Термодинамика сорбции производных хинолина, 1,2,3,4-тетрагидрохинолина и пиридазино[4,5-с]хинолина в условиях ОФ ВЭЖХ
- Authors: Капитонов А.В.1, Рыжкин С.А.1, Курбатова С.В.1, Земцова М.Н.2
-
Affiliations:
- Самарский национальный исследовательский университет им. академика С. П. Королева
- Самарский государственный технический университет
- Issue: Vol 98, No 12 (2024)
- Pages: 139-148
- Section: PHYSICAL CHEMISTRY OF SEPARATION PROCESSES. CHROMATOGRAPHY
- Submitted: 30.03.2025
- Accepted: 30.03.2025
- Published: 15.12.2024
- URL: https://medbiosci.ru/0044-4537/article/view/285656
- DOI: https://doi.org/10.31857/S0044453724120206
- EDN: https://elibrary.ru/ENDPEW
- ID: 285656
Cite item
Full Text
Abstract
Проанализированы температурные зависимости характеристик удерживания некоторых производных хинолина, 1,2,3,4-тетрагидрохинолина и пиридазино[4,5-с]хинолина в условиях обращенно-фазовой высокоэффективной жидкостной хроматографии на октадецилсиликагеле. Рассчитаны значения термодинамических характеристик сорбции этих соединений. Проанализировано изменение значений энтальпии сорбции в зависимости от содержания ацетонитрила в водноацетонитрильном элюенте.
Full Text
Проблема установления механизма хроматографического удерживания в условиях жидкостной хроматографии остается до настоящего времени весьма актуальной в связи со сложностью и разнообразием протекающих в хроматографической колонке процессов, обусловленных реализацией межмолекулярных взаимодействий анализируемых веществ с сорбентом и молекулами элюента, а также взаимодействий элюента с сорбентом [1]. Существенную роль при описании подобных процессов играет установление взаимосвязи между параметрами удерживания и структурой молекул анализируемых веществ, особенностями поверхности сорбента и природой элюента. Определение таких взаимосвязей, отражающих соответствующие межмолекулярные взаимодействия, позволяет понять характер и механизм процессов в колонке и, таким образом, оптимизировать выбор соответствующей хроматографической системы для разделения компонентов сложных смесей, с одной стороны, и для прогнозирования удерживания молекул известной или предполагаемой структуры, с другой [2].
Важным параметром, влияющим на процессы, протекающие в хроматографической колонке, является температура, поэтому в качестве одного из способов установления сорбционного механизма является изучение влияния температуры на хроматографическое удерживание и определение термодинамических параметров перехода сорбатов из объемной фазы в поверхностный слой сорбента на основании экспериментальных данных [3, 4]. В жидкостной хроматографии, как известно, термодинамические параметры сорбции по сути отражают изменение соответствующих термодинамических функций в результате совокупности взаимодействий, реализуемых как в поверхностном слое между молекулами сорбатов и сорбентом, компонентами элюента и сорбентом, так и процессов сольватации или ассоциации в объемном растворе между молекулами сорбатов и элюента, а также между компонентами элюента [5, 6]. Таким образом, с помощью варьирования температуры оказывается возможным изменять константы сорбционного равновесия, термодинамические характеристики сорбции на поверхности неподвижной фазы и сольватации в объеме растворителя, и, следовательно, регулировать процессы в хроматографической колонке и изменять ее селективность. В целом установление взаимосвязи термодинамических характеристик сорбции соединений с их физико-химическими параметрами способствует решению задач прикладного и теоретического характера.
С этой точки зрения несомненный интерес представляет изучение термодинамики сорбции сложных полифункциональных соединений, способных к разнообразным межмолекулярным взаимодействиям. К такого рода соединениям можно отнести азотистые гетероциклы разнообразного строения, обладающие широким спектром важных в практическом отношении свойств. Варьирование температуры колонки с одновременным варьированием состава объемного раствора при хроматографировании подобных соединений позволяет более эффективно оценить роль растворителя в реализации процессов в хроматографической системе и, таким образом, способствовать пониманию принципов регулирования сорбционной селективности и оптимизации условий разделения сложных смесей синтетического и природного происхождения [5].
Целью настоящей работы явилось определение термодинамических характеристик сорбции некоторых производных хинолина, 1,2,3,4-тетрагидрохинолина и пиридазино[4,5-с]хинолина в условиях высокоэффективной жидкостной хроматографии.
ЭКСПЕРИМЕНТАЛЬНАЯ ЧАСТЬ
Хроматографический эксперимент проводили на жидкостном хроматографе “Милихром-1А” с УФ-спектрофотометрическим детектором. Детектирование осуществляли при длине волны 254 нм. В качестве сорбента использовали ProntoSil-120-С18 с удельной площадью поверхности 500 м2/г; размер зерен сорбента 5 мкм; размеры колонки 75 × 2 мм. Температуру колонки поддерживали с помощью твердотельного электрического термостата и варьировали в интервале 298.0–328.0 К с шагом 10.0 К. Перед проведением хроматографического эксперимента колонку термостатировали и промывали элюентом в течение 20 мин. В качестве подвижной фазы применяли смесь ацетонитрил–вода с содержанием ацетонитрила от 50 до 70% (по объему), элюирование осуществляли в изократическом режиме. Подвижную фазу перед проведением анализа дегазировали на установке марки УЗДН-2Т и фильтровали. Объемная скорость элюента составляла 100 мкл/мин.
В качестве объектов исследования использовали производные хинолина, 1,2,3,4-тетрагидрохинолина и пиридазино[4,5-с]хинолина, формулы которых приведены в табл. 1.
Таблица 1. Формулы и названия исследованных веществ
№ | Формула | Название вещества | № | Формула | Название вещества |
1 | 3-метилхинолин-2-ол | 12 | 2-(4-фторфенил)-1,2,3,4-тетрагидро-хинолин | ||
2 | 3,6-диметил-хинолин-2-ол | 13 | 2-метокси-1,2,3,4-тетрагидрохинолин | ||
3 | 6-хлор-3-метилхинолин-2-ол | 14 | 2-хлор-1-(2-фенил-3,4-дигидро-2Н-хинолин-1-ил)этанон | ||
4 | этил 2-гидрокси-3,6-диметил-хинолин-4-карбоксилат | 15 | 2-фенил-3,4-дигидро-2H-хинолин-1-карбонилхлорид | ||
5 | этил 6-хлор-2-гидрокси-3-метилхинолин-4-карбоксилат | 16 | 2-(4-хлорфенил)-3,4-дигидро-2H-хинолин-1-карбонилхлорид | ||
6 | этил 6-бром-2-гидрокси-3-метилхинолин-4-карбоксилат | 17 | 4-(4-фторфенил)-пиридазино[4,5-c]хинолин-1-ол | ||
7 | 2-(4-метокси-фенил)хинолин | 18 | 4-(4-хлорфенил)-пиридазино[4,5-c]хинолин-1-ол | ||
8 | 2-(4-фтор-фенил)хинолин | 19 | 4-(5-метилтиофен-2-ил) пиридазино[4,5-c]хинолин-1-ол | ||
9 | 2-(4-хлор-фенил)хинолин | 20 | 4-фенилпиридазино[4,5-c]хинолин-1-ол | ||
10 | 2-тиофен-2-илхинолин | 21 | 9-бром-4-фенилпиридазино[4,5-c]хинолин-1-ол | ||
11 | 2-пиридин-4-илхинолин | 22 | 4-(4-метокси-фенил)пиридазино[4,5-c]хинолин-1-ол |
Расчет термодинамических характеристик сорбции молекул исследованных гетероциклических соединений проводили на основании полученных экспериментально зависимостей фактора удерживания от температуры по известным формулам [6, 7]
,
где ΔH°, ΔS° – стандартные молярные изменения энтальпии и энтропии при переходе сорбата из объемного раствора в поверхностный слой, кДж/моль и Дж/(моль K) соответственно; Φ – фазовое отношение колонки; A – энтропийный член. Относительная погрешность определения составила 1–3%.
Величину относительного удерживания r и разность молярных энергий сорбции исследуемого и стандартного веществ δ(∆G) определяли по формулам:
,
,
где k – фактор удерживания исследуемого сорбата при температуре 298К; kст – фактор удерживания вещества-стандарта (хинолин); R – универсальная газовая постоянная [2].
Ван-дер-ваальсов объем (V, Å3), площадь поверхности (S, Å2), параметр гидрофобности (lgP) рассчитаны с использованием программного пакета HyperChem 8.0.
ОБСУЖДЕНИЕ РЕЗУЛЬТАТОВ
Молекулы выбранных нами в качестве объектов исследования веществ включают основной хинолиновый, тетрагидрохинолиновый или пиридазиновый фрагменты с присоединенными в различных положениях функциональными группами и заместителями. С точки зрения участия в межмолекулярных взаимодействиях (ММВ) хинолиновое ядро, как известно, способно к специфическим взаимодействиям за счет неподеленной электронной пары атома азота, не участвующей в образовании π-системы [8]. В тетрагидрохинолине атом азота также может вступать в специфические взаимодействия, а ароматический фрагмент склонен к проявлению сильных дисперсионных и π–π-взаимодействий. Наличие пиридазинового фрагмента сообщает молекулам соответствующих сорбатов слабоосновные свойства и электронодефицитность. При этом большое влияние на распределение электронной плотности, а следовательно, и на особенности межмолекулярных взаимодействий в хроматографической системе, оказывают природа и положение заместителей в этих фрагментах. Как известно, один и тот же заместитель может проявлять в молекуле как донорные, так и акцепторные свойства в зависимости от знака заряда на реакционном центре, а в легкополяризуемых сопряженных системах подобная способность еще более выражена [9]. Так, например, пиридиновое кольцо, проявляя сильные акцепторные свойства, может изменить знак электронного эффекта другой электроноакцепторной группы. Наличие заместителей, проявляющих отрицательный мезомерный эффект, в положениях 2 или 4 хинолинового ядра, приводит либо к уменьшению основности атома азота, либо к ее усилению, и таким образом, соответствующему ослаблению или усилению взаимодействия с компонентами подвижной фазы и увеличению или уменьшению удерживания [8, 9]. Метильный радикал –CH3 способен к проявлению положительного индуктивного эффекта и эффекта гиперконъюгации; фенил может быть донором либо акцептором π-электронной плотности в зависимости от природы связанного с ним фрагмента молекулы; тиенил, содержащий электроотрицательный атом серы, по электронному строению близок к фенилу, поэтому его влияние на характеристики, определяемые электронным строением, в основном аналогично влиянию фенила [10]. Нужно учитывать также, что присутствие объемных заместителей, таких, например, как фенил, тиенил и др., усиливает роль стерического фактора в межмолекулярных взаимодействиях этих соединений. Очевидно, что перечисленные особенности строения молекул должны оказать влияние на соответствующие сорбционные характеристики.
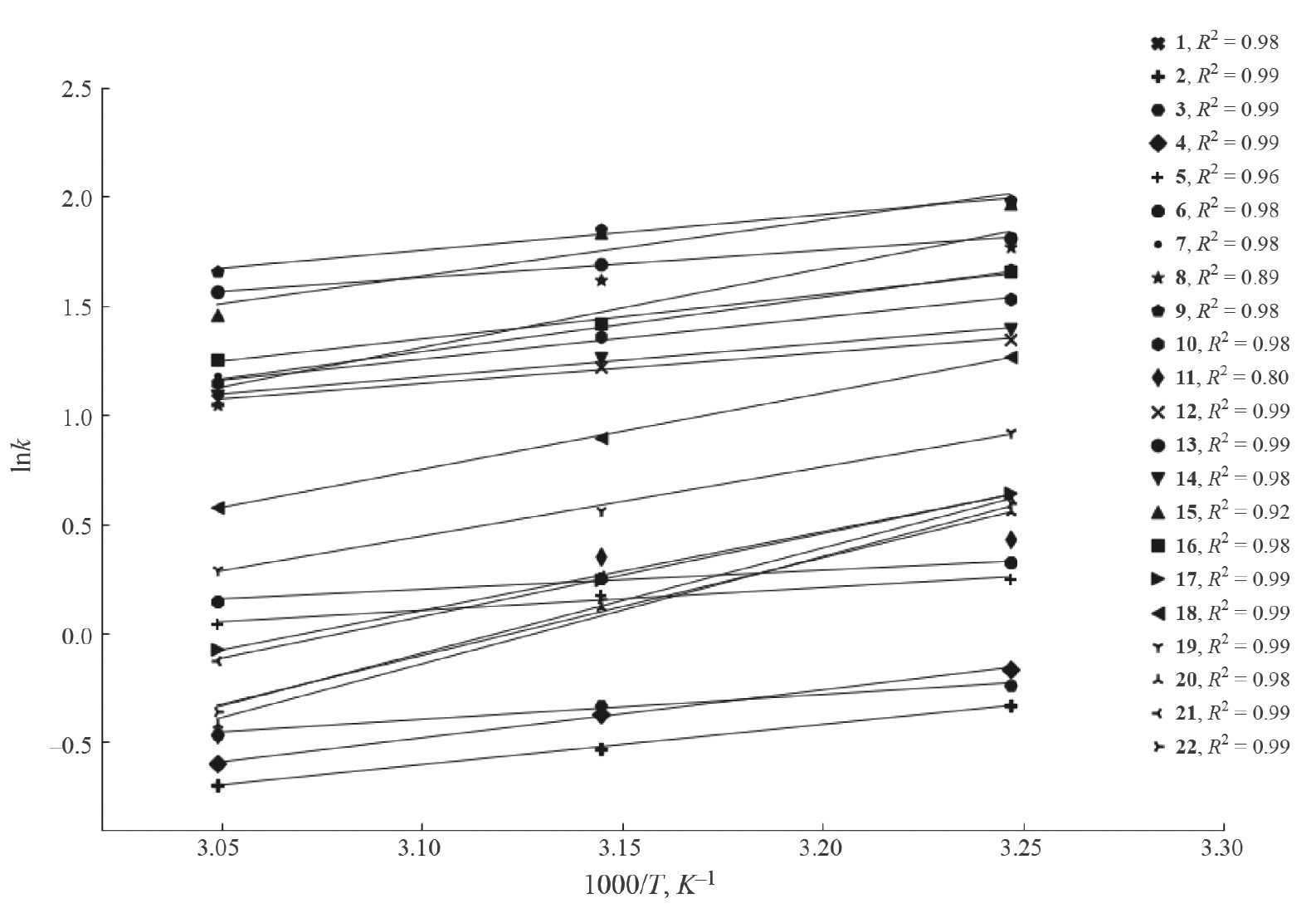
Для определения термодинамических характеристик сорбции исследованных полифункциональных соединений нами было изучено удерживание этих веществ в интервале температур 298–328 K и концентрации ацетонитрила в элюенте 50–70%. Как известно, функциональная зависимость фактора удерживания от температуры может быть аппроксимирована уравнением Вант-Гоффа lgk = A + B / T, в котором коэффициент А связан с энтропией сорбции и фазовым отношением колонки, коэффициент В пропорционален энтальпии сорбции [11, 12]. Из приведенных на рис. 1 графиков следует линейная зависимость значения lnk исследованных нами веществ от температуры с коэффициентом детерминации, близким к ~ 1, что свидетельствует о соответствии модели Вант-Гоффа и идентичности механизмов удерживания аналитов в исследуемом температурном интервале и концентрации ацетонитрила в элюенте 50%. Для остальных составов элюента зависимости вполне идентичны и различаются лишь значениями коэффициентов уравнения.
Рис. 1. Зависимости lnk от 1000 / Т (состав элюента ацетонитрил–вода 50:50).
Рассчитанные на основании полученных графиков значения энтальпии сорбции и энтропийного члена приведены в табл. 2. Как следует из представленных данных, значения ΔH° для всех исследованных веществ являются отрицательными, что указывает на смещение равновесия в хроматографической системе в сторону сорбции на поверхности октадецилсиликагеля из объема элюента в выбранном концентрационном интервале и экзотермический характер этого процесса. Другими словами, можно говорить об энергетическом выигрыше в результате взаимодействия исследованных веществ с поверхностью сорбента по сравнению с энергетическими затратами на разрушение сольватных оболочек в объеме элюента и десорбцию адсорбированных молекул элюента [13].
Таблица 2. Стандартные дифференциальные мольные изменения значений энтальпии (ΔH°, кДж/моль) и энтропийного члена (A) при разной концентрации ацетонитрила в элюенте
№ | –ΔH°, кДж/моль | –A | –ΔH°, кДж/моль | –A | –ΔH°, кДж/моль | –A |
50:50 | 60:40 | 70:30 | ||||
1 | 11.85 ± 0.04 | 5.57 | 10.42 ± 0.01 | 5.19 | 2.85 ± 0.07 | 2.57 |
2 | 15.59 ± 0.02 | 6.41 | 2.58 ± 0.03 | 1.96 | 4.21 ± 0.08 | 1.56 |
3 | 9.08 ± 0.02 | 4.06 | 10.92 ± 0.02 | 5.08 | 12.13 ± 0.04 | 5.97 |
4 | 18.37 ± 0.02 | 7.33 | 8.41 ± 0.03 | 4.21 | 22.94 ± 0.04 | 10.09 |
5 | 8.78 ± 0.01 | 3.17 | 8.89 ± 0.02 | 3.97 | 19.89 ± 0.04 | 8.76 |
6 | 7.46 ± 0.04 | 2.58 | 12.41 ± 0.02 | 5.22 | 12.86 ± 0.03 | 5.94 |
7 | 20.78 ± 0.03 | 6.45 | 5.04 ± 0.02 | 1.55 | 11.30 ± 0.02 | 4.31 |
8 | 30.13 ± 0.04 | 9.95 | 11.83 ± 0.04 | 3.55 | 16.38 ± 0.02 | 5.91 |
9 | 13.58 ± 0.03 | 3.31 | 15.53 ± 0.05 | 4.23 | 12.75 ± 0.01 | 4.23 |
10 | 15.91 ± 0.01 | 4.67 | 14.17 ± 0.03 | 4.66 | 12.69 ± 0.02 | 4.88 |
11 | 37.14 ± 0.03 | 14.01 | 12.52 ± 0.03 | 4.87 | 13.35 ± 0.02 | 5.67 |
12 | 11.75 ± 0.04 | 3.24 | 13.04 ± 0.03 | 4.39 | 12.32 ± 0.02 | 4.48 |
13 | 10.48 ± 0.04 | 2.28 | 12.22 ± 0.02 | 3.63 | 11.91 ± 0.03 | 4.53 |
14 | 12.92 ± 0.01 | 3.65 | 13.30 ± 0.04 | 4.10 | 11.09 ± 0.02 | 4.60 |
15 | 21.35 ± 0.03 | 6.34 | 13.31 ± 0.05 | 4.11 | 10.97 ± 0.04 | 4.21 |
16 | 16.91 ± 0.01 | 4.95 | 14.87 ± 0.03 | 4.16 | 15.95 ± 0.03 | 5.53 |
17 | 29.76 ± 0.03 | 10.99 | 23.24 ± 0.01 | 8.83 | 18.25 ± 0.02 | 7.14 |
18 | 29.04 ± 0.02 | 10.08 | 13.73 ± 0.03 | 4.64 | 9.49 ± 0.04 | 3.54 |
19 | 26.43 ± 0.04 | 9.41 | 19.16 ± 0.02 | 7.00 | 16.83 ± 0.02 | 6.67 |
20 | 41.13 ± 0.04 | 15.48 | 26.57 ± 0.03 | 10.14 | 17.91 ± 0.01 | 7.31 |
21 | 31.89 ± 0.02 | 11.82 | 17.65 ± 0.02 | 6.27 | 10.85 ± 0.04 | 4.11 |
22 | 40.10 ± 0.01 | 15.04 | 28.82 ± 0.03 | 11.02 | 12.77 ± 0.02 | 5.31 |
В целом значения |ΔH°| в зависимости от строения молекул сорбатов изменяются в диапазоне 7.46–41.13 кДж/моль (при концентрации ацетонитрила 50%). При этом максимальные значения энтальпии характерны для производных пиридазинохинолина 17–22, диапазон изменения |ΔH°| для которых лежит в пределах 26.43–41.13 кДж/моль (рис. 2). Сравнительно большие значения |ΔH°| характерны также для производных хинолина с фенилом или пиридилом в положении 2 (вещества 7–11, |ΔH°| ~13.58–37.14 кДж/моль). Присутствие гидроксильной группы в положении 2 хинолинового фрагмента, напротив, способствует уменьшению значений |ΔH°|, и для соединений 1–6 диапазон изменения этой величины составляет ~7.46–18.37 кДж/моль. Этот факт, вероятно, обусловлен существенным перераспределением электронной плотности, характерным именно для производных хинолина с гидроксильной группой в α-положении к атому азота по сравнению с их аналогами [14]. Для производных тетрагидрохинолина (вещества 12–16) значения |ΔH°| лежат в диапазоне 10.48–21.35 кДж/моль. Таким образом, разброс значений энтальпии сорбции для исследованных соединений оказывается сравнительно большим и определяется, прежде всего, строением молекул аналитов.
Рис. 2. Зависимости lnk от 1000 / Т (состав элюента ацетонитрил – вода 50:50).
Дополнительные сведения о влиянии изменения структуры на удерживание в ОФ варианте ВЭЖХ можно получить на основании изменения величин дифференциальных мольных энергий Гиббса δ (ΔG) или удерживания относительно какого-либо вещества, стандартного для данного класса соединений [2]. Из представленных в табл. 3 значений δ (ΔG) и удерживания исследованных соединений, определенных относительно хинолина (r), следует, что сорбция веществ 1–6 и 17–22 несущественно изменяется по сравнению с удерживанием хинолина: при концентрации ацетонитрила, равной 50%, значения r оказываются либо меньше, либо чуть больше 1, а величина δ (∆G) практически не превышает 1.5 кДж/ моль, что, очевидно, является результатом преимущественного вклада в удерживание основного хинолинового фрагмента. При этом влияние относительно больших (по сравнению с хинолином) значений параметров, ответственных за дисперсионные взаимодействия этих веществ с сорбентом, нивелируется взаимодействием соответствующих функциональных групп и заместителей с компонентами элюента. Следует обратить внимание на уже отмеченный выше факт присутствия в молекулах указанных веществ гидроксильной группы в α-положении по отношению к атому азота, усиливающей взаимодействие этих сорбатов с элюентом. Косвенным подтверждением данного предположения является примерно в 2 раза большая сорбция веществ 7–16 (за исключением вещества 11 с пиридилом в положении 2), не содержащих гидроксильной группы, относительно хинолина.
Таблица 3. Значения относительного удерживания r и изменения величин дифференциальных мольных энергий Гиббса δ (ΔG) исследованных соединений
№ | r50% | r70% | r80% | –δ (∆G)50% | –δ (∆G)70% | –δ (∆G)80% |
1 | 0.54 | 1.33 | 1.64 | –1.51 | 0.71 | 1.22 |
2 | 0.68 | 1.40 | 1.68 | –0.96 | 0.84 | 1.28 |
3 | 0.73 | 1.43 | 1.69 | –0.79 | 0.89 | 1.29 |
4 | 0.80 | 1.44 | 1.71 | –0.57 | 0.90 | 1.33 |
5 | 0.96 | 1.56 | 1.75 | –0.11 | 1.10 | 1.38 |
6 | 1.00 | 1.52 | 1.74 | 0.01 | 1.04 | 1.39 |
7 | 2.22 | 2.26 | 2.33 | 1.97 | 2.02 | 2.09 |
8 | 2.64 | 2.24 | 2.45 | 2.41 | 1.99 | 2.22 |
9 | 4.91 | 3.05 | 2.90 | 3.94 | 2.76 | 2.64 |
10 | 2.10 | 1.95 | 2.16 | 1.84 | 1.65 | 1.91 |
11 | 1.10 | 1.59 | 1.84 | 0.23 | 1.14 | 1.51 |
12 | 4.44 | 2.38 | 2.35 | 3.69 | 2.15 | 2.11 |
13 | 1.79 | 2.25 | 2.26 | 1.44 | 2.01 | 2.02 |
14 | 2.42 | 1.78 | 2.08 | 2.19 | 1.43 | 1.81 |
15 | 1.85 | 2.22 | 2.25 | 1.52 | 1.97 | 2.01 |
16 | 3.87 | 3.23 | 2.64 | 3.35 | 2.90 | 2.40 |
17 | 1.07 | 1.61 | 1.74 | 0.17 | 1.18 | 1.37 |
18 | 1.84 | 2.13 | 2.08 | 1.51 | 1.87 | 1.81 |
19 | 1.34 | 1.80 | 1.91 | 0.72 | 1.46 | 1.61 |
20 | 0.98 | 1.59 | 1.78 | –0.05 | 1.14 | 1.42 |
21 | 1.04 | 2.17 | 1.89 | 0.10 | 1.91 | 1.57 |
22 | 1.03 | 1.59 | 1.78 | 0.06 | 1.14 | 1.42 |
Еще одним фактором, влияющим как на значения энтальпии сорбции, так и на величины удерживания относительно хинолина может явиться различная ориентация молекул сорбатов относительно поверхности сорбента, обусловленная влиянием ориентирующего действия полярных компонентов элюента, способных “развернуть” молекулы относительно поверхности сорбента в соответствии с энергетически более выгодной ориентацией образующегося сорбционного комплекса, в результате чего они будут взаимодействовать с этой поверхностью лишь наиболее гидрофобной ее частью. Возможность подобной различной ориентации молекул относительно поверхности сорбента была показана нами ранее при исследовании сорбции производных хинолина на поверхности сверхсшитого полистирола с помощью квантово-химических расчетов [15]. Можно предположить, что аналогичная картина имеет место и при сорбции подобных соединений на поверхности октадецилсиликагеля.
Тем не менее, в целом сорбция исследованных веществ подчиняется закономерностям обращенно-фазовой высокоэффективной жидкостной хроматографии (ОФ ВЭЖХ), в соответствии с которыми удерживание определяется, главным образом, дисперсионными взаимодействиями молекул сорбатов с поверхностью сорбента, увеличиваясь, таким образом, с возрастанием размерных параметров и гидрофобности молекул (характер изменения данных параметров в зависимости от строения молекул производных хинолина проанализирован нами ранее [16]). Для исследованных сорбатов, как следует из рис. 1, наблюдается симбатность в изменении энтальпии сорбции |ΔH°| с изменением значений ван-дер-ваальсового объема, площади поверхности и гидрофобности молекул. (Все приведенные выше данные представлены для концентрации ацетонитрила в элюенте, равной 50%). Отсутствие при этом строгой линейной корреляции и большой разброс соответствующих значений обусловлены, вероятно, влиянием полярного элюента. Различиями в характере процессов, протекающих в хроматографической колонке с изменением состава элюента, можно, вероятно, объяснить неоднозначное изменение абсолютного значения энтальпии сорбции |ΔH°| и энтропийного члена в выбранном интервале концентрации ацетонитрила для соединений разного строения. Так, для веществ 1, 2, 8 и 17–22 значения |ΔH°| закономерно уменьшаются с увеличением содержания ацетонитрила в элюенте, в то время как для веществ 3–7 значения |ΔH°| сначала уменьшаются, затем возрастают, а для веществ 9–16, напротив, сначала возрастают, а затем уменьшаются.
Соответствующее немонотонное изменение термодинамических функций наблюдали авторы [13] при исследовании удерживания дипиридилов на поверхности пористого графитированного углерода, объяснив подобную закономерность вероятной пересольватацией молекул адсорбатов ацетонитрилом по мере уменьшения содержания воды в элюенте. Аналогичное немонотонное изменение величины энтальпии сорбции азотсодержащих ароматических соединений и увеличение энтропийного фактора с ростом концентрации ацетонитрила, полученное авторами [17], было интерпретировано как результат возможной смены механизма адсорбции.
С изменением количественного состава элюента различным оказывается и удерживание исследованных гетероциклов относительно хинолина. Как следует из рис. 3, значения δ (ΔG) с ростом концентрации ацетонитрила либо уменьшаются, либо увеличиваются, либо это изменение оказывается немонотонным с незначительными экстремумами при концентрации 60% в зависимости от строения гетероцикла. Вероятно, и в этом случае основной причиной разнообразия подобных зависимостей является различный характер взаимодействий (включая сольвофобные) сорбатов разного строения с компонентами элюента как в объеме раствора, так и на границе раздела фаз, [12, 18, 19].
Рис. 3. Зависимость величины δ (∆G) от концентрации ацетонитрила в элюенте.
Особенности подобного влияния состава элюента на удерживание обусловлены, как известно, следующими причинами. Прежде всего, поскольку при адсорбции из конденсированной жидкой среды межмолекулярное взаимодействие в объеме раствора может быть весьма существенным и направленным при этом внутрь раствора, действуя, таким образом, в направлении, противоположном по отношению к взаимодействию с адсорбентом, то суммарное межмолекулярное взаимодействие сорбент – сорбат – элюент оказывается меньше межмолекулярного взаимодействия сорбент – сорбат [2]. Кроме того, в ОФ варианте ЖХ молекулы сорбата могут взаимодействовать либо непосредственно с поверхностью сорбента в случае более сильных взаимодействий сорбат – сорбент, либо с адсорбированным на поверхности сорбента слоем молекул элюента в случае более сильных взаимодействий элюент – сорбент и сорбат – элюент [18–20]. При этом энергия взаимодействия в последнем случае будет определяться разницей в энергии сольватации молекул сорбатов в объемном растворе элюента и на поверхности сорбента и для одной и той же хроматографической системы в значительной степени зависеть от строения молекул сорбатов, что способствует в некоторых случаях реализации обоих вариантов взаимодействия с элюентом (как, например, показали авторы [21] при изучении удерживания производных хинолона, содержащих заместители различной природы в разных положениях основного фрагмента молекулы). Таким образом, в качестве основных факторов, приводящих к изменению величин |ΔH°| и A с ростом концентрации ацетонитрила, в литературе называют увеличение энергетических затрат на вытеснение молекул ацетонитрила из адсорбционного слоя при условии конкурентного механизма сорбции из многокомпонентных растворов, либо усиление сольватации полярных молекул сорбатов при возрастании содержания органического компонента в подвижной фазе, либо изменение механизма удерживания [18–22].
О влиянии количественного состава элюента на сорбцию исследованных гетероциклов свидетельствует также анализ энтальпийно-энтропийных зависимостей процесса перехода сорбатов из водно-ацетонитрильных растворов в фазу октадецилсиликагеля. Причиной возникновения энтальпийно-энтропийной компенсации при сорбции, как известно, является тот факт, что изменение энтальпии, то есть увеличение энергетической составляющей процесса взаимодействия молекул сорбата с поверхностью сорбента в результате изменения их строения, компенсируется энтропийной составляющей, то есть увеличением степени локализации молекул сорбата на поверхности сорбента. Из рис. 4 следует, что характер подобной зависимости для исследованных сорбатов оказывается несколько различным при изменении состава элюента – коэффициент соответствующей линейной аппроксимации изменяется от ~ 0.96 при 50% ацетонитрила, до ~ 0.88 и 0.90 при концентрации ацетонитрила 60 и 70%. Поскольку известно, что компенсационный эффект наблюдается для процессов, протекающих, как правило, по одному механизму [23, 24], полученные данные могут быть косвенным подтверждением изменения механизма удерживания гетероциклов с изменением состава элюента.
Рис. 4. Энтальпийно-энтропийная зависимость адсорбции исследованных гетероциклов на октадецилсиликагеле из водно-ацетонитрильного элюента разной концентрации (а – 50, б – 60, в – 70%).
Таким образом, накопленный экспериментальный материал свидетельствует о сложности процессов, протекающих при хроматографировании производных хинолина, что, несомненно, требует дополнительных исследований в более широких диапазонах состава элюента, температуры и природы сорбента.
About the authors
А. В. Капитонов
Самарский национальный исследовательский университет им. академика С. П. Королева
Email: curbatsv@gmail.com
Russian Federation, Самара, 443086
С. А. Рыжкин
Самарский национальный исследовательский университет им. академика С. П. Королева
Email: curbatsv@gmail.com
Russian Federation, Самара, 443086
С. В. Курбатова
Самарский национальный исследовательский университет им. академика С. П. Королева
Author for correspondence.
Email: curbatsv@gmail.com
Russian Federation, Самара, 443086
М. Н. Земцова
Самарский государственный технический университет
Email: curbatsv@gmail.com
Russian Federation, Самара, 443100
References
- Снайдер Л.Р, Киркленд Д.Д., Долан Д.У. Введение в современную жидкостную хроматографию. М.: Техносфера, 2020. 960 с
- Киселев А.В. Межмолекулярные взаимодействия в адсорбции и хроматографии. М.: Высш. школа, 1986. 360 с.
- Knox J., Kaliszan R. // J. Chromatogr. 1985. V. 349. P. 211. DOI: https://doi.org/10.1016/S0021-9673(01)83779-1
- Jiang P., Lucy Ch. A. // J. Chromatogr. A. 2016. V.1437. P. 176. DOI: https://doi.org/10.1016/j.chroma.2016.02.014
- Сайфутдинов Б.Р., Пимерзин А.А. // Журн. физ. химии. 2013. Т. 87. № 4. С. 545. DOI: http://dx.doi.org/10.7868/S0044453713120248. [Saifutdinov B.R., Pimerzin A.A. // Rus. J. of Phys. Chem. A. 2013. V. 87. № 4. P. 529].
- Шатц В.Д., Сахартова О.В. Высокоэффективная жидкостная хроматография. Рига: Зинатне, 1988. 390 с.
- Ядрова А.А., Шафигулин Р.В., Буланова А.В., и др. // Журн. физ. химии. 2018. Т. 92. № 8. С. 1296–1307. doi: 10.7868/S0044453718080150. [Yadrova A.A., Shafigulin R.V., Bulanova A.V., et al. // Rus. J. of Phys.Chemistry A. 2018. V. 92. № 8. P. 1572].
- Терней А. Современная органическая химия. Москва: Мир, 1981. Т. 1. 678 с.
- Андреев В.П. //Химия гетероцикл. соединений. 2010. № 2. С. 227. DOI: https://doi.org/10.1007/2802
- Джилкрист Т. Химия гетероциклических соединений. Москва: Мир, 1996. 463 с.
- Bolliet D., Pool C.F. Analyst. 1998. V. 123. P. 295. DOI: https://doi.org/10.1039/a705617f.
- Jandera P., Krupczyn´ska K., Vynˇuchalová K., Buszewski B. //J. Chromatogr. A. 2010. V. 1217. P. 6052. DOI: https://doi.org/10.1016/j.chroma.2010.07.019
- Сайфутдинов Б.Р., Буряк А.К. // Журн. физ. химии. 2019. Т. 93. № 9. С. 1392. DOI: http://dx.doi.org/10.1134/S004445371909022X. [Sayfutdinov B.R., Buryak A.K.// Rus. J. of Phys. Chem. A. 2019. V. 93. № 9. P. 1796.].
- Привалова И.Ю., Соколова И.В. // Журн. структур. химии. 1984. Т. 25. № 6. С. 24.
- Некрасова Н.А., Курбатова С.В. // Там же. 2017. Т. 58. № 4. С. 798. doi: 10.15372/JSC20170418. [Nekrasova N.A., Kurbatova S.V. // Ibid. 2017. Т. 58. № 4. С. 767.]
- Рыжкин С.А., Капитонов А.В., Финкельштейн Е.Е. и др. // Сорбц. и хроматогр. процессы. 2023. Т. 23. № 5. С. 887. https://doi.org/10.17308/sorp-chrom.2023.23/11723
- Ланин С.Н., Рычкова С.А., Виноградов А.Е., и др.// Изв. АН. Сер. хим. 2016. № 1. С. 110. doi: 10.1007/s11172-016-1272-8. [Lanin S.N., Rychkova S.A., Vinogradov A.E., Lanina K.S., Shatalov I.A. //Rus. Chem. Bulletin. 2016. V. 65. № 1. P. 110].
- Сайфутдинов Б.Р. // Физикохимия поверхности и защита материалов. 2016. Т. 52. № 6. С. 586. DOI: https://doi.org/10.1134/S0036024410040266. [Saifutdinov B.R. // Protection of Metals and Physical Chemistry of Surfaces. 2016. V. 52. № 6. P. 586].
- Vailaya A., Horva´th C. // J. Chromatogr. A. 1998. V. 829. P. 1. DOI: https://doi.org/10.1016/s0021-9673(98)00727-4
- Scholten A.B., Claessens H.A., de Haan J.W., Cramers C.A. //J. Chromatogr. A. 1997. V.759. P. 37. DOI: https://doi.org/10.1016/S0021-9673(96)00765-0
- Kim H.S., Lee D.W. // J. Chromatogr. A. 1996. V. 722. P. 69. DOI: https://doi.org/10.1016/0021-9673(95)00687-7
- Сайфутдинов Б.Р. // Изв. АН. Сер. хим. 2014. № 12. С. 2609. [Saifutdinov B.R. //Rus. Chemical Bulletin. 2014. V. 63. № 12. P. 2609].
- Сайфутдинов Б.Р., Курбатова С.В., Емельянова Н.С. // Журн. физ. химии. 2010. Т. 84. № 4. С. 760. DOI: https://doi.org/10.1134/S0036024410040266. [Saifutdinov B.R., Kurbatova S.V., Emel’yanova N.S. // Rus. J. of Phys. Chem. A. 2010. V. 84. № 4. P. 760].
- Киреев В.А. Методы практических расчетов в термодинамике химических реакций. М.: Химия, 1970. 520 с.
Supplementary files




























