016.04.015
- Dolganov A.V., Chernyaeva O.Y., Kostryukov S.G. et al. // Intern.J. of Hydrogen Energy 2020. V. 45. № 1. P. 501. https://doi.org/10.1016/j.ijhydene.2019.10.175
- Dolganov A.V., Tanaseichuk B.S., Tarasova O.V. et al. // Rus. J. Electrochem 2019. V. 55. № 8. P. 807.https://doi.org/10.1134/S1023193519080056
- Ganz O.Yu., Klimaeva L.A., Chugunov D.B. et al. // Rus. J. Phys. Chem. 2022. V. 96. № 5. P. 954.https://doi.org/10.1134/S0036024422050120
- Stephens P.J., Devlin F.J., Chabalowski C.F. et al. // J. Phys. Chem. 1994. V. 98. № 45. P. 11623.https://doi.org/10.1021/j100096a001
- Ditchfield R., Hehre W.J., Pople J.A. // The J. of Chem. Phys. 1971. V. 54. № 2. P. 724.https://doi.org/10.1063/1.1674902
- Schmidt M.W., Baldridge K.K., Boatz J.A. et al. // J. Comput. Chem. 1993. V. 14. № 11. P. 1347.https://doi.org/10.1002/jcc.540141112
- Baik M.-H., Friesner R.A. // J. Phys. Chem. A. 2002. V. 106. № 32. P. 7407.https://doi.org/10.1021/jp025853n
- GAO Yun-Fang, YU Li-Li, LU Qing-Qing, M.A. Chun-An. // J.Acta Phys. Chim. Sin.2009. V. 25 P. 1421. https://doi.org/10.3866/PKU.WHXB20090735
- Robin M.B., Day P. // Elsevier. 1968. V. 10. P. 247.https://doi.org/10.1016/S0065-2792(08)60179-X
- Zanello P., Tamburini S., Vigato P. A. et al. // Coordination Chemistry Reviews. 1987. V. 77. P. 165.https://doi.org/10.1016/0010-8545(87)85034-8
Supplementary files











