Особенности внутреннего вращения в альдегидах, содержащих четырехчленные циклы
- Authors: Батаев В.А.1, Степин С.С.1
-
Affiliations:
- Московский государственный университет им. М. В. Ломоносова
- Issue: Vol 98, No 6 (2024)
- Pages: 3-8
- Section: СПЕКТРОСКОПИЯ И ФИЗИКА АТОМОВ И МОЛЕКУЛ
- Submitted: 28.12.2024
- Accepted: 28.12.2024
- Published: 29.12.2024
- URL: https://medbiosci.ru/0044-4537/article/view/274743
- DOI: https://doi.org/10.31857/S0044453724060015
- EDN: https://elibrary.ru/PYQSAJ
- ID: 274743
Cite item
Full Text
Abstract
В работе представлены результаты теоретического анализа низкочастотной области колебательного спектра и расчеты в ангармоническом приближении внутреннего вращения модельных молекул, содержащих четырехчленный карбоциклический фрагмент и связанную с ним формильную группу CHO. Рассмотрено влияние особенностей формы поверхности потенциальной энергии и поведения кинематических факторов на величины торсионных частот. Изучена возможность заметной кинематической взаимосвязи между внутренним вращением и другими низкочастотными модами.
Full Text
Особенности внутреннего вращения в альдегидах, содержащих четырехчленные циклы1
Ранее на основе неэмпирических квантово-химических расчетов и анализа колебаний с помощью как гармонической, так и ангармонической моделей было показано, что в некоторых циклических альдегидах внутреннее вращение молекул носит сложный характер из-за связи с другими низкочастотными модами. Исследования показали, что сложная форма самого низкого по частоте торсионного колебания наблюдается у ароматических молекул бензальдегида [1], фурфурола [2] и некоторых пятичленных гетероциклических альдегидов [3]. Позже заметная взаимосвязь вращения формильной (CHO) группы с другими низкочастотными колебаниями была установлена нами для альдегидов, содержащих насыщенное циклобутановое [4] и ненасыщенное циклопропеновое [5] кольца. При этом для молекул, в которых формильная группа находится в разных положениях циклопропенового кольца (при двойной связи и в α-положении) и по-разному расположена относительно его плоскости, эта взаимосвязь была разной [5]. В представленной статье сделана попытка изучить зависимость формы низкочастотного колебания, которое традиционно относится к внутреннему вращению, от ориентации формильной группы в молекулах, содержащих ненасыщенное циклобутеновое кольцо.
Объектами исследования выбраны молекулы циклобутен-1-карбальдегида (cyclobut-1-ene-1-carbaldehyde, CB1CA) и циклобутен-2-карбальдегида (cyclobut-2-ene-1-carbaldehyde, CB2CA) (см. рис. 1). Какие-либо данные о строении и колебательных спектрах этих молекул в литературе отсутствуют, лишь в нескольких статьях обсуждаются особенности раскрытия цикла в CB2CA [6, 7].
Рис. 1. Нумерация атомов и конформеры молекул CB1CA и CB2CA
В нашем исследовании эти молекулы выступают как модельные соединения и имеют принципиально важное отличие. В молекуле CB1CA карбонильный атом углерода (атом углерода CHO-группы) лежит почти в плоскости кольца (как в ароматических альдегидах, например: в бензальдегиде или фурфуроле), а в молекуле CB2CA – существенно выходит из плоскости кольца (как в насыщенных карбоциклических соединениях, например циклобутанкарбальдегиде).
ЭКСПЕРИМЕНТАЛЬНАЯ ЧАСТЬ
Все квантово-химические расчеты выполнены с использованием программного комплекса Molpro [8]. Расчетным методом квантовой химии в работе выбрана теория возмущений Меллера–Плессета второго порядка (MP2) в трехэкспонетном базисном наборе, дополненном поляризационными функциями на всех атомах, cc-pVTZ. Такое сочетание метод-базис обычно дает вполне надежные оценки равновесных геометрических параметров, вращательных постоянных, барьеров конформационных переходов и колебательных частот средних по размеру органических молекул.
Для обеих исследуемых молекул найдены все их конформеры, переходящие друг в друга путем поворота формильной группы. Для каждого конформера рассчитаны колебательные частоты в гармоническом приближении и выявлены низкочастотные колебания, способные смешиваться с внутренним вращением в более строгих приближениях.
По координатам внутреннего вращения и связанного с ним низкочастотного колебания построены одно (1D) и двумерные (2D) сечения полной поверхности потенциальной энергии (ППЭ) молекулы. Эти сечения использованы для решения вариационным методом серии квантово-механических колебательных ангармонических задач, в которых взаимосвязь колебательных движений явно не учитывалась (1D) или учитывалась явным образом (2D). Общая методика решения таких колебательных задач описана в работах [9–11].
В общем виде гамильтониан 2D уравнения Шрёдингера выглядит следующим образом
.
Здесь τ – координата внутреннего вращения, χ – координата связанного с внутренним вращением низкочастотного колебания, B(τ, χ) – симметричная матрица кинематических параметров, а V(τ, χ) – потенциальная функция (сечение ППЭ по координатам τ и χ).
1D-задачи мы решали с помощью стандартного подхода моделирования внутреннего вращения, выбирая разумным образом для каждого колебания волчок, остов и ось вращения. Гамильтониан в 1D-случаях выглядит так:
.
Здесь координата φ принимает значения τ и χ, F(φ) – функция кинематических параметров (соответствует B(τ, χ) в 2D случае), V(φ) – одномерное сечение ППЭ по координате φ (в случае φ = τ это потенциальная функция внутреннего вращения).
После построения сечений ППЭ для системы опорных точек функции F, B и V аппроксимировали гармоническими функциями. Полученные выражения подставляли в приведенные выше гамильтонианы, уравнения Шрёдингера решали вариационным методом в мультипликативных базисах тригонометрических функций с помощью программ Torsio [12], Vib2D [13] и Vib3D, разработанных А. В. Абраменковым.
ОБСУЖДЕНИЕ РЕЗУЛЬТАТОВ
Геометрическое строение молекул и потенциалы внутреннего вращения
Наши расчеты показывают, что молекула CB1CA существует в виде двух конформеров цис и транс, имеющих плоскость симметрии, проходящую через все тяжелые атомы молекулы. Разность энергий конформеров ΔE = 733 см–1 (транс-конформер лежит ниже по энергии), а высота барьера внутреннего вращения Vt (транс→цис) = 2611 см–1 (см. рис. 2).
Рис. 2. Потенциальные функции внутреннего вращения молекул CB1CA и CB2CA (MP2/cc-pVTZ)
На ППЭ молекулы CB2CA имеется три различных минимума, отвечающие разным конформерам, ни один из которых не имеет плоскости симметрии. Циклобутеновое кольцо сохраняет почти плоское строение, а связь C2C1 выходит из плоскости кольца на ≈55° для гош-конформеров и ≈60° для транс-конформера. В этом молекула CB2CA сходна по строению с молекулой циклобутанкарбальдегида [4]: ее сечение ППЭ по торсионной координате можно представить как искаженное из-за потери симметрии сечение ППЭ молекулы циклобутанкарбальдегида, если учесть, что почти плоское кольцо CB2CA не увеличивает число конформеров молекулы за счет инверсии. Для молекулы CB2CA наши расчеты предсказывают существование трех конформеров: транс, в котором связь СО почти заслоняет связь C2H (∠OC1C2H = 4.9°), и двух гош-конформеров, в которых связь СО почти заслоняет неэквивалентные связи C2С3 и C2C4. Один из них мы обозначим гош1 (∠OC1C2H = –127.2°), а второй – гош2 (∠OC1C2H = 130.0°). Транс-конформер имеет самую низкую энергию; относительные энергии гош-конформеров следующие: ΔE (гош1) = 314 см–1 и ΔE (гош2) = 342 см–1. Барьеры внутреннего вращения составляют Vt (транс→ гош1) = 893 см–1 и Vt (транс→гош2) = 900 см–1.
Гармонические колебательные частоты
Для всех конформеров исследуемых молекул были рассчитаны гармонические частоты. Нас интересовала только низкочастотная область спектра. Первые три низкочастотных колебания для всех молекул приведены в табл. 1.
Таблица 1. Волновые числа колебаний низкочастотной области спектра молекул CB1CA и CB2CA, рассчитанные в гармоническом приближении (см–1)
Отнесение | CB1CA | CB2CA | |||
транс | цис | транс | гош1 | гош2 | |
CHO неплоское деф. (Aʺ) | 242 | 203 | 355 | 259 | 261 |
CHO плоское деф. (A´) | 181 | 199 | 155 | 191 | 173 |
Торсионное (Aʺ) | 123 | 115 | 85 | 83 | 92 |
Примечания: Приведенное в таблице отнесение выполнено условно из-за сложных форм колебаний. Указание неприводимого представления точечной группы симметрии CS для колебаний строго верно только для молекулы CB1CA. Для CB2CA такое отнесения является приближенным (точечная группа молекулы С1).
Из табл. 1 видно, что низкочастотное колебание, которое традиционно относят к внутреннему вращению, может смешиваться с ближайшим колебанием той же симметрии (Aʺ), т. е. с неплоским деформационным колебанием CHO-группы.
Ангармонические модели колебаний
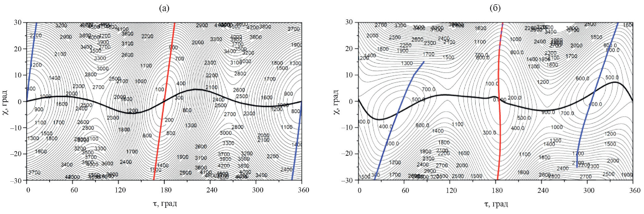
Для оценки необходимости учета сложного характера движения мы рассмотрели 1D- и 2D-ангармонические модели. Для этого были построены сечения ППЭ по координатам внутреннего вращения и деформационного колебания CHO-группы. Координатами внутреннего вращения были выбраны для CB1CA τ = ∠OC1C2C3 и χ угол поворота формильной группы относительно оси XC2 (где X – фиктивный атом, лежащий в плоскости C3C2C4 так, что прямая XC2 перпендикулярна связи C1C2). Для молекулы CB2CA координатами выступали τ = ∠OC1C2C6 и c – угол поворота формильной группы относительно оси XC2 (здесь X – фиктивный атом, лежащий на прямой, проходящей через атом С2 и перпендикулярной плоскости C3C2C4). Карты 2D сечений ППЭ приведены на рис. 3.
Рис. 3. Карты 2D-сечений ППЭ молекул CB1CA и CB2CA. Энергии приведены в см–1
На картах 2D сечений одномерные пути минимальной энергии представлены жирными линиями. Видно, что для молекулы CB1CA два рассматриваемых движения связаны между собой, но не сильно. Кривизна одномерных путей вблизи минимумов ППЭ отвечает естественной релаксации геометрических параметров, связанной в том числе с понижением симметрии системы. Взаимосвязь двух движений в молекуле CB2CA выражена более ярко. Особенно это заметно в окрестностях ям обоих гош-конформеров и выражается в большей кривизне путей и отклонениях их как от вертикального, так и горизонтального направлений. На некотором удалении от минимума каждого гош-конформера при движении по координате c молекула CB2CA в результате оптимизации геометрических параметров перескакивает в область соседнего конформера (однако это происходит при энергиях выше 1500 см–1 и в нашем исследовании не учитывается).
Для анализа взаимосвязи молекулярных движений следует рассмотреть также изменение кинематических факторов. Для колебательной задачи хорошее разделение движений вдоль двух координат возможно лишь в случае, если матрица кинематических параметров B(τ, χ) практически диагональна хотя бы в окрестностях точек ППЭ, отвечающих равновесным геометрическим конфигурациям.
На рис. 4 показано, как меняются величины B(τ, χ) при движении вдоль пути минимальной энергии, отвечающему внутреннему вращению, т. е. зависимость от τ. Из рисунка видно, что для молекулы CB1CA во всей области изменения t модуль перекрестного члена |Bτχ|, отвечающего за взаимосвязь движений, всегда заметно меньше Bττ и Bχχ. Однако |Bτχ| принимает максимальные значения при равновесных геометрических параметрах и минимальное – вблизи точки, отвечающей барьеру внутреннего вращения.
Рис. 4. Зависимости кинематических факторов от угла внутреннего вращения
Для гош-конформеров молекулы CB2CA величины B(τ, χ) близки к полученным для обоих конформеров молекулы CB1CA. Однако для транс-конформера CB2CA Bχχ < |Bτχ| < Bττ, что свидетельствует о сильной кинематической взаимосвязи движений в транс-конформере.
Таким образом, анализируя форму 2D-сечений ППЭ и поведение кинематических факторов обеих молекул, можно предположить, что внутреннее вращение может быть взаимосвязано с деформационным низкочастотным колебанием по-разному в зависимости рассматриваемого конформера. Основные причины, которые обеспечивают взаимосвязь сложную форму торсионного движения:
цис- и транс-CB1CA: форма ППЭ и поведение кинематических факторов;
гош1- и гош2-CB2CA: форма ППЭ;
транс- CB2CA: поведение кинематических факторов.
Представленные выводы не противоречат проеденному анализу формы 2D колебательных волновых функций (из-за большого объема графического материала мы их в статье не приводим).
Также хорошим способом диагностики колебательной взаимосвязи служит сравнение энергий торсионных переходов, рассчитанных в 1D и 2D приближениях. Численные данные для такого сравнения представлены в табл. 2. Из таблицы видно, что во всех случаях результаты, полученные в приближениях разной размерности, отличаются, что может быть объяснено указанными выше причинами и несколько разным качеством аппроксимации функций V, B, F. Последний фактор незначителен – мы старались свести его к минимуму, повышая точность аппроксимаций. Отметим, что a priori нельзя легко предсказать направление изменения энергий переходов.
Таблица 2. Волновые числа (см–1) торсионных переходов молекул CB1CA и CB2CA
Отнесение | CB1CA | CB2CA | ||||||||
транс | цис | транс | гош1 | гош2 | ||||||
1D | 2D | 1D | 2D | 1D | 2D | 1D | 2D | 1D | 2D | |
0→1 | 151 | 156 | 114 | 104 | 112 | 82 | 84 | 90 | 89 | 94 |
0→2 | 301 | 310 | 226 | 207 | 222 | 164 | 165 | 177 | 174 | 183 |
0→3 | 448 | 461 | 338 | – | 328 | 247 | 244 | 262 | 256 | 264 |
Обратим внимание на транс-конформер, в котором наблюдается максимальное различие в энергиях – 30 см–1. При этом гармоническое приближение (85 см–1) и 2D (82 cм–1) дают близкие результаты, но сильно отличающиеся от 1D расчета (112 см–1). Наш анализ показывает, что это результат сложного характера колебания, обусловленного особенностями оператора кинетической энергии.
ВЫВОДЫ
В работе сделана попытка анализа формы низкочастотных колебаний двух модельных молекулярных систем, отличающихся ориентацией ротора (формильной группы), что могло сказаться на разном поведении и величинах кинематических факторов. С точки зрения методики дальнейшего исследования идеальная картина отвечала бы ситуации, в которой в разных молекулах или разных конформерах одной и той же молекулы доминировал какой-то один из механизмов колебательной взаимосвязи (форма ППЭ или поведение кинематических факторов). Однако картина получилась смешанная, и только в транс-конформере CB2CA мы можем диагностировать сильную взаимосвязь колебаний именно за счет поведения кинематических факторов. Но даже в остальных случаях представленные результаты указывают на необходимость если не полного расчета, то, как минимум, качественных оценок степени колебательной взаимосвязи в исследуемых и близких к ним по геометрическому строению молекулах.
Работа выполнена на средства гранта РНФ 22-23-00463 (https://rscf.ru/project/22-23-00463/).
1 Иркутская обл., пос. Чара, 3–7 июля 2023 года.
About the authors
В. А. Батаев
Московский государственный университет им. М. В. Ломоносова
Author for correspondence.
Email: bataevva@my.msu.ru
Russian Federation, Москва
С. С. Степин
Московский государственный университет им. М. В. Ломоносова
Email: bataevva@my.msu.ru
Russian Federation, Москва
References
- Godunov I.A., Bataev V.A., Abramenkov A.V., Pupyshev V.I. // J. Phys. Chem. A. 2014. V. 118. № 44. P. 10159. doi: 10.1021/jp509602s.
- Bataev V.A., Abramenkov A.V., Godunov I.A. // J. Quant. Spectrosc. Radiat. Transf. 2020. V. 255. P. 107205. doi: 10.1016/j.jqsrt.2020.107205
- Bataev V.A., Pupyshev V.I., Godunov I.A. // Spectrochim. Acta A. 2016. V. 161. P. 155. 10.1016/j.saa.2016.02.029
- Bataev V.A., Styopin S.S. // Comput. Theor. Chem. 2023. V. 1220. P. 113994. doi: 10.1016/j.comptc.2022.113994
- Bataev V.A., Styopin S.S. // Mendeleev Commun. 2023. V. 33. № 3. P. 416. doi: 10.1016/j.mencom.2023.04.037
- Morales-Bayuelo A., Pan S., Caballero J., Chattaraj P.K. // Phys. Chem. Chem. Phys. 2015. V. 17. № 35. P. 23104. doi: 10.1039/C5CP02647D
- Larrañaga O., de Cózar A. // ChemPhysChem. 2020. V. 21. № 16. P. 1805. doi: 10.1002/cphc.202000451
- Werner H.J., Knowles P.J., Knizia G. et al. MOLPRO, version 2010.1. A Package of Ab Initio Programs. http://www.molpro.net
- Harthcock M.A., Laane J. // J. Mol. Spectrosc. 1982. V. 91. № 2. P. 300. doi: 10.1016/0022-2852(82)90147-3
- Harthcock M.A., Laane J. // J. Phys. Chem. 1985. V. 89. № 20. P. 4231. doi: 10.1021/j100266a017
- Lewis J.D., Malloy T.B., Chao T.H., Laane J. // J. Mol. Struct. 1972. V. 12. № 3. P. 427. doi: 10.1016/0022-2860(72)87050-9
- Абраменков А.В. // Журн. физ. химии. 1995. Т. 69. № 6. С. 1048 [Abramenkov A.V. // Rus. J. Phys. Chem. 1995. V. 69. № 6. P. 948.]
- Bataev V.A., Pupyshev V.I., Abramenkov A.V., Godunov I.A. // Russ. J. Phys. Chem. 2000. V. 74. P. S279.
Supplementary files






