Удаление фосфатов из водных растворов с помощью статической сорбции на золошлаковом сорбенте. анализ коэффициентов распределения на основе изотерм адсорбции
- Authors: Короткова Т.Г.1, Заколюкина А.М.1, Бушумов С.А.1
-
Affiliations:
- Кубанский государственный технологический университет
- Issue: Vol 98, No 10 (2024)
- Pages: 97–109
- Section: PHYSICAL CHEMISTRY OF DISPERSED SYSTEMS AND SURFACE PHENOMENA
- Submitted: 09.03.2025
- Accepted: 09.03.2025
- Published: 11.10.2024
- URL: https://medbiosci.ru/0044-4537/article/view/282911
- DOI: https://doi.org/10.31857/S0044453724100153
- EDN: https://elibrary.ru/EAQQAM
- ID: 282911
Cite item
Full Text
Abstract
Проведены экспериментальные исследования статической сорбции в системе фосфаты – сорбент при дозах сорбента 1, 2 и 5 г в диапазоне начальных концентраций фосфатов в растворе от 2 до 5000 мг/дм3. В качестве сорбента исследован прокаленный сорбент на основе золошлаковых отходов теплоэнергетики. Исследования проведены на частоте вращения магнитной мешалки 200 об./мин при водородном показателе рН 7 и времени сорбции 120 мин, найденным в результате оптимизации. Температура при проведении экспериментальных исследований составляла 25±2°C. Выявлено наличие максимума коэффициента распределения Kd и эффективности очистки. Полученные данные обработаны двухпараметрическими изотермами адсорбции Ленгмюра, Фрейндлиха, Еловича, Темкина и Дубинина–Радушкевича. Методом линеаризации определены константы изотерм адсорбции. Приведено сравнение расчетных и экспериментальных данных. Выполнен теоретический анализ изотерм адсорбции для описания зависимости коэффициента распределения Kd от начальной C0 и равновесной Ce концентраций адсорбтива в растворе. Для изотерм Ленгмюра, Фрейндлиха и Еловича функции Kd = f(Ce) и Kd = f(C0) являются монотонно убывающими во всем диапазоне изменения адсорбтива в растворе. Для изотерм Темкина и Дубинина–Радушкевича производная функции dKd /dCe меняет свой знак с плюса на минус, что является достаточным условием существования максимума функции. Функции Kd = f(Ce) и Kd = f(C0) имеют максимум при небольших концентрациях Ce. Качественное описание экспериментальных данных максимума коэффициента распределения Kd получено с использованием изотерм Темкина и Дубинина–Радушкевича. Адекватное количественное описание экспериментальных данных максимума функции Kd = f(C0) получено с использованием изотермы Темкина при дозе сорбента 1 г, а при дозе сорбента 2 г – по изотерме Дубинина–Радушкевича. Изотермы Темкина и Дубинина–Радушкевича применены для описания коэффициента распределения Kd = f(Ce) в системе ионы аммония – сорбент. Выявлен максимум функции при малых концентрациях ионов аммония в растворе, сравнение расчетных и экспериментальных данных показало качественное согласование теории и эксперимента.
Full Text
Введение
Вопросу удаления ионов аммония и фосфатов из водных растворов, в том числе сточных вод, посвящено большое количество работ, направленных на исследование сорбционной емкости адсорбентов и их возможном применении в производственных масштабах [1–3]. Наибольшей поглотительной способностью обладают природные цеолиты и модифицированные материалы. Динамическая емкость природного сорбента (дисперсного кремнезема – опоки) по иону аммония составляет 2.37–5.34 мг/г при скорости потока 1.76–0.44 см/мин, соответственно [4], сорбционная емкость: цеолит 9.5–13.7 мг/г, цеолитовый клиноптилолит 12.29 мг/г, цеолит натуральный китайский 9.41 мг/г, углеродные нанотрубки 17.05 мг/г, аэробные гранулы 24.5 мг/г [1], натуральные минералы (бентонит) 4.22–4.92 мг/г [5]. Сорбционная емкость по фосфатам: цеолит 0.69 мг/г, биоуголь 3.6 мг/г, композит цеолит-биоуголь 2.41 мг/г [6], эфиопская рифтовая пемза 0.2779 мг/г [7].
В связи с ценностью природных адсорбентов в настоящее время для очистки сточных вод широко исследуются отходы производства в нативном и модифицированном видах: активированный уголь, полученный из кокосовой скорлупы [8], активированный уголь, полученный из отработанных шин (покрышек) методом пиролиза [9], стальной шлак электродуговой печи с высоким содержанием кальция [10]. Большое внимание уделено золе уноса и золошлаку теплоэнергетики, занимающими значительные площади на золоотвалах [11–13].
Нами разработан сорбент на основе золошлаковых отходов Новочеркасской ГРЭС, физико-химические свойства которого приведены в [14]. Сорбент получен путем прокаливания в течение 30 мин при температуре 600°C (прокаленный сорбент) и апробирован на удалении нефтепродуктов [15] и ионов аммония из водных растворов [16, 17]. Максимальная величина адсорбции составила 1.1251 мг/г при дозе сорбента 1 г [16] и 1.0864 мг/г при дозе сорбента 2 г [17]. Было обнаружено, что с ростом начальной концентрации ионов аммония C0 коэффициент распределения Kd имеет максимум при малых концентрациях. Аналогичную зависимость имеет и эффективность очистки E в силу пропорциональности этих величин. Максимум эффективности очистки получен нами при удалении сорбентом нефтепродуктов [15].
Данная закономерность по эффективности очистки получена также в работах [18, 19], где приведены исследования при малых концентрациях ионов аммония [18] и аммиачного азота в растворе [19]. В работе [12] выявлено, что при увеличении начальной концентрации с 500 до 2000 мг/дм3 эффективность удаления фосфора синтетическим цеолитом возрастала до 57.6%, а при изменении начальной концентрации с 2000 до 8000 мг/дм3 она существенно снижалась. Исследователи объяснили это тем, что синтетический цеолит имел больше вакантных адсорбционных активных центров при более низкой исходной концентрации; однако если исходная концентрация фосфора в сточных водах превышала определенное значение, то большая часть активных участков оказывалась занятой, что приводило к снижению эффективности удаления.
Изменение эффективности удаления фосфатов и ионов аммония в зависимости от их начальной концентрации в исходном растворе обнаружено в работе [20], где большие различия наблюдались при низких концентрациях. Эффективность удаления снижалась, когда концентрация фосфатов превышала 200 мг/дм3, а ионов аммония 10 мг/дм3. Исследователи провели аналогию на похожие закономерности для фосфатов и ионов аммония.
Коэффициент распределения Kd (константа фазового равновесия) представляет собой согласно ГОСТ 32630–2014 отношение равновесной величины адсорбции Ae к равновесной концентрации адсорбтива в растворе после сорбции Ce и является функцией температуры, давления и состава равновесных фаз.
(1)
Исследованиям Kd при адсорбции посвящено большое количество работ [21–23] в основном в виде зависимости ln(Kd) = f(1/T), где T – температура процесса сорбции в K. В работе [21] Kd стронция и цезия определяли для системы песок – раствор. Результаты исследований сравнивали с Kd, являющимся параметром идентификации, найденным при обработке экспериментальных данных колоночной сорбции. В работе [23] для четырех значений температур (303, 313, 323, 333 К) исследован Kd для удаления 4-пиколина из сточной воды с использованием природной золы уноса при pH 6.22; C0 = 100 мг/дм3 и m = 4 г/дм3. Обзорная работа [22] охватывает результаты исследований, связанные с извлечением поллютантов геоматериалами (почвами и горными породами), где взаимодействие поллютантов с геоматериалами количественно оценено с помощью коэффициента распределения Kd. Помимо специфических свойств геоматериалов Kd зависит от значения рН порового раствора, температуры окружающей среды, типа и содержания веществ, присутствия микроорганизмов и т. д. В работе отмечено, что Kd варьируется в широких пределах, и методы, принятые для его определения, имеют свои ограничения и недостатки. Таким образом, исследователи критически оценивают эти методы, с тем чтобы они могли быть изменены или заменены новыми, которые могут быть легко внедрены для быстрого получения надежных результатов. С учетом вышеизложенного в своей работе авторы подчеркнули важность и роль параметров, влияющих на определение Kd.
В литературных источниках приводятся экспериментальные данные в системе ионы аммония – сорбент по исследованию Kd от температуры T при фиксированных значениях водородного показателя pH, начальной концентрации адсорбтива в растворе С0, дозе сорбента m и объеме исходного раствора V [24, 25].
Для описания фазового равновесия при статической сорбции в системе извлекаемый компонент – адсорбент разработаны термодинамически обоснованные и полуэмпирические изотермы адсорбции в виде зависимости между равновесной величиной адсорбции Ae (сорбционной емкостью) и равновесной концентрацией адсорбтива в растворе после сорбции Ce. Широкое применение получили изотермы Ленгмюра, Фрейндлиха, Темкина, Еловича и Дубинина–Радушкевича [18, 25–28]. Определение параметров изотермы адсорбции проводят методом линеаризации [28, 29]. В большинстве работ делается вывод о характере протекания и механизме процесса адсорбции на основании положения экспериментальных точек относительно расчетной кривой изотермы адсорбции.
Авторам не удалось обнаружить исследования коэффициента распределения Kd на основе анализа изотерм адсорбции в зависимости от дозы сорбента m, начальной C0 и равновесной Ce концентрации компонента в растворе в широком диапазоне изменения концентраций адсорбтива в растворе.
В данной статье приведены результаты экспериментальных исследований фазового равновесия статической сорбции в системе фосфаты – сорбент при дозах сорбента 1, 2 и 5 г в диапазоне начальных концентраций фосфатов в растворе от 2 до 5000 мг/дм3 и выполнен анализ изотерм адсорбции на возможность предсказания кривых зависимости коэффициента распределения Kd и эффективности извлечения E как функции от C0 и Ce. В качестве изотерм рассмотрены изотермы Ленгмюра, Фрейндлиха, Темкина, Еловича и Дубинина–Радушкевича.
Экспериментальная часть
Фазовое равновесие в системе фосфаты – прокаленный сорбент
Были приготовлены серии растворов с содержанием фосфатов 2, 5, 10, 20, 50, 100, 200, 300, 500, 1000, 2000 и 5000 мг/дм3: при дозе сорбента 1 г в диапазоне начальной концентрации от 2 до 1000 мг/дм3, при дозе сорбента 2 г – от 2 до 2000 мг/дм3 и при дозе сорбента 5 г – от 2 до 5000 мг/дм3. Объем исследуемого модельного раствора 50 см3. Оптическую плотность растворов определяли в аккредитованной в национальной системе аккредитации аналитической лаборатории ООО “Аналитическая лаборатория Кубани” на спектрофотометре ПЭ-5300ВИ (Россия). По оптической плотности D рассчитывали содержание фосфатов C, мг/дм3, по предварительно установленной градуировочной зависимости
(2)
Концентрацию фосфатов в растворах X, мг/дм3, определяли по выражению·
(3)
где C – содержание фосфатов, найденное по градуировочной характеристике, мг/дм3; V – объем аликвоты раствора, отобранный на анализ, см3; 50 – объем спектрофотометрируемого раствора, см3; p – коэффициент разбавления пробы.
По результатам оптимизации приняты следующие параметры статической сорбции: частота вращения магнитной мешалки ММ 2А (Чехия) 200 об./мин, водородный показатель рН 7, время сорбции 120 мин. Температура при проведении экспериментальных исследований составляла 25±2°C.
Результаты исследований приведены в табл. 1.
Таблица 1. Экспериментальные исследования фазового равновесия в системе фосфаты – прокаленный сорбент
C0, мг/дм3 | m, г | D | V, см3 | p | Ce, мг/дм3 | Ae, мг/г | Kd, дм3/г | E, % |
Доза сорбента 1 г | ||||||||
2 | 1.0004 | 0.052 | 25 | 1 | 0.145 | 0.0928 | 0.6380 | 92.803 |
5 | 1.0009 | 0.067 | 25 | 1 | 0.187 | 0.2405 | 1.2865 | 96.299 |
10 | 1.0013 | 0.052 | 15 | 1 | 0.242 | 0.4874 | 2.0111 | 97.601 |
20 | 0.9980 | 0.040 | 5 | 1 | 0.561 | 0.9742 | 1.7372 | 97.224 |
50 | 0.9983 | 0.081 | 0.5 | 1 | 11.288 | 1.9446 | 0.1723 | 77.652 |
100 | 1.0010 | 0.112 | 0.2 | 1 | 38.956 | 3.0689 | 0.0788 | 61.439 |
200 | 1.0022 | 0.085 | 0.05 | 1 | 118.420 | 4.1300 | 0.0349 | 41.391 |
300 | 1.0012 | 0.077 | 0.025 | 1 | 214.674 | 4.3698 | 0.0204 | 29.167 |
500 | 1.0009 | 0.059 | 1 | 100 | 412.003 | 4.6044 | 0.0112 | 18.434 |
1000 | 0.9997 | 0.131 | 1 | 100 | 910.728 | 4.9258 | 0.0054 | 9.849 |
Доза сорбента 2 г | ||||||||
2 | 2.0010 | 0.041 | 40 | 1 | 0.072 | 0.0482 | 0.6713 | 96.481 |
5 | 1.9994 | 0.040 | 25 | 1 | 0.112 | 0.1223 | 1.0903 | 97.802 |
10 | 2.0020 | 0.048 | 25 | 1 | 0.134 | 0.2465 | 1.8349 | 98.684 |
20 | 2.0008 | 0.038 | 15 | 1 | 0.178 | 0.4954 | 2.7882 | 99.130 |
50 | 1.9990 | 0.041 | 10 | 1 | 0.287 | 1.2436 | 4.3282 | 99.437 |
100 | 2.0010 | 0.046 | 5 | 1 | 0.644 | 2.4830 | 3.8561 | 99.369 |
200 | 1.9987 | 0.054 | 0.1 | 1 | 37.737 | 4.0783 | 0.1081 | 81.513 |
300 | 2.0015 | 0.072 | 0.5 | 10 | 100.410 | 5.0368 | 0.0502 | 67.208 |
500 | 2.0007 | 0.04 | 1 | 100 | 280.395 | 5.6301 | 0.0201 | 45.057 |
1000 | 2.0008 | 0.055 | 5 | 1000 | 768.591 | 6.1718 | 0.0080 | 24.697 |
2000 | 2.0015 | 0.254 | 1 | 100 | 1762.717 | 6.8196 | 0.0039 | 13.649 |
Доза сорбента 5 г | ||||||||
2 | 5.0020 | 0.036 | 40 | 1 | 0.063 | 0.0194 | 0.3070 | 97.001 |
5 | 4.9987 | 0.037 | 25 | 1 | 0.104 | 0.0490 | 0.4721 | 98.028 |
10 | 5.0013 | 0.037 | 25 | 1 | 0.104 | 0.0990 | 0.9532 | 99.014 |
20 | 4.9991 | 0.038 | 25 | 1 | 0.107 | 0.1990 | 1.8667 | 99.494 |
50 | 4.9987 | 0.044 | 25 | 1 | 0.123 | 0.4990 | 4.0487 | 99.766 |
100 | 4.9991 | 0.047 | 25 | 1 | 0.132 | 0.9989 | 7.5934 | 99.875 |
200 | 4.9999 | 0.055 | 25 | 1 | 0.154 | 1.9986 | 13.0016 | 99.927 |
300 | 4.9990 | 0.065 | 25 | 1 | 0.181 | 2.9989 | 16.5295 | 99.943 |
500 | 4.9991 | 0.048 | 0.5 | 10 | 67.162 | 4.3631 | 0.0650 | 87.247 |
1000 | 4.9986 | 0.056 | 1 | 100 | 391.222 | 6.2874 | 0.0161 | 62.857 |
2000 | 4.9999 | 0.097 | 0.5 | 100 | 1350.438 | 7.1791 | 0.0053 | 35.895 |
5000 | 5.0001 | 0.127 | 2 | 1000 | 4415.106 | 8.0829 | 0.0018 | 16.166 |
Обозначения: C0 – начальная концентрация фосфатов в растворе, m – масса сорбента, D – оптическая плотность раствора, V – аликвота раствора, взятая на анализ, p – коэффициент разбавления пробы, Ce – равновесная концентрация фосфатов в растворе после сорбции, Ae – равновесная величина адсорбции, Kd – коэффициент распределения, E – эффективность извлечения фосфатов.
Равновесная величина адсорбции (сорбционная емкость) Ae, мг/г, прокаленного сорбента по отношению к фосфатам вычислена с учетом порового объема сорбента
(4)
где V – объем исходного раствора (V = 0.05 дм3); vp – удельный поровый объем прокаленного сорбента (vp = 0.506×10–3 дм3/г) [14]; m – масса сорбента, г.
Эффективность извлечения фосфатов E,%, определена как отношение количества фосфатов, поглощенных чистым прокаленным сорбентом, к количеству фосфатов в исходном растворе, выраженное в процентах
(5)
Анализ экспериментальных данных (табл. 1) показывает, что при дозах прокаленного сорбента 1, 2 и 5 г коэффициент распределения Kd и эффективность извлечения E имеют максимум при изменении концентрации фосфатов от 2 до 1000 мг/дм3, которые сдвигаются в сторону больших концентраций с увеличением дозы сорбента. При дозе сорбента 1 г при C0 = 10 мг/дм3, Kd = 2.0111 дм3/г, а E = 97.601%. При дозе сорбента 5 г при C0 = 300 мг/дм3, Kd = 16.5295 дм3/г, а E = 99.943%.
Выполним анализ двухпараметрических изотерм адсорбции Ленгмюра, Фрейндлиха, Еловича, Темкина и Дубинина–Радушкевича и проведем обработку экспериментальных данных фазового равновесия статической сорбции.
Теоретический анализ двухпараметрических изотерм адсорбции
Изотерма Ленгмюра. Изотерма Ленгмюра имеет вид
(6)
где Ae, Ce – равновесные значения величины адсорбции и концентрации адсорбтива в растворе после сорбции, мг/г и мг/дм3 соответственно; Amax – максимальное значение величины адсорбции, мг/г; kL – константа Ленгмюра, дм3/мг.
Используют пять выражений линеаризации изотермы Ленгмюра [28]. Широкое распространение получило выражение вида
(7)
Линейная зависимость строится в координатах
(8)
Аппроксимация экспериментальных данных прямой (7) позволяет определить Amax и kL. Если экспериментальные значения располагаются близко к прямой и аппроксимация имеет высокий коэффициент детерминации R2, то можно сделать вывод о гомогенном мономолекулярном процессе адсорбции адсорбата на активных центрах сорбента, обладающих равной энергией независимо от их расположения.
Коэффициент распределения KdL, дм3/г, связан с равновесными значениями величины адсорбции (сорбционной емкостью) и концентрацией адсорбтива в растворе после сорбции соотношением
(9)
Тогда с учетом уравнения (6) получим
(10)
Анализ уравнения (10) показывает, что с возрастанием Ce, а, следовательно, и C0 в силу их пропорциональности, величина KdL является монотонно убывающей функцией.
Изотерма Фрейндлиха. Изотерма Фрейндлиха имеет вид
(11)
где kF – константа Фрейндлиха, дм3/г; 1/n – коэффициент неоднородности.
Линеаризация изотермы Фрейндлиха записывается выражением вида
(12)
Линейная зависимость строится в координатах
(13)
Аппроксимация экспериментальных данных прямой (12) позволяет определить kF и n. При высоком коэффициенте детерминации R2 можно предположить о характере многослойной адсорбции на гетерогенной поверхности с центрами адсорбции, характеризующимися разной энергией, имеющей экспоненциальное распределение.
Уравнение для расчета коэффициента распределения KdF, дм3/г
(14)
Анализ уравнения (14) показывает, что с возрастанием Ce величина KdF также является монотонно убывающей функцией. Следовательно функции KdF = f(Ce) и KdF = f(C0) – монотонно убывающие.
Изотерма Еловича. Изотерма Еловича имеет вид
(15)
где AmE – максимальная сорбционная емкость, мг/г; kE – константа Еловича, дм3/мг.
Линеаризация изотермы Еловича
(16)
Линейная зависимость строится в координатах
(17)
Аппроксимация экспериментальных данных прямой (16) позволяет определить AmE и kE. Вычисление Ae проводится одним из итерационных методов путем задания начального приближения по Ae с последующим уточнением до достижения сходимости между заданным и расчетным значением Ae с некоторой точностью. При описании с высокой точностью экспериментальных данных изотермой Еловича судят о многослойной адсорбции, сопровождающейся экспоненциальным ростом центров адсорбции по мере протекания процесса адсорбции.
Уравнение для расчета коэффициента распределения KdE, дм3/г, не содержит Сe
(18)
Величина Ae пропорциональна значениям С0 и Сe. Анализ уравнения (18) показывает, что с ростом Ae функция является монотонно убывающей. Следовательно, функции KdE = f(Ce) и KdE = f(C0) – также монотонно убывающие.
Изотерма Темкина. Изотерма Темкина имеет вид
(19)
где BT – константа, характеризующая теплоту адсорбции, Дж г/(моль мг); kT – константа Темкина, соответствующая максимальной энергии связывания, дм3/мг; R = 8.314 – универсальная газовая постоянная, Дж/(моль К); T – температура, К.
Линеаризация изотермы Темкина
(20)
Линейная зависимость строится в координатах
(21)
Изотерма Темкина, как и Ленгмюра, характеризует мономолекулярный процесс адсорбции адсорбата на активных центрах сорбента, обладающих равной энергией. Отличительной особенностью является учет энергетического взаимодействия между центрами адсорбции и поглощенным компонентом (адсорбатом).
Уравнение для расчета коэффициента распределения KdT, дм3/г
(22)
В уравнении (22) величина Ce находится в знаменателе и в числителе под знаком логарифма. Наличие коэффициентов kT и BT /RT при Ce не дает возможности судить о монотонности данной функции. Оценим функцию (22) на наличие экстремума. Обозначим KdT через y, Ce через x, RT/BT через a и kT через b. Тогда уравнение (22) примет вид
(23)
Для нахождения экстремума найдем производную функции (23) и приравняем ее к нулю.
(24)
Величина a > 0. Тогда при x > 0 производная функции равна нулю при ln(bx) = 1.
Получим
(25)
Если
x < x0, то ln(bx) < 1, (26)
cледовательно, dy/dx > 0.
Если
x > x0, то ln(bx) > 1, (27)
cледовательно, dy/dx < 0.
Найдем значение выражения 1 – ln(bx) при двух значениях переменной x, меньше и больше x0: x = e/(2b) и x = 2e/b.
Получим
Таким образом, при возрастании величины x производная функции меняет свой знак с положительного на отрицательный, что является достаточным условием существования максимума функции.
Изотерма Дубинина–Радушкевича. Изотерма Дубинина–Радушкевича имеет вид
(28)
где Am – максимальное значение величины адсорбции, мг/г; kDR – константа Дубинина–Радушкевича, моль2/кДж2; ε – потенциал Поляни, кДж/моль; R – универсальная газовая постоянная R = 8.314×10–3 кДж/(моль К); T – температура, К.
Линеаризация изотермы Дубинина–Радушкевича
(29)
Линейная зависимость строится в координатах
(30)
Аппроксимация экспериментальных данных прямой (29) позволяет определить Am и kDR. Изотерму Дубинина–Радушкевича применяют для оценки физической либо химической адсорбции.
Уравнение для расчета коэффициента распределения KdDR, дм3/г, примет вид
(31)
По уравнению (31) сложно предсказать характер изменения данной функции. Оценим функцию (31) на наличие экстремума. Обозначим KdDR через y, Ce через x, Am через a, kDR через b и RT через c. Тогда уравнение (31) примет вид
(32)
Для нахождения экстремума найдем производную функции (32) и приравняем ее к нулю.
(33)
Так как b > 0, с > 0 и в знаменателе под знаком логарифма выражения (33) число больше 1, то знаменатель при x > 0 является положительным числом. Приравняем к нулю числитель и учтем, что a > 0. Обозначим 2bc2 через d. Тогда
(34)
Уравнение (34) не имеет аналитического решения. Корень функции может быть найден одним из численных методов. Для выявления характера функции найдем величину d при двух значениях параметра x: при x = 1/e и x = e.
(35)
Если d > 1.0416 – функция уравнения (35) положительная, если d < 1.0416 – отрицательная.
(36)
Если d > 11.87 – функция уравнения (35) положительная, если d < 11.87 – отрицательная.
Таким образом, если величина d < 1.0416 или d > 11.87 функция является возрастающей либо убывающей. Если 1.0416 < d < 11.87, то функция (уравнение (35)) на данном интервале меняет свой знак с положительного на отрицательный. Следовательно, производная функции (уравнение (33)) в интервале 1.0416 < d < 11.87 меняет свой знак с плюса на минус, что свидетельствует о существовании максимума функции.
Определение параметров изотерм адсорбции и построение графических зависимостей
Параметры изотерм адсорбции, найденные методом линеаризации, приведены в табл. 2. Сравнение экспериментальных и расчетных данных зависимости равновесной величины адсорбции Ae от равновесной концентрации Сe фосфатов в растворе приведено на рис. 1 для различных диапазонов изменения Сe. Для малых значений равновесных концентраций фосфатов Сe в растворе после сорбции (рис. 1б) лучшее описание дает изотерма Дубинина–Радушкевича. При больших концентрациях Сe > 35 мг/дм3 – изотерма Темкина (рис. 1а).
Таблица 2. Параметры изотерм адсорбции
Изотерма адсорбции | Единица измерения | Параметр | Значение | ||
Доза сорбента | |||||
1 г | 2 г | 5 г | |||
Ленгмюр | мг/г | Amax | 4.9358 | 6.7705 | 8.0515 |
дм3/мг | kL | 0.0718 | 0.0546 | 0.0322 | |
– | R2 | 0.9984 | 0.9976 | 0.9983 | |
Темкин | Дж г/(моль мг) | BT | 4413.989 | 3937.028 | 3687.961 |
дм3/мг | kT | 7.9959 | 26.4618 | 28.5864 | |
– | R2 | 0.9849 | 0.9791 | 0.9342 | |
Дубинин–Радушкевич | мг/г | Am | 3.5434 | 5.2814 | 8.8560 |
моль2/кДж2 | kDR | 0.1436 | 0.1166 | 0.1196 | |
– | R2 | 0.9508 | 0.9908 | 0.8325 | |
Елович | мг/г | AmE | 0.9188 | 1.1322 | 1.2502 |
дм3/мг | kE | 2.154 | 2.939 | 2.850 | |
– | R2 | 0.9329 | 0.8223 | 0.6135 | |
Фрейндлих | – | n | 2.6302 | 2.5981 | 2.7473 |
дм3/г | kF | 0.5675 | 0.6672 | 0.6307 | |
– | R2 | 0.8676 | 0.7552 | 0.5715 | |
Примечание: R2 – коэффициент детерминации.
Рис. 1. Зависимости Ae от Ce для дозы сорбента 2 г: при изменении Ce до 2000 мг/дм3 (а); при изменении Ce до 0.7 мг/дм3 (б); 1 – эксперимент, изотермы: Темкина (2), Еловича (3), Ленгмюра (4), Дубинина–Радушкевича (5), Фрейндлиха (6).
Экспериментальные значения эффективности извлечения E фосфатов из раствора в зависимости от начальной концентрации фосфатов в растворе C0 приведены на рис. 2, где цифрами показаны дозы сорбента. С увеличением дозы сорбента высокое значение эффективности извлечения E отвечает большему диапазону начальной концентрации фосфатов в растворе C0. Например, для дозы сорбента 5 г при малых концентрациях C0 от 2 до 10 мг/дм3 E возрастает, для C0 от 10 до 300 мг/дм3 E > 99% и для C0 > 300 мг/дм3 снижается, т. е. наблюдается максимум функции.
Рис. 2. Экспериментальная зависимость E от C0 для доз сорбента: 1 (1), 2 (2), 5 г (3).
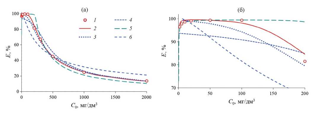
На рис. 3 приведено сравнение экспериментальных и расчетных значений E по моделям адсорбции при различных диапазонах изменения C0 для дозы сорбента 2 г.
Рис. 3. Сравнение экспериментальных и расчетных значений эффективности извлечения фосфатов из раствора по моделям адсорбции для дозы сорбента 2 г: при изменении C0 до 2000 мг/дм3 (а); при изменении C0 до 200 мг/дм3 (б); 1 – эксперимент, изотермы: Темкина (2), Еловича (3), Ленгмюра (4), Дубинина–Радушкевича (5), Фрейндлиха (6).
Изотерма Дубина–Радушкевича предсказывает высокую эффективность извлечения фосфатов при изменении C0 от 2 до 200 мг/дм3. Наилучшее согласование экспериментальных и расчетных данных по эффективности извлечения фосфатов получено по изотерме Темкина.
Коэффициент распределения смеси фосфаты – сорбент
Предварительно построим графические зависимости производных по уравнению (37) (изотерма Темкина) (рис. 4) и по уравнению (38) (изотерма Дубинина–Радушкевича (рис. 5). Уравнения (37) и (38) записаны на основе уравнений (24) и (33) путем обратной замены переменных.
(37)
(38)
Рис. 4. Графическая зависимость производной по уравнению (37) (изотерма Темкина) для дозы сорбента: 1 (1), 2 (2) и 5 г (3).
Рис. 5. Графическая зависимость производной по уравнению (38) (изотерма Дубинина–Радушкевича) для дозы сорбента: 1 (1), 2 (2) и 5 г (3).
Обе графические зависимости показывают наличие корня функции (рис. 4 и рис. 5), при котором производная dKd/dCe равна 0. Обе функции меняют знак с плюса на минус, что подтверждает наличие максимума функций KdT = f(Ce), KdT = f(C0) и KdDR = f(Ce), KdDR = f(C0). В табл. 3 приведены корни функций уравнений (37) и (38).
Таблица 3. Корни функций уравнений (37) и (38)
Изотерма адсорбции | Производная | Доза сорбента | ||
1 г | 2 г | 5 г | ||
Ce, мг/дм3 | ||||
Темкин | 0.3399594578 | 0.1027247515 | 0.0950900368 | |
Дубинин–Радушкевич | 0.6470993381 | 0.5255312924 | 0.5395529883 | |
Для вычисления коэффициента распределения Kd выполнены расчеты равновесной сорбционной емкости Ae по изотермам адсорбции путем задания равновесных концентраций фосфатов Ce в растворе. Для построения зависимости Kd = f(C0) начальная концентрация фосфатов C0 определена из уравнения (4). Объем раствора принят равным V = 0.05 дм3 как при проведении экспериментальных исследований для возможности сравнения расчетных и экспериментальных Kd
(39)
Расчет C0 проведен по следующему алгоритму: задавались значением Ce, по уравнению изотермы адсорбции вычисляли Ae, по уравнению (39) определяли C0, зная Ae и Ce рассчитывали Kd по уравнению (1) и строили зависимость Kd = f(C0).
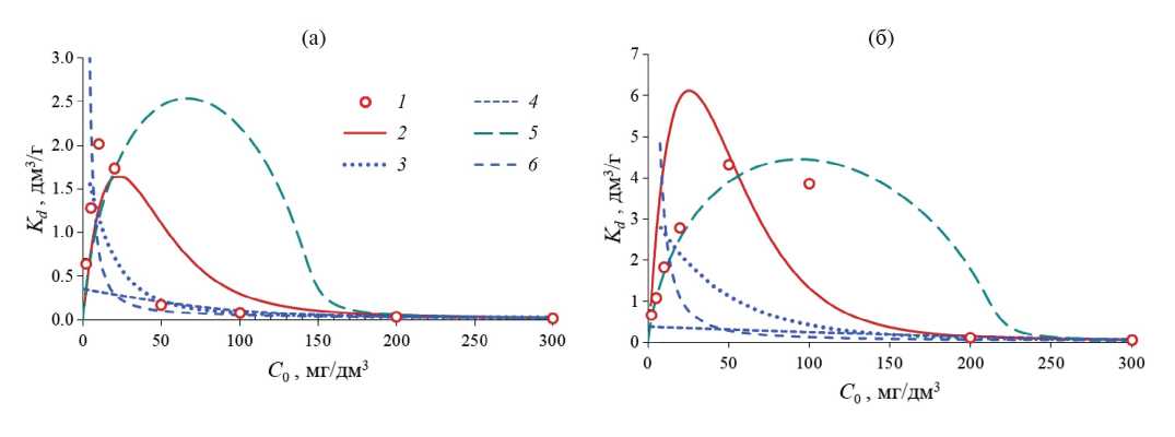
На рис. 6 приведены зависимости Kd от C0 для доз сорбента 1 г и 2 г. Расчет Kd с использованием изотерм адсорбции Фрейндлиха и Еловича показал резко убывающую монотонную кривую, с использованием изотермы Ленгмюра эта зависимость является практически прямой линией с низкими значениями Kd, а с использованием изотерм Темкина и Дубинина–Радушкевича обе зависимости имеют максимум в области низких концентраций C0. Такое поведение Kd было теоретически получено выше на основе анализа изотерм адсорбции.
Рис. 6. Зависимости коэффициента распределения Kd от начальной концентрации фосфатов C0 в растворе для дозы сорбента:1 (а) и 2 г (б); 1– эксперимент, изотермы: Темкина (2), Еловича (3), Ленгмюра (4), Дубинина–Радушкевича (5), Фрейндлиха (6).
Сравнение кривых с использованием изотерм Темкина и Дубинина–Радушкевича (рис. 6) показывает, что зависимость Kd = f(C0) с использованием изотермы Темкина имеет ярко выраженный максимум при малых концентрациях C0 от 15 до 20 мг/дм3, а максимум с использованием изотермы Дубинина–Радушкевича расположен в диапазоне C0 от 60 до 80 мг/дм3 (рис. 6а).
Качественное описание экспериментальных данных максимума функции получено с использованием изотерм Темкина и Дубинина–Радушкевича. На наш взгляд, лучшее описание при дозе сорбента 1 г получено с использованием изотермы Темкина, а при дозе сорбента 2 г – по изотерме Дубинина–Радушкевича.
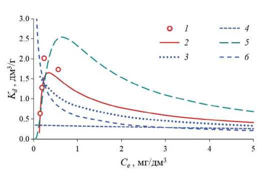
В качестве примера на рис. 7 приведена графическая зависимость коэффициента распределения Kd от равновесной концентрации фосфатов в растворе Ce для дозы сорбента 1 г. Лучшее описание экспериментальных данных максимума функции получено с использованием изотермы Темкина, что объясняется пропорциональностью Ce и C0 и подтверждает результаты, приведенные на рис. 6а).
Рис. 7. Зависимости коэффициента распределения Kd от равновесной концентрации фосфатов Ce в растворе для дозы сорбента 1 г; 1 – эксперимент, изотермы: Темкина (2), Еловича (3), Ленгмюра (4), Дубинина–Радушкевича (5), Фрейндлиха (6).
Проведенные исследования показали, что зависимость Kd от Ce и C0 для смеси фосфаты – сорбент имеет максимум при низких концентрациях фосфатов в исходном растворе C0. Изотермы Ленгмюра, Фрейндлиха и Еловича не применимы для зависимости Kd = f(Ce) или Kd = f(C0), имеющей экстремум. Адекватное описание данной зависимости получено при использовании изотерм Темкина и Дубинина–Радушкевича.
Коэффициент распределения смеси ионы аммония – сорбент
В работе [16] нами приведены экспериментальные данные по фазовому равновесию в системе ионы аммония – сорбент при дозе сорбента 1 г (табл. 4), которые представлены в виде полученной зависимости Ae = f(Ce) на основе изотерм Ленгмюра и Фрейндлиха. Экспериментальная зависимость Kd = f(Ce) имеет максимум функции при Ce = 13.969 мг/дм3 (C0 = 20 мг/дм3).
Таблица 4. Экспериментальные исследования фазового равновесия в системе ионы аммония – прокаленный сорбент [16]
С0, мг/дм3 | Ce, мг/дм3 | Ae, мг/г | Kd, дм3/г | E, % |
5 | 3.833 | 0.06029 | 0.0157 | 24.120 |
20 | 13.969 | 0.30790 | 0.0220 | 30.864 |
30 | 22.665 | 0.37863 | 0.0167 | 25.214 |
50 | 40.498 | 0.49522 | 0.0122 | 19.825 |
100 | 86.441 | 0.71991 | 0.0083 | 14.436 |
200 | 184.638 | 0.86038 | 0.0047 | 8.617 |
300 | 283.698 | 0.96224 | 0.0034 | 6.387 |
Обозначения: С0 – исходная концентрация ионов аммония в растворе, Ce – равновесная концентрация ионов аммония в растворе после сорбции, Ae – равновесная величина адсорбции, Kd – коэффициент распределения, E – эффективность извлечения ионов аммония.
Применим изотермы Темкина и Дубинина–Радушкевича для нахождения теоретической зависимости Kd = f(Ce) в системе ионы аммония – сорбент. Выполним аппроксимацию экспериментальных данных на основе изотерм Темкина и Дубинина–Радушкевича. Константы данных изотерм адсорбции, найденные методом линеаризации, приведены в табл. 5.
Таблица 5. Константы изотерм адсорбции Темкина и Дубинина–Радушкевича
Изотерма Темкина | Изотерма Дубинина–Радушкевича | ||||
BT, Дж г/(моль мг) | kT, дм3/мг | R2 | Am, мг/г | kDR, моль2/кДж2 | R2 |
11629.609 | 0.3028 | 0.9934 | 0.6079 | 7.6839 | 0.8568 |
По уравнениям (37) и (38) на рис. 8 построены графические зависимости производных dKdT /dCe и dKdDR /dCe. Обе функции меняют знак с плюса на минус. Корень обеих функций оказался равным Ce = 9 мг/дм3, при котором функции имеют максимум в координатах Kd = f(Ce) (рис. 9).
Рис. 8. Графические зависимости производных по уравнению (37) (1 – изотерма Темкина) и уравнению (38) (2 – изотерма Дубинина–Радушкевича).
Рис. 9. Зависимости коэффициента распределения Kd от равновесной концентрации ионов аммония Ce в растворе для дозы сорбента 1 г; 1 – эксперимент, изотермы: Темкина (2), Дубинина–Радушкевича (3).
На рис. 10 приведена графическая зависимость эффективности извлечения ионов аммония E,%, от концентрации ионов аммония в исходном растворе C0, мг/дм3. Форма кривых идентична графическим зависимостям рис. 9, что объясняется пропорциональностью величин E и Kd, Ce и C0.
Рис. 10. Зависимости эффективности извлечения ионов аммония E, %, от концентрации ионов аммония C0 в исходном растворе для дозы сорбента 1 г; 1 – эксперимент, изотермы: Темкина (2), Дубинина–Радушкевича (3).
Таким образом, применение изотерм Темкина и Дубинина–Радушкевича для описания зависимости Kd = f(Ce) (или Kd = f(C0)) при фазовом равновесии в системе ионы аммония – сорбент (в статике) при малых концентрациях адсорбтива в растворе является адекватным.
Заключение
Проведенный теоретический анализ коэффициента распределения на основе изотерм адсорбции Ленгмюра, Фрейндлиха, Еловича, Темкина и Дубинина-Радушкевича позволил установить наличие максимума функции при небольших концентрациях адсорбтива при использовании изотерм Темкина и Дубинина–Радушкевича. Экспериментальное исследование фазового равновесия физической адсорбции (в статике) в системах фосфаты – сорбент и ионы аммония – сорбент выявило наличие максимума коэффициента распределения и эффективности очистки (извлечения). Качественное описание экспериментальных данных Kd получено при использовании изотерм Темкина и Дубинина–Радушкевича.
Исследование выполнено при финансовой поддержке Кубанского научного фонда в рамках научного проекта № МФИ-20.1/57 (грант КНФ, № гос. регистрации 122101000007-2).
About the authors
Т. Г. Короткова
Кубанский государственный технологический университет
Author for correspondence.
Email: korotkova1964@mail.ru
Russian Federation, 350072, Краснодар
А. М. Заколюкина
Кубанский государственный технологический университет
Email: korotkova1964@mail.ru
Russian Federation, 350072, Краснодар
С. А. Бушумов
Кубанский государственный технологический университет
Email: korotkova1964@mail.ru
Russian Federation, 350072, Краснодар
References
- Gupta V.K., Sadegh H., Yari M. et al. // Global J. Environ. Sci. Manage. 2015. V. 1. № 2. P. 149. doi: 10.7508/gjesm.2015.02.007
- Usman M.O., Aturagaba G., Ntale M. et al. // Water Science & Technology. 2022. V. 86. № 12. P. 3113 doi: 10.2166/wst.2022.382
- Kalló D. // Reviews in Mineralogy and Geochemistry. 2001. V. 45. № 1. P. 519. https://doi.org/10.2138/rmg.2001.45.15
- Кондрашова А.В., Кузьмина Р.И. // Наука и бизнес: пути развития. 2022. № 5 (131). С. 135. https://elibrary.ru/item.asp?id=49185808
- Seruga P., Krzywonos M., Pyżanowska J. et al. // Molecules. 2019. V. 24. 3633 doi: 10.3390/molecules24203633
- Deng Z., Gu S., Cheng H. et al. // Appl. Sci. 2022. V. 12. 5334. https://doi.org/10.3390/app12115334
- Fetene Y., Addis T. // Air, Soil and Water Research. 2020. V. 13. P. 1. doi: 10.1177/1178622120969658
- Boopathy R., Karthikeyan S., Mandal A.B. et al. // Environ Sci Pollut Res. 2013. V. 20. P. 533. doi: 10.1007/s11356-012-0911-3
- Ghising R.B., Jha V.K. // Journal of Nepal Chemical Society. 2022. V. 43. No. 1. P. 17. doi: 10.3126/jncs.v43i1.46998
- Ahmad S.Z.N., Hamdan R., Wan Mohamed W.A. // MATEC Web of Conferences 103. 2017. 06018 doi: 10.1051/matecconf/201710306018
- Affandi K.A., Bagastyo A.Y., Fitriana A.R. // J. of Environment and Sustainability. 2021. V. 5. No 1. P. 25. DOI: https://doi.org/10.22515/sustinere.jes.v5i1.129
- Zhang K., Dyk L.V., He D. et al. // Green Processing and Synthesis. 2021. V. 10. No. 1. P. 349. https://doi.org/10.1515/gps-2021-0032
- Lam N.H., Ma H.T., Bashir M.J.K. et al. // Intern. J. of Environmental Analytical Chemistry. 2021. V. 101. № 15. P. 2668. https://doi.org/10.1080/03067319.2019.1708907
- Bushumov S.A., Korotkova T.G. // RASÃYAN J. of Chemistry. 2020. V. 13. № 3. P. 1619. https://doi.org/10.31788/RJC.2020.1335454
- Короткова Т.Г., Бушумов С.А. // Химическая технология. 2023. Т. 24. № 11. С. 423 doi: 10.31044/1684-5811-2023-24-11-423-431
- Короткова Т.Г., Заколюкина А.М., Бушумов С.А. // Изв. вузов. Прикладная химия и биотехнология. 2023. Т. 13. № 2. С. 291. DOI: https://doi.org/10.21285/2227-2925-2023-13-2-291-303
- Korotkova T.G., Zakolyukina A.M., Bushumov S.A. // Theoretical and Applied Ecology. 2023. № 4. pp. 99–109 doi: 10.25750/1995-4301-2023-4-099-109
- Runtti H., Sundhararasu E., Pesonen J. et al. // ChemEngineering. 2023. V. 7. No. 5. https://doi.org/10.3390/chemengineering7010005
- Zhao Y., Luan H., Yang B. et al. // Water. 2023. V. 15. № 5. P. 956. https://doi.org/10.3390/w15050956
- Wu D., Zhang B., Li C. et al. // Journal of Colloid and Interface Science. 2006. V. 304. № 2. pp. 300–306. doi: 10.1016/j.jcis.2006.09.011
- Reynolds W.D., Gillham R.W., Cherry J.A. // Can. Geotech. J. 1982. V. 19. № 1. P. 92. doi: 10.1139/t82-008
- Pathak P., Singh D.N., Pandit G.G. et al. // Int. J. Environment and Waste Management. 2014. V. 14. № 1. P. 27. doi: 10.1504/IJEWM.2014.062980
- Pangarkar B.L., Shrimal P., Daware G.B. et al. // Water Practice and Technology. 2022. V. 17. № 11. P. 2386. https://doi.org/10.2166/wpt.2022.128
- Boopathy R., Karthikeyan S., Mandal A.B. et al. // Environmental Science and Pollution Research. 2012. V. 20. № 1. P. 533. doi: 10.1007/s11356-012-0911-3
- Zhang L.Y., Zhang H.Y., Guo W. et al. // Int. J. Environ. Sci. Technol. 2013. V. 10. No. 6. doi: 10.1007/s13762-012-0168-x
- Конькова Т.В., Рысевa А.П., Малькова Ю.О. // Журн. физ. химии. 2021. Т. 95. № 1. С. 28. doi: 10.31857/S004445372101012X
- Ji X.D., Zhang M.L., Ke Y.Y. et al. // Water Science & Technology. 2013. V. 67. № 6. P. 1324. doi: 10.2166/wst.2013.690
- Hamdaoui O., Naffrechoux E. // Journal of Hazardous Materials. 2007. V. 147. № 1–2. P. 381. https://doi.org/10.1016/j.jhazmat.2007.01.021
- Benmessaoud A., Nibou D., Mekatel El Hadj et al. // Iranian Journal of Chemistry and Chemical Engineering. 2020. V. 39. № 4. P. 153. doi: 10.30492/ijcce.2019.35116
Supplementary files












