Investigation of Physicochemical Characteristics of Lead Dioxide Coatings to Enhance the Performance of Reserve Quickly Activated Chemical Power Sources in the Lead–Perchloric Acid–Lead Dioxide System
- Authors: Shcheglov P.A.1, Samsonov D.A.1, Pavlenkov A.B.1, Kulova T.L.2, Rychagov A.Y.2, Andreev V.N.3, Skundin A.M.2
-
Affiliations:
- Scientific and Production Association “Pribor” named after S.S. Golembiovsky
- A.N. Frumkin Institute of Physical Chemistry and Electrochemistry, Russian Academy of Sciences
- Investigation of Physicochemical Characteristics of Lead Dioxide Coatings to Enhance the Performance of Reserve Quickly Activated Chemical Power Sources in the Lead–Perchloric Acid–Lead Dioxide System
- Issue: Vol 97, No 12 (2023)
- Pages: 1783-1793
- Section: ELECTROCHEMISTRY. GENERATION AND STORAGE OF ENERGY FROM RENEWABLE SOURCES
- Submitted: 26.12.2023
- Published: 01.12.2023
- URL: https://medbiosci.ru/0044-4537/article/view/233075
- DOI: https://doi.org/10.31857/S0044453723120269
- EDN: https://elibrary.ru/JGTRRF
- ID: 233075
Cite item
Full Text
Abstract
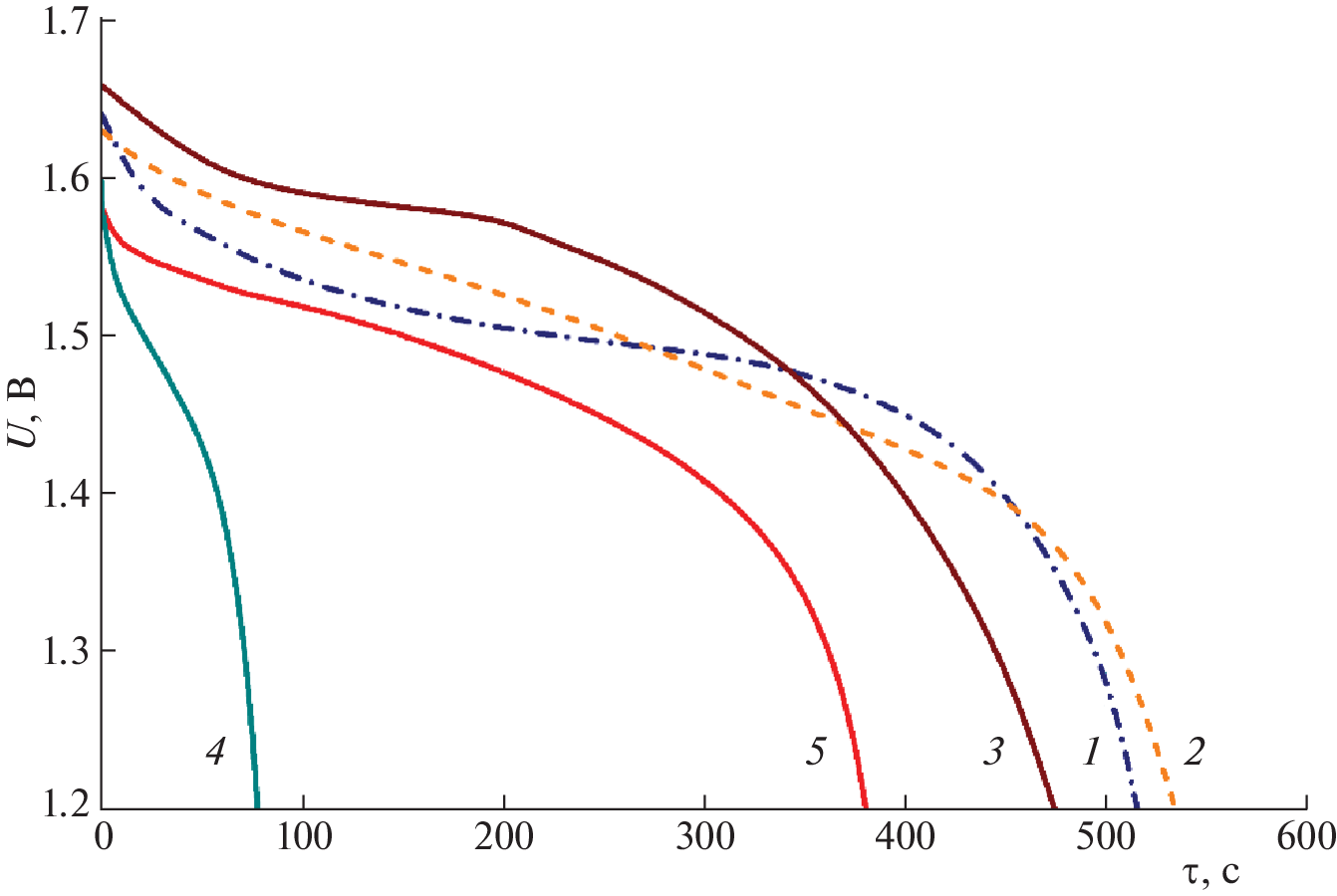
The relationship between the discharge characteristics of reserve chemical power sources of the lead–perchloric acid–lead dioxide system and the physicochemical properties of electroplated cathode coatings with lead dioxide, including phase composition and microstructure, has been studied. The study reveals that the discharge characteristics of power sources can be enhanced by employing a two-layer lead dioxide coating consisting of a porous outer layer and a denser inner layer. The findings have been validated through the production and testing of industrial prototypes of pilot miniature reserve power sources, which exhibit improved performance even at low temperatures (activation time, less than 30 ms; discharge capacity, ~200 mA min/cm2; discharge voltage per cell, 1.8–1.2 V at –50°C).
About the authors
P. A. Shcheglov
Scientific and Production Association “Pribor” named after S.S. Golembiovsky
Email: tkulova@mail.ru
117587, Moscow, Russia
D. A. Samsonov
Scientific and Production Association “Pribor” named after S.S. Golembiovsky
Email: d@samsonov-work.ru
119071, Moscow, Russia
A. B. Pavlenkov
Scientific and Production Association “Pribor” named after S.S. Golembiovsky
Email: tkulova@mail.ru
117587, Moscow, Russia
T. L. Kulova
A.N. Frumkin Institute of Physical Chemistry and Electrochemistry, Russian Academy of Sciences
Email: tkulova@mail.ru
119071, Moscow, Russia
A. Yu. Rychagov
A.N. Frumkin Institute of Physical Chemistry and Electrochemistry, Russian Academy of Sciences
Email: tkulova@mail.ru
119071, Moscow, Russia
V. N. Andreev
Investigation of Physicochemical Characteristics of Lead Dioxide Coatings to Enhance the Performance of Reserve Quickly Activated Chemical Power Sources in the Lead–Perchloric Acid–Lead Dioxide System
Email: tkulova@mail.ru
119071, Moscow, Russia
A. M. Skundin
A.N. Frumkin Institute of Physical Chemistry and Electrochemistry, Russian Academy of Sciences
Author for correspondence.
Email: tkulova@mail.ru
119071, Moscow, Russia
References
- Bagotsky V.S., Skundin A.M., Volfkovich Yu.M. Electrochemical Power Sources: Batteries, Fuel Cells, and Supercapacitors, Hoboken, N.J.: John Willey & Sons, Inc, 2015. 400 p.
- Handbook of Batteries / Editors D. Linden and T.B. Reddy. New York, Chicago, etc.: McGraw-Hill, 2002. 1453 p.
- Постановление Правительства Российской Федерации № 484 от 30.03.2021 г. об утверждении государственной программы Российской Федерации “Социально-экономическое развитие Арктической зоны Российской Федерации”. Дата опубликования 02.04.2021 на сайте publication.pravo.gov.ru, номер опубликования 0001202104020037. URL: http://publication.pravo.gov.ru/Document/View/0001202104020037
- Бузник В.М., Каблов Е.Н. // Вестн. РАН. 2017. Т. 87. № 9. С. 827. [Buznik V.M., Kablov E.N. // Herald of the Russian Academy of Sciences. 2017. V. 87. № 5. P. 397.]
- Щеглов П.А., Самсонов Д.А., Павленков А.Б. и др. // Электрохимия. 2023. В печати.
- Mindt W. // J. Electrochem. Soc. 1969. V. 116. № 8. P. 1076.
- Рахмани Л., Фитас Р., Мессаи А., Айеш А.И. // Электрохимия. 2019. Т. 55. № 7. С. 832. [L. Rahmani, R. Fitas, A. Messai, and A. I. Ayesh. Russ. J. Electrochem., 2019, V. 55. P. 643]
- Pavlov D. Lead-Acid Batteries: Science and Tecnology: A Handbook of Lead-Acid Battery Technology and Its Influence on the Product, 2nd Edition. Amsterdam, Oxford, Cambridge: Elsevier, 2017. 720 p.
- Pavlov D. // J. Power Sources. 1992. V. 40. P. 169.
- Pavlov D. // J. Electrochem. Soc. 1992. V. 139. № 11. P. 3075.
- Шпекина В.И. Разработка технологии электроосаждения диоксида свинца на различные подложки в ультразвуковом поле. Дис… канд. техн. наук. Саратов, ФГБОУ ВО “Саратовский государственный технический университет имени Гагарина Ю.А.”. 2016. 136 с. [Shpekina V.I. Development of technology of electrodepotion of lead dioxide onto various substrates in ultrasouic field. Dissertation. Saratov, The Saratov State Technical University named after Gagarin Yu.A. (in Russian), 2016, 136 p.].
- Dodson V.H. // J. Electrochem. Soc. 1961. V. 108. № 5. P. 406–412.
- Rüetschi P. // J. Electrochem. Soc. 1992. V. 139. № 5. P. 1347–1351.
- Антонов А.В. // Вестн. национ. техн. ун-та Харьковский политех. институт. Харьков. (Вісник НТУ “ХПІ”). 2013, № 47 (1020). С. 15.
- Михайленко В.Г., Антонов А.В. // Гальванотехника и обработка поверхности. 2014. Т. 22. № 2. С. 29.
- Li X., Pletcher D., Walsh F.C. Electrodeposited lead dioxide coatings // Chem. Soc. Rev. 2011. V. 40. P. 3879.
- ГОСТ 9.305-84. Единая система защиты от коррозии и старения. Покрытия металлические и неметаллические неорганические. Операции технологических процессов получения покрытий: межгосударственный стандарт: издание официальное. М.: ИПК Изд-во стандартов, 2003. [GOST 9.305-84. Unified system of corrosion and ageing protection. Metal and non-metal inorganic coatings. Technological process operations for coating production: interstate standard: official publication (in Russian). Moscow, 2003].
- Горбачев Н.В., Горбачева Е.Ю., Соловьева Н.Д., Краснов В.В. // Электрохим. энергетика. 2011. Т. 11. С. 154 [Gorbachev N.V., Gorbacheva E.Yu., Solov’eva N.D., Krasnov V.V. // Elektrokhim. Energetika (in Russian). 2011. V. 11. P. 154].
- Holzwarth U., Gibson N. The Scherrer equation versus the “Debye- Scherrer equation” // Nature Nanotechnology. 2011. V. 6. P. 534.
- Горелик С.С., Расторгуев Л.Н., Скаков Ю.А. Рентгенографический и электронно-оптический анализ. М.: МИСИС, 1994. 328 с.
- Tabat S., Nowacki A., Szcześniak B. // J. Power Sources. 1990. V. 31. P. 339.
- Velichenko A.B., Amadelli R., Benedetti A. et al. // J. Electrochem. Soc. 2002. V. 149. № 9. P. C445.
- Киселева И.Г., Кабанов Б.Н. // Докл. АН СССР. 1958. Т. 122. № 6. С. 1042.
- Yoon S.-H., Son J.-T., Oh J.-S. // J. Power Sources. 2006. V. 162. P. 1421.
Supplementary files











