Studying the electrochemical behavior of a smooth gold electrode in a solution of bridged 1,2,4-trioxalane in acetonitrile
- Authors: Polyakov M.V.1, Vedenyapina M.D.1, Skundin A.M.2, Yaryomenko I.A.1, Radulov P.S.1
-
Affiliations:
- N. D. Zelinsky Institute of Organic Chemistry of the Russian Academy of Sciences
- A. N. Frumkin Institute of Physical Chemistry and Electrochemistry of the Russian Academy of Sciences
- Issue: Vol 99, No 1 (2025)
- Pages: 153-160
- Section: ELECTROCHEMISTRY. GENERATION AND STORAGE OF ENERGY FROM RENEWABLE SOURCES
- Submitted: 17.04.2025
- Accepted: 17.04.2025
- Published: 17.04.2025
- URL: https://medbiosci.ru/0044-4537/article/view/288161
- DOI: https://doi.org/10.31857/S0044453725010157
- EDN: https://elibrary.ru/EHQXIQ
- ID: 288161
Cite item
Abstract
The behavior of a smooth gold electrode in the medium of bridged 1,2,4-trioxalane in acetonitrile is studied by cyclic voltammetry and gravimetry methods. It is found that during the cathodic process, the reduction of the peroxide bond in the bridged 1,2,4-trioxalane molecule takes place at the electrode surface followed by the formation of a diketone moiety. During anodic oxidation, the formation of colloidal gold particles is detected.
Full Text
Органические пероксиды обладают широким спектром биологической активности: фунгицидной [1–4], антигельминтной [5–8], противораковой [1, 9–13], противомалярийной [10, 14–16] и антипротазойной [5, 11, 17, 18], также данные соединения до сих пор интересны и в качестве инициаторов радикальной полимеризации для промышленных процессов [19–21], по этим причинам разработка различных методов их синтеза и анализа остаются актуальными и на сегодняшний момент [22–25].
Используя методы электрохимического анализа, можно определить потенциальную окислительно-восстановительную способность соединений, в частности органических пероксидов. Одним из наиболее распространенных таких методов является метод циклической вольтамперометрии [26–28]. Причем подобные исследования предпринимались, как для установления корреляции между биологической активностью и окислительно-восстановительной способностью соединений [10, 29], так и для того, чтобы определить протекающие процессы окисления и восстановления пероксидов на электродах [28, 30–32], созданных из определенных материалов, в различных органических и водных средах.
В работах [28, 30, 31, 33, 34] исследовали электрохимическое поведение органических пероксидов в среде органических растворителей с использованием стеклоуглеродного электрода в качестве рабочего. Также можно найти некоторое количество работ, в которых редокс-свойства органических пероксидов изучались уже в водной среде, однако в данном случае рабочим электродом выступали уже золото или платина [32, 35–38]. Таким образом, нам представилось крайне интересным исследование подобных соединений в неводных средах на электродах из благородных металлов.
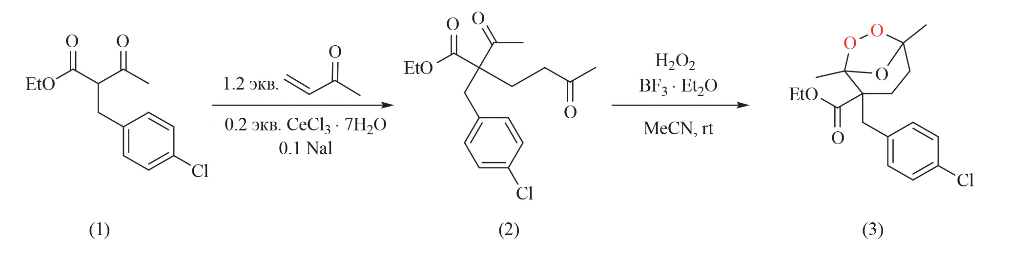
Этил 2-(4-хлорбензил)-1,5-диметил-6,7,8-триоксабицикло[3.2.1]октан-2-карбоксилат (3) получали по методике [3] в две стадии из этилового эфира 2-(4-хлорбензил)-3-оксобутаноата (1) (схема 1).
Схема 1. Получение исследуемого субстрата 3.
Продуктом реакции восстановления 1,2,4-триоксолана (озонида) 3 выступал исходный 1,5-дикетон 2, который был выделен в индивидуальном виде с использованием колоночной хроматографии. Соединения 2 и 3 охарактеризованы методом ЯМР-спектроскопии.
Спектры ЯМР 1H и 13C регистрировали на приборе “Bruker AM-300”, рабочая частота 300 (1H) или 75 (13C) МГц. Внутренний стандарт – CHCl3. Химические сдвиги ЯМР 1H приведены относительно остаточного сигнала растворителя (CDCl3) 7.27 м. д. для ядер 1H и 77.0 м. д. для ядер13C.
Хроматографию продуктов проводили на силикагеле (0.060–0.200 мм, 60°, CAS7631–86–9). Дихлорметан, ацетонитрил, петролейный эфир (ПЭ). (40:70), этилацетат (ЭА), метилвинилкетон, H2O2 (35% водный раствор), MgSO4, NaHCO3, NaI, CeCl3 · 7H2O, BF3 · Et2O и Na2S2O3 были приобретены у Acros. Раствор H2O2 в Et2O (6.0 м) получали экстракцией Et2O. (5–100 мл) из 35% водного раствора (100 мл) с последующей сушкой над MgSO4 и удалением части Et2O в вакууме водоструйного насоса при 20–25°C. Этиловый эфир 2-ацетил-2-(4-хлорбензил)-5-оксагексановой кислоты (2) получен по методике [3]. Спектральные характеристики соединений 2,3 соответствовали описанным ранее [3].
Этиловый эфир 2-ацетил-2-(4-хлорбензил)-5-оксагексановой кислоты, 2
Светло-желтое масло. Выход 85%.
Спектр ЯМР 1H (300.13 МГц, δ, м. д., J/Гц, CDCl3): 1.26 (т, 3H, J = 7.1 Гц), 2.02–2.36 (м, 8H), 2.38–2,65 (м, 2H), 3.05–3.23 (дд, 2H, J=14.2 Гц), 4.13–4.23 (м, 2H), 7.00 (д, 2H, J = 8.2 Гц), 7.22 (д, 2H, J = 8.2 Гц).
Спектр ЯМР 13С (75.48 МГц, δ, м. д., J/Гц, CDCl3): 14.0, 25.6, 27.6, 30.1, 37.7, 38.2, 61.7, 63.9, 128.6, 129.2, 130.2, 131.3, 171.6, 205.2, 206.8.
Этил 2-(4-хлорбензил)-1,5-диметил-6,7,8-триоксабицикло[3.2.1]октан-2-карбоксилат, 3
Белые кристаллы. Выход 90%. Rf = 0.46 (TLC, PE: EA, 5: 1).
Спектр ЯМР 1H (300.13 МГц, δ, м. д., J/Гц, CDCl3): 1.22 (т, J = 7.2 Гц, 2.5H), 1.26 (т, J = 7.2 Гц, 0.5H), 1.48 (с, 2.5H), 1.55 (с, 0.5H), 1.59–2.11 (м, 4.2H), 1.66 (с, 0.5H), 1.79 (с, 2.5H), 2.59 (д, J = 12.9 Гц, 1H), 3.00 (д, J = 12.9 Гц, 0.2H), 3.30 (д, J = 12.9 Гц, 0.2H), 4.14 (кв, J = 7.2 Гц, 0.4H), 4.19 (кв, J = 7.2 Гц, 1.6H), 7.00 (д, J = 8.8 Гц, 1.6H), 7.04 (д, J = 8.8 Гц, 0.4H), 7.21 (д, J = 8.8 Гц, 1.6H), 7.22 (д, J = 8.8 Гц, 0.4H).
Спектр ЯМР 13С (75.48 МГц, δ, м. д., J/Гц, CDCl3): 14.2, 18.7, 19.0, 20.6, 20.8, 21.7, 25.7, 31.1, 32.8, 36.9, 40.3, 54.1, 54.4, 61.2, 61.4, 109.2, 109.8, 111.0, 111.2, 128.5, 128.6, 131.3, 131.4, 132.9, 134.6, 172.3, 172.4.
В настоящей работе 2-(4-хлорбензил)-1,5-диметил-6,7,8-триоксабицикло[3.2.1]октан-2-карбоксилат 3 был исследован на предмет электрохимического поведения на золотом электроде в среде ацетонитрила методом ЦВА (циклической вольтамперометрии), также был определен продукт катодного восстановления на золотом электроде и изучена кинетика коррозии золота при анодном окислении в присутствии соединения 3.
ЭКСПЕРИМЕНТАЛЬНАЯ ЧАСТЬ
Исследование методом ЦВА
Циклические вольтамперограммы регистрировали с помощью потенциостата IPC-Pro MF, который управлялся персональным компьютером. Исследования проводили в трехэлектродной ячейке при температуре 293 K в области потенциалов E от ‒2800 до 2300 мВ. Скорость развертки потенциала варьировали в диапазоне от 100 до 500 мВ/с. В качестве рабочего электрода использовали золотую проволоку диаметром 0.3 мм, впаянную в стекло и погруженную в раствор электролита на 5 мм, вспомогательным электродом служила платиновая проволока такого же размера. Для детализации процессов, протекающих в анодной области, использовали золотой дисковой электрод с рабочей площадью 50.26 мм2. Электродом сравнения являлся хлорсеребряный электрод с двойной мембраной (Ag|AgCl|KCl (3.5 моль л–1)). Перед проведением эксперимента платиновый и золотой электрод травили в царской водке и подвергали катодной поляризации в 0.1 н. растворе серной кислоты при j=20.9 мА/см2.
Рабочие растворы готовили с использованием предварительно обезвоженного над P2O5 ацетонитрила (MeCN). В качестве фонового электролита применяли 0.05 М раствор гексафторфосфата тетрабутиламмония (Bu4NPF6, TBAFP) в ацетонитриле, концентрация исследуемого соединения 3 в случае исследования на гладком золотом электроде в катодной области составляла 0.05 М, при проведении сканирования на золотом дисковом электроде в анодной области концентрация 1 была равна 0.03 М.
Электролиз с использованием Au в качестве катода
Электролиз проводился в двухэлектродной ячейке без разделения анодного и катодного пространств при токе I=1 мА с использованием золотой проволоки (d = 0.3 мм) в качестве катода и платиновой проволокой (d = 0.3 мм) в качестве анода в 5 мл раствора соединения 3 (концентрация 0,075 моль л–1) в ацетонитриле, с использованием для проводимости тетрафторбората тетрабутиламмония (Bu4NBF4, TBAFB) концентрацией 0.05 моль л–1.
Электролиз с использованием Au в качестве анода
Коррозия золотого анода в процессе электролиза изучали в двухэлектродной ячейке без разделения анодного и катодного пространств при токе I = 5 мА. В качестве катода использовалась платиновая проволока (d = 0.3 мм), золотой анод также представлял собой проволоку (d = 0.3 мм), оба электрода были погружены в раствор на 11–12 мм. Концентрация используемого соединения 3 в растворе Bu4NPF6 (0.05 М) в ацетонитриле составляла 0.05 М, объем рабочего раствора 5 мл. С целью оценки потери (или прироста) массы электродов через определенные промежутки времени проводили их взвешивание на электронных аналитических весах “ABJ220-4NM” (“Kern”, США) (d = 0.0001 г).
Наличие золотых частиц в растворе определяли при помощи рентгено-флуоресцентной спектрометрии с градуировкой по методу фундаментальных параметров на рентгенофлуоресцентном спектрометре ARL PFX-101 (Thermo ARL, Швейцария).
ОБСУЖДЕНИЕ РЕЗУЛЬТАТОВ
При погружении золотого электрода в исследуемый раствор устанавливался стационарный потенциал 0.4 В относительно хлорсеребряного электрода сравнения, далее регистрировали ЦВА раствора соединения 3 концентрацией 0.05 М.
На рис. 1 приведены ЦВА, зарегистрированные для золотого электрода в растворе 3 в интервале потенциалов E от 400 мВ до ‒2800 мВ, при различных скоростях развертки потенциала ν от 100 до 500 мВ/с. На ЦВА наблюдаются два необратимых пика: первый, неявно выраженный в интервале потенциалов от ‒800 до ‒1150 мВ, и второй, в интервале потенциалов от ‒1500 до ‒2600 мВ.
Рис. 1. ЦВА 3 в катодной области на Au-электроде, ν = 100, 150, 200, 250, 300, 350, 400, 450, 500 мВ/с.
На рис. 2 изображены линейные зависимости Ip,c –ν0.5, проходящие через начала координат или близко к началу координат, что свидетельствует о том, что восстановление в обоих катодных процессах в исследуемых интервалах потенциалов лимитируется стадией диффузионного подвода субстрата к поверхности электрода [39, 40], поэтому в данном случае применимо уравнение
где S – площадь поверхности рабочего электрода, погруженного в раствор, см2, c0 – концентрация исследуемого вещества в ячейке, моль/см3, F – число Фарадея, Кл/моль, R – универсальная газовая постоянная, Дж/к моль, T – значение абсолютной температуры при проведении опыта, К, D – коэффициент диффузии, см2/c, α – коэффициент переноса электрона, nα – число электронов, принимающих участие в лимитирующей стадии переноса заряда, n – суммарное число электронов, переносимых диффундирующей частицей. Как правило, nα = 1.
Рис. 2. Зависимости Ipc – ν0,5 для первого (а) и второго (б) катодных пиков ЦВА.
Были рассчитаны значения αna для катодных процессов. Расчет значений αna проводили по формуле
(2)
где R – универсальная газовая постоянная, Дж/к моль, T – значение абсолютной температуры при проведении опыта, К, F – число Фарадея, Кл/моль, Ep/2 – значение потенциала для 0.5Ip,c, В. Для каждой скорости развертки потенциала для каждого катодного пика, после были найдены средние арифметические значения αna.
По расчетам, проведенным на основе полученных данных рис. 2, α1nα = 0.5 для первого катодного пика и α2nα = 0.32 для второго катодного пика. Оба этих значения находятся в пределах 0<α<0.5, поэтому можно считать, что na = 1.
При регистрации ЦВА на золотом дисковом электроде с радиусом 4 мм в интервале потенциалов E от 400 до 2300 мВ были получены воспроизводимые ЦВА. Анодный пик был зафиксирован в интервале потенциалов от 1200 до 2300 мВ. При увеличении скорости развертки потенциала значение потенциала максимального значения тока смещалось в более анодную область. Также наблюдался квазиобратимый пик восстановления в катодной ветви развертки ЦВА (рис. 3).
Рис. 3. ЦВА 3 в анодной области на Au-электроде, ν = 100, 150, 200, 250, 300, 350, 400, 450, 500 мВ/с.
По уравнению (1) были рассчитаны коэффициенты диффузии субстрата с учетом уже найденного значения коэффициента α. Площадь поверхности S составляла 4.78 × 10–6 м2 с учетом того, что диаметр рабочего электрода 0.3 мм, а погружение в раствор 5 мм. Из формулы (1), с учетом наклонов прямых рис. 4 были рассчитаны коэффициенты диффузии D, при условии, что в каждом из процессов переносится по одному электрону n=1. Наклоны прямых соответственно составляют dI/dn0,5 = –1.33 × 10–4 Ас1/2/В1/2 для первого катодного пика и dI/dn0,5 –5.695 × 10–4 Ас1/2/В1/2 для второго катодного пика, а рассчитанные коэффициенты диффузии при этом будут равны Dc,1 = 6.85 × 10–8 см2/с, Dc,2 = 1.95 × 10–6 см2/c.
Рис. 4. Зависимость Ip,a от ν0,5.
Стоит отметить разницу между коэффициентами диффузии, которые отличаются друг от друга на полтора порядка, причем, наибольшее значение D было рассчитано для второго процесса. Подобная разница в коэффициентах диффузии наблюдалась и при исследовании электрохимического поведения 1,2,4,5-тетраоксана в среде ацетонитрила [41]. По всей видимости, радикал, образованный в результате первого катодного процесса, является более подвижным, чем исходный циклический пероксид, из-за чего и наблюдается разница между коэффициентами диффузии Dc,1 и Dc,2.
Зависимость Ip,a от квадратного корня скорости сканирования потенциала ν0.5 является прямой линией, проходящей через начало координат (рис. 4), что свидетельствует о том, что протекание анодного процесса в исследуемом интервале потенциалов лимитируется стадией диффузионного подвода субстрата к поверхности электрода. Поэтому в данном случае применимо уравнение (1), так же, как и для процессов, протекающих в катодной области ЦВА.
Расчет, проведенный по уравнению (2), с использованием данных, полученных по рис. 4, позволил вычислить значение α1nα для анодного процесса. Это значение, равное 0.28, находится в пределе 0<α<0.5, поэтому можно считать, что nα=1.
По уравнению (1) рассчитали коэффициент диффузии субстрата D с учетом площади поверхности S, равной 4.94 × 10–5 м2 для дискового Au-электрода, и наклона прямой (данные рис. 4), составляющей dI/dn0,5 = 8.29 × 10–4 Ас1/2/В1/2. Величина коэффициента диффузии для анодного процесса Dа = 1.25 × 10–7 см2/с.
С целью изучения продуктов окисления проведен гравиметрический эксперимент, где в качестве анода использовался гладкий золотой электрод, а в качестве катода – платиновый (рис. 5). За все время эксперимента масса платинового катода увеличилась на 0.5 мг, при этом масса растворенного с анода золота составила 6.5 мг. При проведении электролиза с платиновым катодом наблюдается линейная зависимость растворения золота от времени эксперимента.
Рис. 5. Изменение массы золотого анода, при I = 5 мА, в растворе MeCN, концентрация соединения 3 составляла 0.05 M.
Нами предложен следующий механизм анодного процесса коррозии золотого электрода (Схема 2):
Схема 2. Электрохимическая коррозия золота в присутствии соединения 3 в среде ацетонитрила.
При проведении электролиза с использованием золотого электрода в качестве катода с I = 1 мА, было зафиксировано образование 1,5-дикетона 2, который являлся исходным соединением для синтеза мостикового 1,2,4 – триоксалана 3 (Схема 3). Стоит отметить, что выход продукта 2 за 45 часов электролиза составил 39%. При попытке проведения реакции при более высоких значениях тока (I = 5 мА, I = 10 мА) продукт 2 был обнаружен только в следовых количествах по данным ЯМР-спектроскопии. По-видимому, соединение 2 не образуется при более высоких значениях тока.
Схема 3. Реакция катодного восстановления соединения 3.
ЗАКЛЮЧЕНИЕ
При изучении электрохимического поведения гладкого золотого электрода в растворе мостикового 1,2,4-триоксалана в ацетонитриле, было установлено, что в катодной области протекает восстановление пероксидной связи с переносом двух электронов с последующим разрывом цикла в соединении 3, вследствие чего образуется 1,5-дикетонный фрагмент. Гравиметрическим методом показано, что в анодном пространстве происходит коррозия золотого электрода с образованием наночастиц золота, причем перенос золотых частиц на катод практически не наблюдается.
ФИНАНСИРОВАНИЕ
Работа выполнена в рамках государственного задания ИОХ РАН (тема FFZZ-2022-03).
СОБЛЮДЕНИЕ ЭТИЧЕСКИХ НОРМ
Настоящая статья не содержит описания исследований с использованием в качестве объектов животных и людей.
КОНФЛИКТ ИНТЕРЕСОВ
Авторы заявляют об отсутствии конфликта интересов в финансовой или какой-либо иной сфере.
About the authors
M. V. Polyakov
N. D. Zelinsky Institute of Organic Chemistry of the Russian Academy of Sciences
Author for correspondence.
Email: SatPolyak@yandex.ru
Russian Federation, Moscow, 119991
M. D. Vedenyapina
N. D. Zelinsky Institute of Organic Chemistry of the Russian Academy of Sciences
Email: SatPolyak@yandex.ru
Russian Federation, Moscow, 119991
A. M. Skundin
A. N. Frumkin Institute of Physical Chemistry and Electrochemistry of the Russian Academy of Sciences
Email: SatPolyak@yandex.ru
Russian Federation, Moscow, 119071
I. A. Yaryomenko
N. D. Zelinsky Institute of Organic Chemistry of the Russian Academy of Sciences
Email: SatPolyak@yandex.ru
Russian Federation, Moscow, 119991
P. S. Radulov
N. D. Zelinsky Institute of Organic Chemistry of the Russian Academy of Sciences
Email: SatPolyak@yandex.ru
Russian Federation, Moscow, 119991
References
- Ann Casteel D. // Nat. Prod. Rep. 1999. V. 16. № 1. P. 55. https://doi.org/10.1039/A705725C
- Phillipson D.W., Rinehart K.L. Jr. // J. Am. Chem. Soc. 1983. V. 105. № 26. P. 7735–7736. https://doi.org/10.1039/A705725C
- Yaremenko I.A., Radulov P.S., Belyakova Y.Y. et al. // Chem. Europ. J. 2020. V. 26. № 21. P. 4734. https://doi.org/10.1002/chem.201904555
- Yaremenko I.A., Syromyatnikov M.Y., Radulov P.S. et al. // Molecules. 2020. V. 25. № 8. P. 1954. https://doi.org/10.3390/molecules25081954
- Panic G., Duthaler U., Speich B., Keiser J. // Int. J. Parasitol. Drugs Drug. Resist. 2014. V. 4. № 3. P. 185. https://doi.org/10.1016/j.ijpddr.2014.07.002
- Vil’ V.A., Yaremenko I.A., Ilovaisky A.I., Terent’ev A.O. // Synthesis and Reactions. Molecules. 2017. V. 22. № 11. P. 1881. https://doi.org/10.3390/molecules22111881
- Kiuchi F., Itano Y., Uchiyama N. et al. // J. Am. Pharm. Assoc. 2002. V. 65. № 4. P. 509. https://doi.org/10.1021/np010445g
- Wenzel D.G., Smith C.M. // J. Am. Pharm. Assoc. Am. Pharm. Assoc. 1958. V. 47. № 11. P. 792. https://doi.org/10.1002/jps.3030471109
- Herrmann L., Yaremenko I.A., Çapcı A. et al. // Chem. Med. Chem. 2022. V. 17. № 9. https://doi.org/10.1002/cmdc.202200005
- Coghi P., Yaremenko I.A., Prommana P. et al. // Ibid. 2022. V. 17. № 20. https://doi.org/10.1002/cmdc.202200328
- Slade D., Galal A.M., Gul W. et al. // Bioorg. Med. Chem. 2009. V. 17. № 23. P. 7949. https://doi.org/10.1016/j.bmc.2009.10.019
- Yaremenko I.A., Coghi P., Prommana P. et al. // Chem. Med. Chem 2020. V. 15. № 13. P. 1118–1127. https://doi.org/10.1002/cmdc.202000042
- Yaremenko I.A., Syroeshkin M.A., Levitsky D. et al. // Med. Chem. Res. 2017. V. 26. № 1. P. 170. https://doi.org/10.1007/s00044-016-1736-2
- Tiwari M.K., Chaudhary S. // Med. Res. Rev. 2020. V. 40. № 4. P. 1220. https://doi.org/10.1002/med.21657
- Uddin A., Chawla M., Irfan I. et al. // RSC Med. Chem. 2020. V. 12. № 1. P. 24. https://doi.org/10.1039/d0md00244e
- Woodley C.M., Amado P.S.M., Cristiano M.L.S., O’Neill P.M. // Med. Res. Rev. 2021. V. 41. № 6. P. 3062. https://doi.org/10.1002/med.21849
- Otoguro K., Iwatsuki M., Ishiyama A. et al. //Phytochem. 2011. V. 72. № 16. P. 2024. https://doi.org/10.1016/j.phytochem.2011.07.015
- Perry T.L., Dickerson A., Khan A.A. et al. // Tetrahedron. 2001. V. 57. № 8. P. 1483. https://doi.org/10.1016/S0040-4020(00)01134-0
- Kumar M., Gehlot P.S., Parihar D. et al. // Eur. Pol. J. 2021. V. 152. https://doi.org/10.1016/j.eurpolymj.2021.110448
- Lee M., Minoura Y. // J. Chem. Soc., Faraday Trans. 1978. V. 74. № 0. P. 1726. https://doi.org/10.1039/f19787401726
- Przybysz-Romatowska M., Haponiuk J., Formela K. // Polymers. 2020. V. 12. № 1. https://doi.org/10.3390/polym12010228
- Радулов П.С., Белякова Ю.Ю., Демина А.А. и др. // Изв. АН. Сер. Хим. 2019. Т. 68. № 6. С. 1289–1292. (Radulov P.S., Belyakova Y.Y., Demina A.A. et al. // Russ. Chem. Bull. 2019. V. 68. № 6. P. 1289. https://doi.org/10.1007/s11172-019-2555-7)
- Matsumoto A., Maruoka K. // Bull. Chem. Soc. Jpn. 2020. V. 94. № 2. P. 513. https://doi.org/10.1246/bcsj.20200321
- Gemki M., Taspinar Ö., Adler A. et al. // Org. Proc. Res. Dev. 2021. V. 25. № 12. P. 2747. https://doi.org/10.1021/acs.oprd.1c00364
- Zdvizhkov A., Terent’ev A., Radulov P. et al. // Tetrahedron Lett. 2016. V. 57. № 8. https://doi.org/10.1016/j.tetlet.2016.01.061
- Rountree E.S., McCarthy B.D., Eisenhart T.T., Dempsey J.L. // Inorg. Chem. 2014. V. 53. № 19. P. 9983.
- Savéant J.-M. // Advances in Physical organic chemistry. 2000. V. 35. P. 117. https://doi.org/10.1016/s0065-3160(00)35013-4
- Magri D.C., Workentin M.S. // Org. Biomol. Chem. 2008. V. 6. № 18. P. 3354. https://doi.org//10.1039/b809356c
- Yaremenko I.A., Coghi P., Prommana P. et al. // Chem. Med. Chem. 2020. V. 15. № 13. P. 1118. https://doi.org//10.1002/cmdc.202000042
- Magri D.C., Workentin M.S. // Molecules. 2014. V. 19. № 8. P. 11999. https://doi.org//10.3390/molecules190811999
- Magri D.C., Workentin M.S. // Chemistry. 2008. V. 14. № 6. P. 1698. https://doi.org//10.1002/chem.200701740
- Веденяпина М.Д., Симакова А.П., Платонов М.М. и др. // Журн. физ. химии. 2013. Т. 87. № 3. С. 418. (Vedenyapina M.D., Simakova A.P., Platonov M.M. et al. // Russ. J. Phys. Chem. https://doi.org//10.1134/S0036024413030333)
- Magri D.C., Donkers R.L., Workentin M.S. // J. Photochem. Photobiol., A. 2001. V. 138. № 1. P. 29. https://doi.org//10.1016/S1010-6030(00)00386-5
- Stringle D.L., Magri D.C., Workentin M.S. // Chemistry. 2010. V. 16. № 1. P. 178. https://doi.org//10.1002/chem.200902023
- Веденяпина М.Д., Скундин А.М., Виль В.А. и др. // Журн. физ. химии. 2020. Т. 94. № 4. С. 624–628. (Vedenyapina M.D., Skundin A.M., Vil’ V.A. et al. // Russ. J. Phys. Chem. https://doi.org//10.1134/S0036024420040238)
- Веденяпина М.Д., Скундин А.М., Виль В.А. и др. // Журн. физ. химии. 2021. Т. 95. № 1. С. 147–151. (Vedenyapina M.D., Skundin A.M., Vil’ V.A. et al. // Russ. J. Phys. Chem. https://doi.org//10.1134/S0036024421010313)
- Веденяпина М.Д., Виль В.А., Терентьев А.О., Веденяпин А.А. // Изв. АН. Сер. Хим. 2017. Т. 66. № 11. С. 2044–2047. (Vedenyapina M.D., Vil’ V.A., Terent’ev A.O., Vedenyapin A.A. // Russ. Chem. Bull. 2017. V. 66. № 11. С. 2044.)
- Поляков М.В., Веденяпина М.Д., Скундин А.М. и др. // Журн. физ. химии. 2023. Т. 97. № 7. C. 972. https://doi.org//10.31857/S0044453723070221 (Polyakov M.V., Vedenyapina M.D., Skundin A.M. et al. // Russ. J. Phys. Chem. V. 97. P. 1438. https://doi.org//10.1134/S0036024423070221)
- Batchelor-McAuley C., Compton R.G. // J. Electroan. Chem. 2012. V. 669. P. 73. https://doi.org//10.1016/j.jelechem.2012.01.016
- Salah N., Lanez T. // Int. Lett. Chem. Phys. Astron. 2013. V. 4. P. 37.
- Поляков М.В., Веденяпина М.Д., Скундин А.М. и др. // Изв. АН. Сер. хим. 2024. Т. 74. № 4. С. 863.
Supplementary files










