Iron(III) Complexation with Barbituric and 2-Thiobarbituric Acids in Aqueous Solution
- Authors: Lakeev A.P.1,2, Korotchenko N.M.1, Kurzina I.A.1
-
Affiliations:
- National Research Tomsk State University
- Goldberg Research Institute of Pharmacology and Regenerative Medicine, Tomsk National Research Medical Center, Russian Academy of Sciences
- Issue: Vol 68, No 1 (2023)
- Pages: 87-95
- Section: ФИЗИКОХИМИЯ РАСТВОРОВ
- URL: https://medbiosci.ru/0044-457X/article/view/136310
- DOI: https://doi.org/10.31857/S0044457X22601171
- EDN: https://elibrary.ru/GVMHIC
- ID: 136310
Cite item
Full Text
Abstract
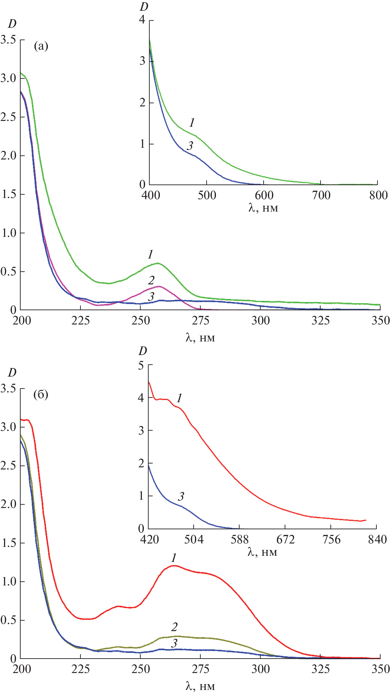
Complexation in systems containing iron(III) chloride and barbituric (H2BA) or 2-thiobarbituric (H2TBA) acid has been studied by spectrophotometry and pH-metry in the pH range of 1.3–3.3 (I = 0.1 (NaCl), t = 20°C). The presence of 1 : 1 complexes with mono- and deprotonated forms of the ligand has been established, and their stability constants (in log units) have been determined: 1[FeHBA]2+ (3.49 ± 0.15), [FeHTBA]2+ (2.69 ± 0.07), [FeBA]+ (12.22 ± 0.13), and [FeTBA]+ (11.05 ± 0.08). It has been shown that the higher thermodynamic stability of barbiturate complexes compared to 2-thiobarbiturate ones is due to the greater basicity of the barbiturate anion. Based on the stability constants obtained, it has been proposed to use orthophosphate, fluoride, and ethylenediaminetetraacetate ions to eliminate the interfering effect of iron(III) in the determination of malondialdehyde by the thiobarbiturate method. Orthophosphoric acid is the most convenient for practical applications, as it makes it possible to mask iron(III) and to create a strongly acidic medium necessary for the formation of a colored malondialdehyde–H2TBA adduct.
About the authors
A. P. Lakeev
National Research Tomsk State University; Goldberg Research Institute of Pharmacology and Regenerative Medicine, Tomsk National Research Medical Center, Russian Academy of Sciences
Email: lakeevs@mail.ru
634050, Tomsk, Russia; 634028, Tomsk, Russia
N. M. Korotchenko
National Research Tomsk State University
Email: lakeevs@mail.ru
634050, Tomsk, Russia
I. A. Kurzina
National Research Tomsk State University
Author for correspondence.
Email: lakeevs@mail.ru
634050, Tomsk, Russia
References
- Gao J., Zhou Q., Wu D. et al. // Clin. Chim. Acta. 2021. V. 513. P. 6. https://doi.org/10.1016/j.cca.2020.12.005
- Muckenthaler M.U., Rivella S., Hentze M.W. et al. // Cell. 2017. V. 168. № 3. P. 344. https://doi.org/10.1016/j.cell.2016.12.034
- Balla J., Jeney V., Varga Z. et al. // Acta Physiol. Hung. 2007. V. 94. № 1–2. P. 95. https://doi.org/10.1556/APhysiol.94.2007.1-2.9
- Пальцев М.А., Кукес В.Г., Фисенко В.П. Молекулярные механизмы взаимодействия лекарственных средств. М.: АстраФармСервис, 2004. 224 с.
- Mahmudov K.T., Kopylovich M.N., Maharramov A.M. et al. // Coord. Chem. Rev. 2014. V. 265. P. 1. https://doi.org/10.1016/j.ccr.2014.01.002
- Shafiq N., Arshad U., Zarren G. et al. // Curr. Org. Chem. 2020. V. 24. № 2. P. 129. https://doi.org/10.2174/1385272824666200110094457
- Головнев Н.Н., Молокеев М.С. 2-Тиобарбитуровая кислота и ее комплексы с металлами: синтез, структура и свойства. Красноярск: Сиб. федер. ун-т. 2014. 245 с.
- Lee J.-H., Lee S., Park M.Y. et al. // Virol. J. 2011. V. 8. Article 18. https://doi.org/10.1186/1743-422X-8-18
- Balas V.I., Verginadis I.I., Geromichalos G.D. et al. // Eur. J. Med. Chem. 2011. V. 46. № 7. P. 2835. https://doi.org/10.1016/j.ejmech.2011.04.005
- Lee S.Y., Slagle-Webb B., Sharma A.K. et al. // Anticancer Res. 2020. V. 40. № 11. P. 6039. https://doi.org/10.21873/anticanres.14625
- Suzuki O., Watanabe K. Drugs and poisons in humans. Heidelberg: Springer-Verlag. 2005. 672 p. https://doi.org/10.1007/3-540-27579-7
- Zeb A., Ullah F. // J. Anal. Methods Chem. 2016. V. 2016. Art. 1. https://doi.org/10.1155/2016/9412767
- Korotchenko N.M., Skorik N.A. // Russ. J. Inorg. Chem. 2000. V. 45. № 12. P. 2099. [Коротченко Н.М., Скорик Н.А. // Журн. неорган. химии. 2000. Т. 45. № 12. С. 2099.]
- Refat M.S., El-Korashy S.A., Ahmed A.S. // Spectrochim. Acta, Part A: Mol. Biomol. Spectrosc. 2008. V. 71. № 3. P. 1084. https://doi.org/10.1016/j.saa.2008.03.001
- Zaki Z.M., Mohamed G.G. // Spectrochim. Acta, Part A: Mol. Biomol. Spectrosc. 2000. V. 56A. № 7. P. 1245. https://doi.org/10.1016/S1386-1425(99)00225-5
- Lakeev A.P., Korotchenko N.M. // Russ. J. Inorg. Chem. 2020. V. 65. № 8. P. 1232. [Лакеев А.П., Коротченко Н.М. // Журн. неорган. химии. 2020. Т. 65. № 8. С. 1105.] https://doi.org/10.1134/S0036023620080082
- Глущенко Н.Н., Плетенева Т.В., Попков В.А. Фармацевтическая химия. М.: Академия, 2004. 384 с.
- Morelli B. // Analyst. 1983. V. 108. P. 870. https://doi.org/10.1039/AN9830800870
- Singh B.R., Jain R.K., Jain M.K. et al. // Thermochim. Acta. 1984. V. 78. № 1–3. P. 175. https://doi.org/10.1016/0040-6031(84)87144-0
- Wills E.D. // Biochim. Biophys. Acta. 1964. V. 84. № 4. P. 475. https://doi.org/10.1016/0926-6542(64)90016-2
- Zhou L., Sorenson J.R.J. // J. Inorg. Biochem. 1998. V. 72. № 3–4. P. 217. https://doi.org/10.1016/S0162-0134(98)10083-1
- Senthilkumar M., Amaresan N., Sankaranarayanan A. Plant-microbe interactions: Laboratory techniques. N.Y.: Springer Science + Business Media, 2021. 296 p. https://doi.org/10.1007/978-1-0716-1080-0
- Weitner T., Inić S., Jablan J. et al. // Croat. Chem. Acta. 2016. V. 89. № 1. P. 133. https://doi.org/10.5562/cca2902
- Muñoz A.H.S., Puga M.P., Wrobel K. et al. // Microchim. Acta. 2004. V. 148. № 3–4. P. 285. https://doi.org/10.1007/s00604-004-0276-5
- Шварценбах Г., Флашка Г. Комплексонометрическое титрование. М.: Химия, 1970. 360 с.
- Türkel N., Aksoy M.S. // Int. J. Anal. Chem. 2014. V. 2014. P. 1. https://doi.org/10.1155/2014/243175
- Костромина Н.А., Кумок В.Н., Скорик Н.А. Химия координационных соединений. М.: Высшая школа, 1990. 432 с.
- Скорик Н.А., Чернов Е.Б. Расчеты с использованием персональных компьютеров в курсе химии комплексных соединений. Томск: ТГУ, 2009. 92 с. https://vital.lib.tsu.ru/vital/access/manager/Repository/vtls:000398727 (23.08.2022)
- Киселев Ю.М., Добрынина Н.А. Химия координационных соединений. М.: Академия, 2007. 352 с.
- Костромина Н.А., Кумок В.Н., Скорик Н.А. Химия координационных соединений. М.: Высшая школа, 1990. 432 с.
- Кумок В.Н. Закономерности в устойчивости координационных соединений в растворах. Томск: ТГУ, 1977. 230 с.
- Sillén L.G., Martell A.E. Stability constants of metal-ion complexes. Pt. 3 (2). L.: Chemical Society, 1964. 865 p.
- Djurdjević P. // Transit. Met. Chem. 1990. V. 15. P. 345. https://doi.org/10.1007/BF01177459
- Djurdjević P., Jelić R. // Transit. Met. Chem. 1993. V. 18. P. 457. https://doi.org/10.1007/BF00136603
- Djurdjević P., Jelić R. // Transit. Met. Chem. 1997. V. 22. P. 284. https://doi.org/10.1023/A:1018476810838
- Field T.B., McCourt J.L., McBryde A.E. // Can. J. Chem. 1974. V. 52. № 17. P. 3119. https://doi.org/10.1139/v74-458
- Yavuz T., Pelit L. // Turk. J. Chem. 2020. V. 44. № 2. P. 435. https://doi.org/10.3906/kim-1909-10
- Yuchi A., Hotta H., Wada H. et al. // Bull. Chem. Soc. Jpn. 1987. V. 60. № 4. P. 1379. https://doi.org/10.1246/bcsj.60.1379
- Al-Sogair F., Marafie H.M., Shuaib N.M. et al. // J. Coord. Chem. 2002. V. 55. № 9. P. 1097. https://doi.org/10.1080/0095897021000010053
Supplementary files







