Энтальпии процессов образования смешанных комплексов никеля(II) с L-гистидином и олигоглицинами
- Authors: Горболетова Г.Г.1, Бычкова С.А.1
-
Affiliations:
- Ивановский государственный химико-технологический университет
- Issue: Vol 98, No 12 (2024)
- Pages: 64-69
- Section: PHYSICAL CHEMISTRY OF SOLUTIONS
- Submitted: 30.03.2025
- Accepted: 30.03.2025
- Published: 15.12.2024
- URL: https://medbiosci.ru/0044-4537/article/view/285579
- DOI: https://doi.org/10.31857/S0044453724120102
- EDN: https://elibrary.ru/EOJFZS
- ID: 285579
Cite item
Full Text
Abstract
Потенциометрическим и калориметрическим методами изучена система Ni2+– диглицин – L-гистидин в водном растворе при Т = 298.15 К (KNO3). С помощью потенциометрических измерений определен состав и устойчивость смешаннолигандного комплекса Ni(GG)(His). Исследования проводили при соотношениях Ni: (GG + His) = 1:4; 1:6. Концентрации диглицина и L-гистидина находились в соотношении 3:1 и 5:1. Полученные при разных соотношениях диглицина и L-гистидина значения lgβ хорошо согласуются между собой. Измерения тепловых эффектов проводили в ампульном калориметре смешения с изотермической оболочкой, термисторным датчиком температуры и автоматической записью кривой температура – время. Для определения энтальпии образования частицы Ni(GG)(His) измеряли тепловые эффекты смешения растворов Ni(NO3)2, диглицина и L-гистидина при соотношении c0Ni: c0GG: c0His = 1:3:1. Опыты проводили при значениях ионной силы 0.2, 0.5, 1.0 (моль/л). Определены стандартные термодинамические характеристики (∆rH°, ∆rG°, ∆rS°) реакции образования смешаннолигандного комплекса. Проведен сравнительный анализ полученных данных с термодинамическими характеристиками процессов смешаннолигандного комплексообразования в системе Ni2+– глицин – L-гистидин и Ni2+– триглицин – L-гистидин, изученных ранее. Предложены структуры образующихся комплексов.
Keywords
Full Text
ВВЕДЕНИЕ
Аминокислоты и короткие пептиды представляют собой группу соединений, обладающих высокой биологической активностью. Они могут быть использованы при лечении инфекций. Для активации этих молекул необходимы ионы переходных металлов, например, Cu(II) и Ni(II) [1]. Для разработки противовоспалительных препаратов могут применяться комплексы трипептидов с катионами Сu2+, Ni2+, Zn2+, которые увеличивают биодоступность препаратов и проницаемость тканей [2, 3].
Все больше аналитических и клинических данных подтверждают, что ионы металлов играют значительную роль в конформационных изменениях и последующей агрегации белков. Выявлено, что для этих процессов важны гистидиновые остатки [4]. Гистидин широко участвует в структуре и функционировании биомолекул. Для доступности ароматических лекарственных средств в биологических средах имеет значение взаимодействие между гистидином и ионами переходных металлов [5].
Поглощение и перенос металлов в биологических системах необходимы для функционирования ферментов, переноса кислорода и электронов, борьбы с инфекциями. Для точного прогнозирования образования комплексов в конкурентной среде необходимо всестороннее понимание термодинамической вероятности координации [6, 7].
Изучение совместимости лигандов в смешанных комплексах состава MLY, где L и Y – аминокислоты и пептиды представляет интерес в связи с их научным и практическим значением. Информацию о факторах, влияющих на совместимость двух разных лигандов в одной координационной сфере центрального иона, можно получить из энтальпийной и энтропийной характеристик реакций сопропорционирования. В литературе, как правило, термохимические данные о реакциях образования смешаннолигандных комплексов аминокислот и пептидов немногочисленны.
ЭКСПЕРИМЕНТАЛЬНАЯ ЧАСТЬ
В работе использовали глицин, глицил-глицин, глицил-глицил-глицин фирмы “Sigma” и L-гистидин марки “х.ч.” (содержание основного компонента >99%) без дополнительной очистки. Растворы аминокислот и пептидов готовили по точной навеске из кристаллических препаратов, высушенных до постоянной массы при 343 К. Для приготовления растворов Ni(NO3)2 использовали реактив марки “х.ч.”, концентрацию устанавливали комплексонометрически. Для потенциометрического титрования и создания необходимых значений рН растворов олигоглицинов в калориметрических опытах применяли гидроксид калия марки “х.ч.”. Заданное значение ионной силы поддерживали с помощью нитрата калия марки “х.ч.”.
Состав и устойчивость смешаннолигандного комплекса Ni(GG)(His) определяли из потенциометрических измерений. Суммарная концентрация лигандов изменялась от 1.2 × 10–2 до 2.4 × 10–2 моль/л. Исследования проводили при соотношениях Ni: (GG + His) = 1:4; 1:6. Концентрации диглицина и L-гистидина находились в соотношении 3:1 и 5:1.
Потенциометрическое титрование проходило по стандартной методике. Измерения ЭДС цепи:
проводили с помощью прибора “Мультитест” ИПЛ-311. Абсолютная погрешность измерения потенциала составляла не более 0.5 мВ. Равновесие считалось установившимся, если измеряемое значение ЭДС не изменялось в пределах 0.1 мВ в течение 5 мин. Температуру 298.15 К потенциометрической ячейки, титранта и электрода поддерживали с точностью ± 0.1°С с помощью воздушного и водяного термостатов. В ячейку помещали раствор нитрата никеля(II), диглицина и L-гистидина, который титровали 0.1М раствором КOH в токе инертного газа.
Градуировку стеклянного электрода проводили по стандартным растворам соляной кислоты при I = 0.2 (моль/л) (KNO3). Полученная при обработке этих данных по методу наименьших квадратов величина tgα cоставляла 0.05805 В/ед рН. Для каждого соотношения Ni: (GG + His) проводили по три – четыре параллельных опыта.
Экспериментальные данные обрабатывали по универсальной программе “PHMETR”, предназначенной для расчета констант равновесия с произвольным числом реакций по измеренной равновесной концентрации одной из частиц [8]. Критерием адекватности выбранной модели служили различия между рассчитанными и экспериментальными величинами pH. Они были знакопеременными и не превышали погрешности эксперимента.
Измерения тепловых эффектов проводили в ампульном калориметре смешения с изотермической оболочкой, термисторным датчиком температуры и автоматической записью кривой температура – время [9], надежность работы которого проверяли по энтальпии растворения KCl в воде при 298.15 К. Полученные нами экспериментальные данные ∆Нsolv (∞H2O) = 17.25 ± 0.06 кДж/моль согласуются с погрешностью менее 0.3% с наиболее надежными литературными значениями ∆Нsolv (∞H2O) = 17.22 ± 0.02 кДж/моль [10], что свидетельствует об отсутствии систематической ошибки в работе калориметрической установки.
Опыты проводили при 298.15 К и значениях ионной силы 0.2, 0.5,1.0 (моль/л). Величины рН контролировали с помощью прибора “Мультитест” ИПЛ-311. Равновесный состав растворов в условиях каждого опыта рассчитывали по программе RRSU [11]. Для расчета доверительного интервала среднего значения ∆Н из трех параллельных опытов критерий Стьюдента был взят при доверительной вероятности 0.95.
Для определения энтальпии образования частицы Ni(GG)(His) измеряли тепловые эффекты смешения растворов Ni(NO3)2, диглицина и L-гистидина при соотношении c0Ni: c0GG: c0His = 1:3:1. Навеска нитрата никеля(II) концентрации 1.0514 моль/кг раствора в ампуле составляла ∼ 0.4 г. После разрушения ампулы в калориметрической ячейке объемом 39.86 мл, содержащей растворы диглицина концентрации 0.03 моль/л и L-гистидина 0.01 моль/л, концентрация Ni(NO3)2 составляла ~ 0.01 моль/л. В ходе калориметрического опыта рН изменялось в интервале 9.8–8.7. Энтальпии разведения раствора Ni(NO3)2 в растворах фонового электролита были измерены ранее [12].
ОБСУЖДЕНИЕ РЕЗУЛЬТАТОВ
При моделировании системы Ni2+ – диглицин – L-гистидин учитывали следующие равновесия:
, (1)
, (2)
, (3)
, (4)
, (5)
, (6)
, (7)
, (8)
, (9)
, (10)
, (11)
, (12)
, (13)
, (14)
. (15)
В расчетах использовали константы диссоциации диглицина: рК1 = 2.98, рК2 = 8.01 и L-гистидина: рК2 = 6.10, рК3 = 9.16, а также константы устойчивости однородных комплексов никеля(II) с диглицином и L-гистидином [13–15]. Учитывали возможность гидролиза ионов Ni2+ [16]. Термодинамические параметры диссоциации воды на фоне KNO3 взяты из [17].
Расчеты показали, что в системе Ni2+ – диглицин – L-гистидин происходит образование смешанного комплекса состава Ni(GG)(His), смешанные комплексы другого состава не образуются. Полученные при разных соотношениях диглицина и L-гистидина значения lgβ(Ni(GG)(His)) = 11.73 ± 0.10, 11.75 ± 0.11 хорошо согласуются между собой. В качестве наиболее вероятного принята величина lgβ(Ni(GG)(His)) = 11.74 ± 0.10. Погрешность рассчитывали как средневзвешенное вероятного отклонения среднеарифметического при доверительной вероятности 0.95.
Экспериментальные данные калориметрических измерений приведены в табл. 1.
Таблица 1. Тепловые эффекты (кДж/моль) взаимодействия раствора Ni(NO3)2 (1.0514 моль/кг раствора) с растворами диглицина (0.03100 моль/л) и L-гистидина (0.01040 моль/л)
m Ni(NO3)2, г | –∆mixH, кДж/моль | –∆rH = ∆mixH – ∆dilH, кДж/моль |
I (KNO3) = 0.2 | ||
0.40005 | 62.96 | 61.65 |
0.40005 | 62.73 | 61.42 |
0.40035 | 62.88 | 61.57 |
–∆mixH = 62.86 ± 0.21 | –∆rH = 61.55 ± 0.23 | |
I (KNO3) = 0.5 | ||
0.40000 | 64.94 | 62.22 |
0.40030 | 65.14 | 62.42 |
0.40015 | 65.01 | 62.29 |
–∆mixH = 65.03 ± 0.19 | –∆rH = 62.31 ± 0.21 | |
I (KNO3) = 1.0 | ||
0.40050 | 66.49 | 62.29 |
0.40045 | 66.69 | 62.49 |
0.40025 | 66.73 | 62.53 |
–∆mixH = 66.64 ± 0.24 | –∆rH = 62.44 ± 0.26 | |
Обозначения: I – ионная сила, m – навеска раствора.
Экспериментальный тепловой эффект взаимодействия растворов никеля(II), диглицина и L-гистидина имеет вид:
, (16)
где ∆mixН – тепловой эффект взаимодействия растворов Ni(NO3)2 с растворами диглицина и L-гистидина, имеющими заданное значение рН; ∆dilН – энтальпия разведения нитрата никеля(II) в растворах фонового электролита; α1 – полнота протекания процесса (13); ∑αi∆rНi – вклад одновременно протекающих побочных процессов (1) – (12), (14), (15) в измеряемый тепловой эффект.
Условия проведения калориметрических опытов выбирали таким образом, чтобы вклад побочных процессов был минимальным. Необходимые для расчета энтальпии процессов кислотно-основного взаимодействия в растворах диглицина и L-гистидина взяты из работ [14, 18], энтальпии реакций образования комплексов Ni(GG)+, NiH-1(GG), Ni(GG)2, NiH-2(GG)22–, Ni(GG)3–, NiH-3(GG)34– из [12], комплексов Ni(His)+, Ni(His)2 из [19]. Вклад теплового эффекта процесса (15) стремился к нулю.
При определении энтальпии образования комплекса никеля(II) c диглицином и L-гистидином наряду с равновесием (13) протекали реакции (6), (7), (8), (11) и (12). Доля образования смешаннолигандного комплекса составляла около 94%. Энтальпию образования комплекса Ni(GG)(His) рассчитывали по универсальной программе НЕАТ [20] путем минимизации критериальной функции F по искомым параметрам:
, (17)
где ∆Нiвыч – рассчитанный тепловой эффект при заданных значениях общих концентраций и текущих lgβ и ∆rН; N – число опытов; ωi – весовые множители.
Рассчитанные энтальпии процессов образования частицы Ni(GG)(His) приведены в табл. 2.
Таблица 2. Стандартные термодинамические характеристики реакций образования комплексов никеля(II) с глицином (G), диглицином (GG), триглицином (GGG) и L-гистидином (His) при Т = 298.15 К
Процесс | lgβ° | –∆rН°, кДж/моль | –∆rG°, кДж/моль | ∆rS°, Дж/(моль⋅К) |
I = 0.2 | ||||
Ni2+ + GG– + His– ↔ Ni(GG)(His) | 11.74 ± 0.10 | 62.27 ± 0.23 | 67.01 ± 0.57 | 15.9 ± 0.8 |
I = 0.5 | ||||
Ni2+ + GG– + His– ↔ Ni(GG)(His) | 11.59 ± 0.10 | 62.89 ± 0.21 | 66.16 ± 0.57 | 10.9 ± 0.8 |
I = 1.0 | ||||
Ni2+ + GG– + His– ↔ Ni(GG)(His) | 11.34 ± 0.10 | 63.56 ± 0.26 | 64.73 ± 0.57 | 3.9 ± 0.8 |
I = 0 | ||||
Ni2+ + G– + His– ↔ Ni(G)(His) [22] | 15.66 ± 0.06 | 54.27 ± 0.30 | 89.39 ± 0.34 | 117.8 ± 0.2 |
Ni2+ + GG– + His– ↔ Ni(GG)(His) | 12.54 ± 0.10 | 60.72 ± 0.26 | 71.58 ± 0.57 | 36.4 ± 0.8 |
Ni2+ + GGG– + His– ↔ Ni(GGG)(His) [23] | 12.40 ± 0.09 | 52.08 ± 0.30 | 70.78 ± 0.51 | 62.7 ± 0.8 |
Энтальпии комплексообразования в стандартном растворе были найдены экстраполяцией величин тепловых эффектов при фиксированных значениях ионной силы к нулевой по уравнению [21]:
, (18)
где ∆Н, ∆Н° – изменение энтальпии при конечном значении ионной силы и I = 0 соответственно; Ψ (I) – функция ионной силы, вычисленная теоретически; DZ 2 – разность квадратов зарядов продуктов реакции и исходных компонентов; b – эмпирический коэффициент.
Результаты экстраполяции и рассчитанные значения стандартных термодинамических характеристик комплексообразования в системе Ni2+ – диглицин – L-гистидин приведены в табл. 2.
В табл. 2 приведены также термодинамические характеристики процессов смешаннолигандного комплексообразования в системе Ni2+– глицин – L-гистидин и Ni2+– триглицин – L-гистидин, полученные ранее [22, 23].
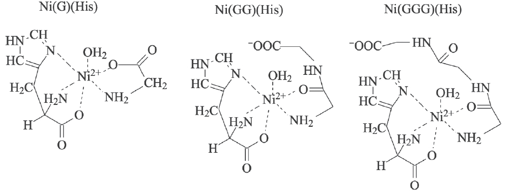
Вероятные структуры комплексов представлены на схеме:
Поскольку кислород пептидной группы является более слабым донором электронной плотности по сравнению с кислородом карбоксильной группы, величина lgβ° более значительна в случае образования комплекса Ni(G)(His) по сравнению с комплексами Ni(GG)(His) и Ni(GGG)(His). При образовании последних величины lgβ° довольно близки. Это свидетельствует о подобной координации диглицина и триглицина в смешаннолигандных комплексах. Однако, энтальпии процессов комплексообразования с участием глицина и триглицина менее экзотермичны по сравнению с ∆rH° образования смешанного комплекса с участием диглицина (табл. 2). Судя по величинам изменения энтропии это может быть связано с меньшей дегидратацией при образовании частицы Ni(GG)(His), чем частиц Ni(G)(His) и Ni(GGG)(His).
Логарифм константы равновесия реакции сопропорционирования:
(19)
является мерой отклонения lgβ(Ni(GG)(His)) от величины, ожидаемой из аддитивности lgβ(Ni(GG)2) и lgβ(Ni(His)2), и характеризует устойчивость смешаннолигандного комплекса Ni(GG)(His) к распаду на однородные Ni(GG)2 и Ni(His)2.
Реакцию (19) можно представить как сумму двух реакций:
, (20)
, (21)
каждая из которых характеризует различие в реакциях:
, (22)
. (23)
В табл. 3 приведены термодинамические характеристики процессов (19), (20), (21), рассчитанные с использованием результатов настоящей работы (табл. 2) и литературных данных [12, 19], а также термодинамические характеристики процессов смешанно-лигандного комплексообразования в системе Ni2+– глицин – L-гистидин, Ni2+– триглицин – L-гистидин полученные ранее [22, 23] для реакций:
, (24)
, (25)
, (26)
, (27)
, (28)
. (29)
Таблица 3. Стандартные термодинамические характеристики реакций сопропорционирования смешаннолигандных комплексов никеля(II) с глицином (G), диглицином (GG), триглицином (GGG) и L-гистидином (His) при I = 0 и Т = 298.15 К
Процесс | lgK | ∆rН°, кДж/моль | –∆rG°, кДж/моль | ∆rS°, Дж/(моль⋅К) |
NiG2 + Ni(His)2 ↔ 2Ni(G)(His) [22] | 4.69 ± 0.09 | 2.95 ± 0.66 | 26.77 ± 0.52 | 99.7 ± 1.6 |
NiG++Ni(His)2 ↔ Ni(G)(His) + Ni(His)+ | 2.99 ± 0.08 | 6.18 ± 0.60 | 17.07 ± 0.46 | 78.0 ± 1.2 |
Ni(His)+ + NiG2 ↔ Ni(G)(His) + NiG+ | 1.70 ± 0.08 | –3.23 ± 0.66 | 9.70 ± 0.48 | 21.7 ± 1.9 |
Ni(GG)2 + Ni(His)2 ↔ 2Ni(GG)(His) | 1.97 ± 0.15 | –11.63 ± 0.59 | 11.25 ± 0.83 | –1.3 ± 1.4 |
Ni(GG)+ + Ni(His)2 ↔ Ni(GG)(His)+ Ni(His)+ | 1.48 ± 0.11 | –1.67 ± 0.58 | 8.46 ± 0.63 | 22.7 ± 1.2 |
Ni(His)+ + Ni(GG)2 ↔ Ni(GG)(His) + Ni(GG)+ | 0.49 ± 0.11 | –9.96 ± 0.61 | 2.79 ± 0.65 | –24.0 ± 1.2 |
Ni(GGG)2 + Ni(His)2 ↔ 2Ni(GGG)(His) [23] | 2.11 ± 0.13 | 0.88 ± 0.72 | 12.04 ± 0.74 | 43.3 ± 1.6 |
Ni(GGG)+ + Ni(His)2 ↔ Ni(GGG)(His)+ Ni(His)+ | 1.70 ± 0.10 | 1.99 ± 0.62 | 9.70 ± 0.57 | 39.2 ± 1.2 |
Ni(His)+ + Ni(GGG)2 ↔ Ni(GGG)(His) + Ni(GGG)+ | 0.41 ± 0.10 | –1.11 ± 0.74 | 2.34 ± 0.57 | 4.1 ± 1.2 |
Смешанный комплекс Ni(GG)(His) устойчив к диспропорционированию, так как логарифм константы реакции (19) lgK>0. Сравнение lgK реакций (19), (24) и (27), приведенных в табл. 3, показывает, что комплекс Ni(GG)(His) менее устойчив к распаду на однородные, чем комплексы Ni(G)(His) и Ni(GGG)(His). Положительные значения lgK реакций (20), (21) и аналогичных реакций (25), (26), (28), (29) показывают, что присоединение глицина, диглицина, триглицина и L-гистидина в качестве смешанных лигандов в комплексах Ni(G)(His), Ni(GG)(His) и Ni(GGG)(His) усиливает их устойчивость больше, чем присоединение этих лигандов в качестве однородных усиливает устойчивость образующихся при этом бискомплексов. ∆rН° в реакциях (25), (28) и (26), (29) (табл. 3) противоположны по знаку, а в реакции (20) гораздо меньше по абсолютной величине, чем в реакции (21), что, очевидно, связано со значительными гидратационными изменениями в процессе диссоциации комплекса Ni(His)2 по первой ступени. Достаточно большие положительные величины ∆rS° в реакциях (20), (25) и (28) подтверждают данное предположение.
Работа выполнена в рамках 09-ГЗ-23 Фундаментальные и прикладные аспекты создания полифункциональных волокнистых полимерных материалов с использованием капсулированных нано- и микросистем (FZZW-2023-0008).
Исследование проведено с использованием ресурсов Центра коллективного пользования научным оборудованием ИГХТУ (при поддержке Минобрнауки России, соглашение № 075-15-2021-671)
About the authors
Г. Г. Горболетова
Ивановский государственный химико-технологический университет
Email: bychkova_sv@mail.ru
Russian Federation, Иваново, 153000
С. А. Бычкова
Ивановский государственный химико-технологический университет
Author for correspondence.
Email: bychkova_sv@mail.ru
Russian Federation, Иваново, 153000
References
- Kotynia А., Wiatrak B., Kamysz W. et al. // Int. J. Mol. Sci. 2021. V. 22. P. 12028.
- Hammouda A.N., Elmagbari F.M., Jackson G.E. et al. // Aust. J Chem. Soc. 2021. V. 74 (8). P. 613.
- Vicatos G.M., Hammouda A.N., Alnajjar R. et al. // Inorganics. 2022. V. 10(1). P. 8
- Balogh B.D., Szunyog G., Lukács M. et al. // Dalton Trans. 2021. V. 50. P. 14411.
- Song Y., Zhan J., Li M. et al. // Int. J. Mol. Sci. 2022. V. 23. P. 3957.
- Murphy J.M., Powell B.A., Brumaghim J.L. // Coordination Chemistry Reviews. 2020. V. 412. P. 213253.
- Ramek M., Peji´c J., Sabolovi´ J. // Journal of Inorganic Biochemistry. 2021. V. 223. P. 111536.
- Бородин В.А., Васильев В.П., Козловский Е.В. // Журн. неорган. химии. 1986. T. 31. № 1. C.10.
- Черников В.В. Термодинамика кислотно-основного взаимодействия в водных растворах иминодиянтарной, 1-аминоэтилиден-1,1-дифосфоновой, этаноламин-N, N-диметиленфосфоновой кислот: Дис. … канд. хим. наук. Иваново: ИХТИ, 1988. 161с.
- Wadsö I., Goldberg R.N. // Pure Appl. Chem. 2001. V. 73 P. 1625.
- Васильев В.П., Бородин В.А., Козловский Е.В. Применение ЭВМ в химико-аналитических расчетах. М.: Высш. школа, 1993. С. 112.
- Горболетова Г.Г., Бычкова С.А., Фролова К.О. // Журн. физ. химии. 2022. Т. 96. № 9. С. 1311. [Gorboletova G.G., Bychkova S.A., Frolova K.O. // Russian Journal of Physical Chemistry. 2022. V. 96. № 9. P. 1909].
- Бычкова С.А., Горболетова Г.Г., Крутова О.Н., Фролова К.О. // Рос. хим. журн. (Журн. Рос. хим. об-ва им. Д.И. Менделеева). 2021. Т. 65. № 2. С. 47.
- Васильев В.П., Кочергина Л.А., Гаравин В.Ю. // Журн. общ. химии. 1985. Т. 55. № 1. С. 189.
- Васильев, В. П., Зайцева Г.А. // Журн. неорган. химии. 1988. Т. 33. № 5. С. 1196.
- Назаренко В.А., Антонович В.П., Невская Е.М. Гидролиз ионов металлов в разбавленных растворах. М.: Атомиздат, 1979. С. 120.
- Васильев В.П., Лобанов Г.А. // Изв. вузов. Химия и хим. технология. 1969. Т. 12. № 6. С. 740.
- Горболетова Г.Г., Гридчин С.Н., Сазонова Е.С. // Журн. физ. химии. 2005. Т. 79. № 8. С. 1390. [Gorboletova G.G., Gridchin S.N., Sazonova E.S. // Russian Journal of Physical Chemistry. 2005. V. 79. № 8. P. 1222].
- Горболетова Г.Г., Метлин А.А. // Журн. физ. химии. 2014. Т. 88. № 9. С. 1359.[Gorboletova G.G., Metlin A.A. // Russian Journal of Physical Chemistry. 2014. V. 88. № 9. P. 1514].
- Бородин В.А., Козловский Е.В., Васильев В.П. // Журн. неорган. химии. 1982. Т. 27. № 9. С. 2169.
- Васильев В.П. Термодинамические свойства растворов электролитов. М.: Высш. школа, 1982. С. 320.
- Горболетова Г.Г., Метлин А.А., Бычкова С.А. // Журн. физ. химии. 2015. Т. 89. № 5. С. 787. [Gorboletova G.G., Metlin A.A., Bychkova S.A. // Rus. J. of Phys.Chem. 2015. V. 89. N. 5. P. 793].
- Горболетова Г.Г., Метлин А.А., Бычкова С.А. // Там же. 2018. Т. 92. № 9. С. 1426. [Gorboletova G.G., Metlin A.A., Bychkova S.A. //Ibid. 2018. V. 92. № 9. P. 1715]
Supplementary files



