Роль функциональных групп при комплексообразовании структурных аналогов ароматических аминокислот с пектином
- Authors: Мударисова Р.Х.1, Куковинец О.С.2, Колесов С.В.1, Новоселов И.В.3
-
Affiliations:
- Уфимский федеральный исследовательский центр РАН
- Уфимский университет науки и технологий
- Уфимский государственный нефтяной технический университет
- Issue: Vol 98, No 4 (2024)
- Pages: 163-170
- Section: БИОФИЗИЧЕСКАЯ ХИМИЯ И ФИЗИКО-ХИМИЧЕСКАЯ БИОЛОГИЯ
- Submitted: 10.11.2024
- Accepted: 10.11.2024
- Published: 10.11.2024
- URL: https://medbiosci.ru/0044-4537/article/view/269397
- DOI: https://doi.org/10.31857/S0044453724040171
- EDN: https://elibrary.ru/QEFLOL
- ID: 269397
Cite item
Full Text
Abstract
Спектрофотометрическим методом определены константы устойчивости координационных соединений яблочного пектина со структурными аналогами ароматических аминокислот (триптофана и фенилаланина) – индолом и L-тирозином. Установлено, что наличие фенолятного кислорода в тирозине является благоприятным для связывания с пектином и определяется его участием в образовании Н-связей с карбонильной функцией полисахарида, что отражается на большей устойчивости комплекса пектин–тирозин по сравнению с системой пектин–фенилаланин. Показан определяющий вклад индольного фрагмента триптофана в устойчивость пектинового комплекса. На основе анализа термодинамических характеристик показано, что образование молекулярных комплексов состава 1:1 для систем пектин– индол и пектин–тирозин контролируется только энтальпийной составляющей (∆H°<0, ∆Sº<0). Определены термические свойства модифицированных пектинов.
Full Text
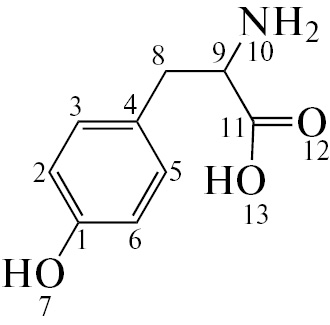
Приоритетным направлением в последнее десятилетие являются исследования в области получения комплексов полисахаридов с аминокислотами (АК), которые могут обладать новыми разнообразными свойствами, что позволит расширить их применение в биотехнологии, фармацевтике и медицине [1–7]. В свою очередь, избирательность комплексообразования напрямую определяется величинами констант устойчивости образующихся комплексов. Эти данные могут быть использованы для изучения влияния структуры комплексообразователей на состав и стабильность комплексов, а также для прогнозирования их последующего применения. Среди полисахаридов важное место отводится пектинам (ПК), которые обладают разнообразной биологической активностью и широко используются для создания новых высокоэффективных препаратов с низкой токсичностью, иммуномодулирующим, антибактериальным, гепатопротекторным действием [8–12]. Среди модифицирующих полисахаридов агентов можно выделить ароматические АК и их производные, которые играют важную роль в химических и биохимических процессах, проходящих в живых клетках, и входят в состав множества фармацевтических препаратов [13–19].
Ранее модификацией яблочного пектина триптофаном (Trp) были получены комплексы с более высокой устойчивостью по сравнению с комплексами ПК с рядом других ароматических АК, в частности с фенилаланином (Phe), что может быть обусловлено различным вкладом ароматического и индольного фрагментов модификатора в данный параметр [20, 21]. Поэтому для понимания особенностей взаимодействия ПК с указанными выше ароматическими АК представляется важным определение вклада структурных фрагментов модификаторов (МА) в устойчивость образующихся пектиновых комплексов, а также оценка их влияния на характер комплексообразования и термодинамику данного процесса.
Целью данной работы является изучение взаимодействия яблочного пектина со структурным аналогом триптофана – индолом (Ind) и производным фенилаланина – L-тирозином (Tyr), установление влияния природы модификатора на состав и устойчивость комплексов, термодинамику процесса и термические свойства.
ЭКСПЕРИМЕНТАЛЬНАЯ ЧАСТЬ
В экспериментах использовали ПК товарной марки Unipectine XPP 240 с молекулярной массой 26000 Da, степенью этерифицирования 66%, влажностью 2.3% и содержанием свободных карбоксильных групп 7.7%. Определение степени этерифицирования, влажности и содержания свободных карбоксильных групп ПК проводили по методике [22]. Ind, Tyr марки «х.ч.» использовали без дополнительной очистки и высушивали в вакуумном шкафу перед взятием навесок до постоянной массы при 313 К. Спектры ЯМР 13C растворов образцов в D2O регистрировали на спектрометре Bruker Avance III 500 MHz (погрешность определения – 5%). ИК-спектры образцов записывали на спектрометре Shimadzu IR-Prestige-21 (700–3600 см−1, вазелиновое масло). Величину удельного вращения измеряли на поляриметре Perkin-Elmer (модель 141). УФ-спектры водных растворов соединений снимали в кварцевых кюветах толщиной 1 см на спектрофотометре UV-VIS SPECORD M-40. Кислотность растворов контролировали на pH-метре «Анион 4100». Необходимую кислотность раствора создавали растворами НCl и NaOH. Для изучения термического разложения образцов измерения проводили на приборе синхронного термического анализа ТГА-ДСК (Mettler Toledo) в среде воздуха при скорости нагревания 5 К/мин, в интервале температур от 298 до 773 К. Для измерений использовали образцы соединений массой 5–8 мг, применяли тигли из оксида алюминия объемом 70 мкл.
Состав образующихся соединений при взаимодействии ПК с МА определяли спектрофотометрическим методом мольных отношений [23]. Молярные отношения [ПК]:[МА] варьировали от 50:1 до 1:20. В сериях растворов с постоянной концентрацией МА, равной 1×10–4 моль/л, концентрацию ПК изменяли от 1×10–5 до 1×10–3 моль/л. Ионную силу поддерживали постоянной, равной 0.1 моль/л (NaCl, «х.ч.»).
По методу мольных отношений [23] спектральные изменения для раствора ПК+МА описываются уравнением:
,
где А и А0 – оптические плотности растворов в присутствии и отсутствии ПК; [МА]0 – начальная концентрация соответствующего модификатора; ε и ε0 – молярные экстинкции соответствующего состава; βк – константа устойчивости; [ПК] – концентрация пектина.
Из графика зависимости [МА]0/(А–А0) от 1/[ПК] по тангенсу угла наклона находили константу устойчивости комплексов.
Тепловые эффекты реакции образования комплексов были вычислены по уравнению Вант-Гоффа в интегральной форме [23]:
.
Изменение энтропии вычислено по формуле:
,
где DH – тепловой эффект реакции, DS – энтропия реакции, DG – изменение свободной энергии, T – средняя температура, βк – константа устойчивости.
Общая методика получения комплекса ПК–МА
ПК в количестве 5.5 осново-ммоль растворяли в 20 мл воды. МА в количестве 5.5 ммоль растворяли в 20 мл воды и доводили рН до 7.0. К раствору ПК при интенсивном перемешивании прикапывали раствор МА при комнатной температуре. Реакцию проводили в течение 3 ч. По окончании реакции продукт выделяли осаждением этиловым спиртом, переосаждали снова из воды в спирт, осадок отделяли и промывали 3 раза спиртом, затем диэтиловым эфиром и высушивали в вакууме. Полученные комплексы анализировали на содержание углерода, водорода и азота на анализаторе марки EUKO EA-3000.
ПК-Ind. Выход 85.6%. ИК-спектр, ν, см–1: 3600–3000 n(ОН), 3396 n(N–H), 1741 n(C=O), 1143–1016 n(С–О, С–С). УФ-спектр, λmax, нм: 210, 256, 261, 271, 275. Найдено, %: С 56.77; Н 5.25; N 4.27. Вычислено, %: С 57.34; Н 5.12; N 4.78. a20D, (Н2О): +225.
ПК-Tyr. Выход 83.2%. ИК-спектр, ν, см–1: 3600–3000 n(ОН), 3203 n(N–H), 1739 n(C=O), 1608 n(N–H), 1589 n(C=O в СОО–), 1514 n(CH–Ar), 1153–1016 n(С–О, С–С). УФ-спектр, λmax, нм: 223, 279. Найдено, %: С 50.51; Н 4.84; N 3.52. Вычислено, %: С 50.42; Н 5.32; N 3.92. a20D, (Н2О): +129.
ОБСУЖДЕНИЕ РЕЗУЛЬТАТОВ
Взаимодействие ПК с Tyr и Ind изучалось методами УФ-, ИК-, 13С ЯМР- спектроскопии, поляриметрии и элементного анализа. Для водного раствора Tyr характерны два максимума поглощения при 224 и 275 нм, которые относятся к π–π*-переходам ароматического кольца (рис. 1). При добавлении ПК к раствору Tyr наблюдаются коротковолновый сдвиг и увеличение интенсивности обеих полос поглощения (ПП). В УФ-спектре Ind присутствуют две ПП π–π*-переходов ароматической системы – при 212 и 270 нм (рис. 2). При добавлении ПК к раствору Ind происходит батохромный сдвиг длинноволновой ПП при 270 нм, сопровождающийся гиперхромным эффектом обеих ПП. Такой характер изменения УФ-спектров соответствует протеканию реакции комплексообразования [24].
Рис. 1. Электронные спектры поглощения водных растворов ПК (1), Tyr (2), смеси ПК и Tyr (3); C ПК = 1.0×104 моль/л, СTyr = 1.0×10–4 моль/л, рН 7.0, l = 1.0 см, 25 °С
Рис. 2. Электронные спектры поглощения водных растворов ПК (1), Ind (2), смеси ПК и Ind (3); CПК = 1.0×10–4 моль/л, СInd = 1.0×10–4 моль/л, рН 7.0, l = 1.0 см, 25 °С
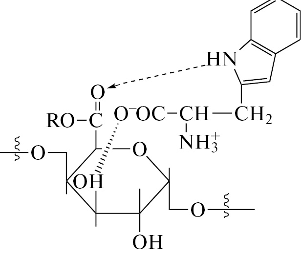
Факт образования комплексных соединений ПК-Tyr и ПК-Ind подтверждается данными 13С ЯМР и ИК-спектроскопии. Анализируя данные табл. 1, можно отметить уменьшение химсдвигов ядер 13С Ind в комплексе ПК-Ind практически для всех сигналов, кроме С3 и С9, линии которых значительно смещаются в сторону слабого поля. Незначительные химсдвиги атомов углеродов ароматического фрагмента индольного кольца (С4–С7) свидетельствуют о неучастии последнего в связывании с ПК. В ИК-спектре ПК-Ind наиболее значительные изменения зафиксированы для n(С=О) ПК (уменьшение интенсивности и высокочастотный сдвиг на 6 см–1 до 1741 см–1) и пиррольного атома азота Ind (уменьшение интенсивности и высокочастотный сдвиг на 9 см–1 до 3396 см–1). Кроме того, наблюдается уширение ПП n(–ОН) ПК, а также высокочастотный сдвиг ПП n(С–О) и n(С–С) колебаний пиранозного кольца полисахарида на 6–8 см–1.
Таблица 1. Значения химических сдвигов 13С СHn-групп индивидуальных веществ и их комплексов
№С | Ind | Комплекс ПК- Ind | Δd, м.д. | Tyr | Комплекс ПК-Tyr | Δd, м.д. |
С1 | – | – | – | 157.23 | 163.00 | 5.77 |
С2 | 135.80 | 135.20 | –0.60 | 116.43 | 116.35 | –0.08 |
С3 | 126.8 | 127.37 | 0.57 | 130.70 | 130.72 | 0.02 |
С4 | 120.48 | 120.48 | 0 | 127.00 | 127.03 | 0.03 |
С5 | 121.71 | 121.67 | –0.04 | 130.70 | 130.72 | 0.02 |
С6 | 119.51 | 119.49 | –0.04 | 116.43 | 116.35 | –0.08 |
С7 | 111.68 | 111.64 | –0.04 | – | – | – |
С8 | 125.71 | 125.68 | –0.03 | 37.90 | 37.61 | –0.29 |
С9 | 102.0 | 103.64 | 1.64 | 56.93 | 56.83 | –0.10 |
С11 | – | – | – | 176.00 | 175.45 | –0.55 |
Опираясь на спектральные данные, структуру комплексного соединения ПК-Ind можно представить следующей схемой:
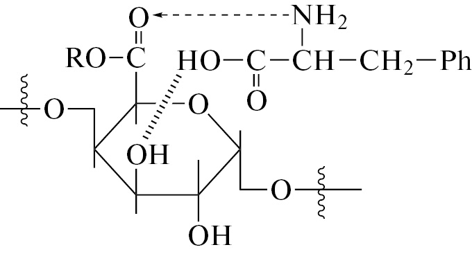
При смешении ПК с Tyr в спектре 13С ЯМР наибольший сдвиг на 5.77 м.д. в сторону слабого поля наблюдается для сигнала атома углерода С(1) ароматического кольца, непосредственно связанного с гидроксильной группой. Также можно отметить значительный сдвиг сигнала углерода карбоксильной группы С11 на 0.55 м.д. (табл. 1). В ИК-спектре комплекса ПК-Tyr интенсивность ПП n(С=О) ПК и ПП n(С=О в СОО–) Tyr резко уменьшается и сдвигается в область больших и меньших длин волн соответственно на 4 и 9 см–1. Также происходит низкочастотный сдвиг ПП n(–ОН) в области 3600–3000 см–1 и высокочастотный сдвиг ПП n(С–О) и n(С–С) пиранозного кольца на 4–8 см–1. Очевидно, формирование комплексов ПК-Tyr протекает через координацию одной молекулы аминокислоты и одного углеводного звена полисахарида с образованием между ними межмолекулярных связей с участием кислородсодержащих функциональных групп основной цепи ПК и карбоксильной и гидроксильной групп Tyr с образованием следующей структуры:
Методом мольных отношений определены состав, константы устойчивости и термодинамические характеристики комплексов (табл. 2). Согласно данным метода мольных отношений, ПК образует с МА комплексы состава 1:1 (рис. 3). Из данных табл. 2 видно, что в зависимости от температуры процесса устойчивость системы ПК-Trp выше примерно в 1.5–3 раза по сравнению с комплексом ПК-Ind, что может свидетельствовать об основополагающем вкладе индольного фрагмента триптофана в данный параметр. Дополнительная стабилизация комплекса ПК-Trp достигается за счет образования водородных связей посредством карбоксильной группы Trp с гидрокси-функциями ПК [21] согласно следующей структуре:
Таблица 2. Термодинамические характеристики и константы устойчивости комплексов
Образец | T, °К | bк ˟10–3, л моль–1 | –∆Hº, кДж/моль | ∆Sº, Дж/(мольК) | –∆Gº, кДж/моль |
ПК-Phe [20] | 273 297 313 | 0.6 ±0.1 0.2±0.1 0.1±0.1 | 25.7±2.0 | –41.6±2.0 | 13.5±1.0 |
ПК-Tyr | 273 298 313 | 9.2±1.0 3.6±0.5 2.3±0.5 | 24.2±2.0 | –11.4±1.0 | 20.9±2.0 |
ПК-Ind | 273 298 313 | 4.0±0.4 2.2±0.2 1.1±0.2 | 24.8±1.0 | –19.5±1.0 | 19.1±1.0 |
ПК-Trp [21] | 273 298 313 | 7.5±0.2 6.7±0.2 1.7±0.1 | 8.2±1.0 | 9.5±1.0 | 21.0±1.0 |
Рис. 3. Кривые насыщения смеси ПК с МА. ПК+Ind (1), ПК+Tyr (2); CПК = 1.0×10–4моль/л, CМА = 1.0×10–4моль/л, 25 °С, l = 1.0 см, растворитель – вода
Выявлены следующие особенности влияния строения Tyr на взаимодействие с ПК. Во-первых, присутствие гидроксильной группы в Tyr является благоприятным для связывания с ПК и определяется ее участием в образовании Н-связей с карбонильной функцией ПК, что отражается на большей устойчивости ПК-Tyr по сравнению с ПК-Phe (табл. 2). Во-вторых, можно предположить, что, в отличие от Tyr, фенилаланин не связывает макромолекулы между собой [20], а взаимодействует с каждым звеном в полимерной цепочке, приводя к структуре вида:
Силы взаимодействия между МА и пектином могут включать гидрофобные силы, ван-дер-ваальсово и электростатическое взаимодействие, водородные связи и т.п. Для выбора действующих сил можно использовать термодинамические параметры реакций связывания [25]. Отрицательные значения как ΔН, так и ΔS в случае всех полимерных комплексов, кроме системы ПК-Trp, показывают, что в связывании полисахарида с МА, помимо электростатических сил, определяющую роль играют силы Ван-дер-Ваальса и водородные связи, причем процесс является энтальпийно благоприятным (табл. 2). В случае системы ПК-Trp положительное значение ΔS может указывать на определяющий вклад не только электростатических сил и водородных связей, но и гидрофобных сил, причем это связывание является процессом, протекающим под влиянием энтропии (табл. 2). Величина ΔG, рассчитанная по уравнению Вант-Гоффа, имеет отрицательное значение для всех систем, что свидетельствует о самопроизвольном протекании процесса комплексообразования во всем изученном температурном интервале.
Выявление связи термических характеристик комплексов с их строением может быть крайне важным для понимания их стабильности. Процесс термического разложения является многостадийным и для большинства модифицированных пектинов (МП) включает две стадии термической деструкции, кроме ПК-Ind, для которого наблюдается четыре стадии разложения. На первом этапе, до 100 °С, для всех МП происходит обезвоживание, при этом удаляется адсорбционная вода. На втором этапе, в основном, происходят декарбоксилирование и деструкция по гликозидным связям. Как следует из табл. 3, по общей величине потери массы (Δm500) в области температур до 500 °С термическая стабильность комплексов понижается в следующем ряду: ПК-Phe>ПК-Trp>ПК-Tyr>ПК-Ind. Полученные результаты показывают, что ПК, модифицированный структурным аналогом Trp – индолом, характеризуется более низкими температурами разложения, т.е. его термическая стабильность существенно ниже, чем комплекса ПК-Trp. Начало термической деструкции ПК-Tyr проявляется при более высоких температурах, чем ПК-Phe (табл. 3), вероятно, вследствие присутствия гидроксильной группы в молекуле тирозина, которая стабилизирует пектиновый комплекс. Анализ полученных результатов показывает, что введение МА в полимерную матрицу приводит к заметному повышению термической устойчивости полисахарида и замедлению процесса его разложения в области температур до 500 °С (табл. 3).
Таблица 3. Термические свойства образцов
Образец | Ступень | Т1, оС | Т2, оС | Δm, % | Tmax на ДТГ, оС | Δm500, % |
ПК | 1 | 60.5 | 348.7 | 63.6 | 230.3 | 99.9 |
2 | 349.1 | 493.0 | 36.3 | 474.1 | ||
ПК-Ind | 1 | 37.3 | 142.9 | 15.1 | 109.3 | 96.9 |
2 | 143.2 | 262.2 | 35.8 | 172.0 | ||
3 | 263.6 | 405.7 | 19.6 | 226.8 | ||
4 | 406.1 | 491.6 | 26.5 | 449.2 | ||
ПК-Trp | 1 | 71.4 | 261.4 | 37.7 | 216.3 | 79.3 |
2 | 261.1 | 498.6 | 41.6 | 466.2 | ||
ПК-Tyr | 1 | 181.6 | 272.4 | 35.8 | 160.0 239.4 | 85.2 |
2 | 313.2 | 498.6 | 49.4 | 452.7 | ||
ПК-Phe | 1 | 47.2 | 208.7 | 30.3 | 190.9 | 75.9 |
2 | 209.4 | 497.9 | 45.7 | 232.0 |
Обозначения: Т1 – температура начала ступени, Т2 – температура конца ступени, Δm – потеря массы, Тmax – температура, соответствующая максимальной скорости разложения образца, °С.
Таким образом, доказано образование межмолекулярных комплексов яблочного пектина с Ind и Tyr. Были выявлены следующие особенности влияния строения и свойств модификаторов на комплексообразование с ПК. Во-первых, присутствие индольного фрагмента в молекуле Trp является благоприятным для связывания с ПК и определяется участием атома азота в образовании донорно-акцепторной связи с карбонильной группой полисахарида. Во-вторых, присутствие гидроксильной группы в молекуле Tyr способствует стабилизации комплекса с ПК за счет образования Н-связей с карбонильной функцией полисахарида, что отражается на большей устойчивости комплекса ПК-Tyr по сравнению с системой ПК-Phe. Выявленные закономерности влияния строения модифицирующих агентов на комплексообразование дают возможность прогнозировать устойчивость комплексов. Результаты исследования могут использоваться при моделировании процессов адресной доставки лекарственных препаратов.
Статья подготовлена в рамках выполнения программы ФНИ государственных академий на 2022–2024 гг.: Госзадание «Развитие фундаментальных основ управления структурой полимеров и кинетикой процесса в каталитической полимеризации, направленной модификации синтетических и биогенных полимеров, и получение полимерных систем для биомедицинских приложений» № 1021062311391-0-1.4.4.
Анализы (измерения и расчеты) выполнены на оборудовании ЦКП «Химия» УфИХ РАН и РЦКП «Агидель» УфИЦ РАН.
About the authors
Р. Х. Мударисова
Уфимский федеральный исследовательский центр РАН
Author for correspondence.
Email: mudarisova@anrb.ru
Russian Federation, Уфа
О. С. Куковинец
Уфимский университет науки и технологий
Email: mudarisova@anrb.ru
Russian Federation, Уфа
С. В. Колесов
Уфимский федеральный исследовательский центр РАН
Email: mudarisova@anrb.ru
Russian Federation, Уфа
И. В. Новоселов
Уфимский государственный нефтяной технический университет
Email: mudarisova@anrb.ru
Russian Federation, Уфа
References
- George D., Maheswari P.U., Begum K.M.M.S. // Carbohydr. Polym. 2020. V. 236. Р. 116101. doi: 10.1016/j.carbpol.2020.116101
- Wang P., Gao Y., Wang D. et al. // Food Hydrocolloids. 2022. V. 129. Р. 107662. https://doi.org/10.1016/j.foodhyd.2022.107662
- Wang Y., Han Q., Wang Y. et al. // Colloids and Surfaces A. 2020. V. 597. Р. 124763. https://doi.org/10.1016/j.colsurfa.2020.124763
- Sang W., Tang Z., He M.Y. et al. // Fibers and Polymers. 2015. V. 16. P. 991. doi: 10.1007/s12221-015-0991-z
- Fromm J.R., Hileman R.E., Caldwell E.E.O. et al. // Archives of Вiochemistry and Вiophisics. 1995. V. 323. № 2. P. 279. doi: 10.1006/abbi.1995.9963
- Gürer F., Kargl R., Bracic M. et al. // Carbohydr. Polym. 2021. V. 267. P. 118226. https://doi.org/10.1016/j.carbpol.2021.118226
- Bouhadiba A., Belhocine Y., Rahima M. et al. // J. of Molecular Liquids. 2017. V. 233. P. 358. http://dx.doi.org/10.1016/j.molliq.2017.03.029
- Sriamornsak P. // Silpakorn University International Journal. 2003. V. 3. P. 206. https://www.researchgate.net/publication/215872059
- Zaitseva О., Khudyakov А., Sergushkina М. et al. // Fitoterapia. 2020. V. 146. Р. 104676. doi: 10.1016/j.fitote.2020.104676
- Ciriminna R., Fidalgo A., Scurria A. et al. // Food Hydrocolloids. 2022. V. 127. Р. 107423. doi: 10.1016/j.foodhyd.2022.107483
- Noreen A., Nazli Z-H., Akram J. et al. // Intern. J. of Biological Macromolecules. 2017. V. 101. P. 254– 272. doi: 10.1016/j.ijbiomac.2017.03.029
- Li D., Li J., Dong H. et al. // Ibid. 2021. V. 185. Р. 49. https://doi.org/10.1016/j.ijbiomac.2021.06.088
- Якубке Х.Д., Ешкайт Х. Аминокислоты, пептиды, белки. М.: Мир, 1985. 82 с.
- Хазова О.А. Аминокислоты. М.: Предтеча, 2010. 64 с.
- Машковский М.Д. Лекарственные средства. М.: Медицина, 1984. Т. 2. 405 с.
- Millward D.J., Rivers J.P.W. // Eur. J. Clin. Nutr. 1988. V. 42. Р. 367.
- Смирнов В.С., Слита А.В., Гаршинина А.В. и др. // Вопросы вирусологии. 2016. Т. 61. С. 125. https://doi.org/10.18821/0507-4088-2016-61-2-125-131
- Wan Y., Li Y., Yan C. et al. // European J. of Medicinal Chemistry. 2019. V. 183. Р. 111691. https://doi.org/10.1016/j.ejmech.2019.111691
- Cassano R., Trapani A., Di Gioia M.L. et al. // Intern. J. of Pharmaceutics. 2020. V. 589. P. 119829. https://doi.org/10.1016/j.ijpharm.2020.119829
- Мударисова Р.Х., Куковинец О.С., Колесов С.В., Новоселов И.В. // Журн. физ. химии. 2021. Т. 95. № 9. С. 1379. [Mudarisova R., Kukovinets O., Kolesov S.V., Novoselov I.V. // Rus. J. of Phys. Chem. A. 2021. V. 95. № 9. P. 1835. doi: 10.1134/S003602442109017X]
- Мударисова Р.Х., Вакульская А.А., Куковинец О.С., Колесов С.В. // Вестн. БашГУ. 2022. Т. 27. № 1. С.51. doi: 10.33184/bulletin-bsu-2022.1.9
- Донченко Л.В. Технология пектинов и пектинопродуктов М.: ДеЛи, 2000. 256 с.
- Булатов М.И., Калинкин И.П. Практическое руководство по фотометрическим методам анализа. Л.: Химия, 1986. 432 с.
- Эндрюс Л., Кифер Р. Молекулярные комплексы в органической химии. М.: Мир, 1967. 206 с.
- Ross P.D., Subramanian S. //Biochemistry. 1981. V. 20. № 11. Р. 3096. doi: 10.1021/bi00514a017
Supplementary files











