Hydrothermal Synthesis and Photocatalytic Properties of Cobalt-Doped Tungsten Oxide
- Authors: Zakharova G.S.1, Podval’naya N.V.1, Gorbunova T.I.2, Pervova M.G.2
-
Affiliations:
- Institute of Solid State Chemistry, Ural Branch, Russian Academy of Sciences
- Postovsky Institute of Organic Synthesis, Ural Branch, Russian Academy of Sciences
- Issue: Vol 68, No 4 (2023)
- Pages: 435-443
- Section: СИНТЕЗ И СВОЙСТВА НЕОРГАНИЧЕСКИХ СОЕДИНЕНИЙ
- URL: https://medbiosci.ru/0044-457X/article/view/136316
- DOI: https://doi.org/10.31857/S0044457X22602127
- EDN: https://elibrary.ru/FMYUIV
- ID: 136316
Cite item
Full Text
Abstract
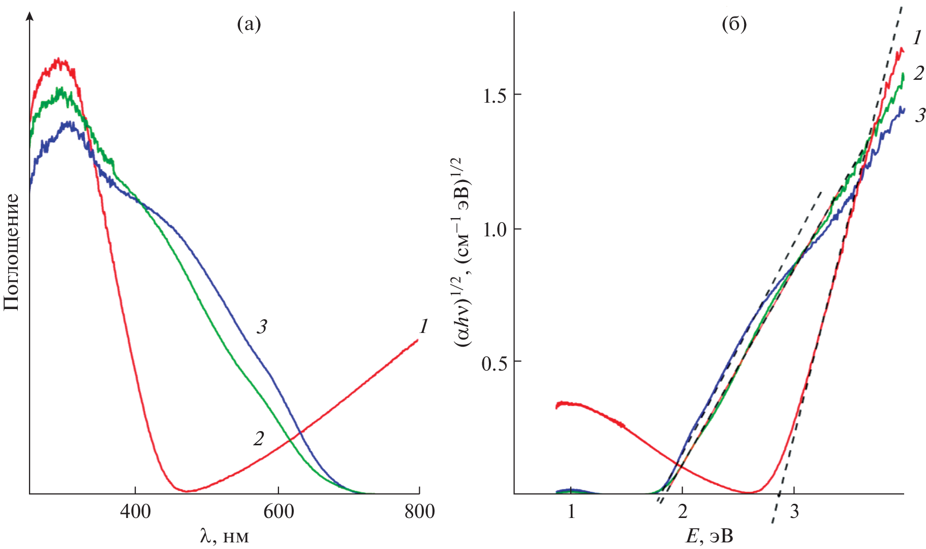
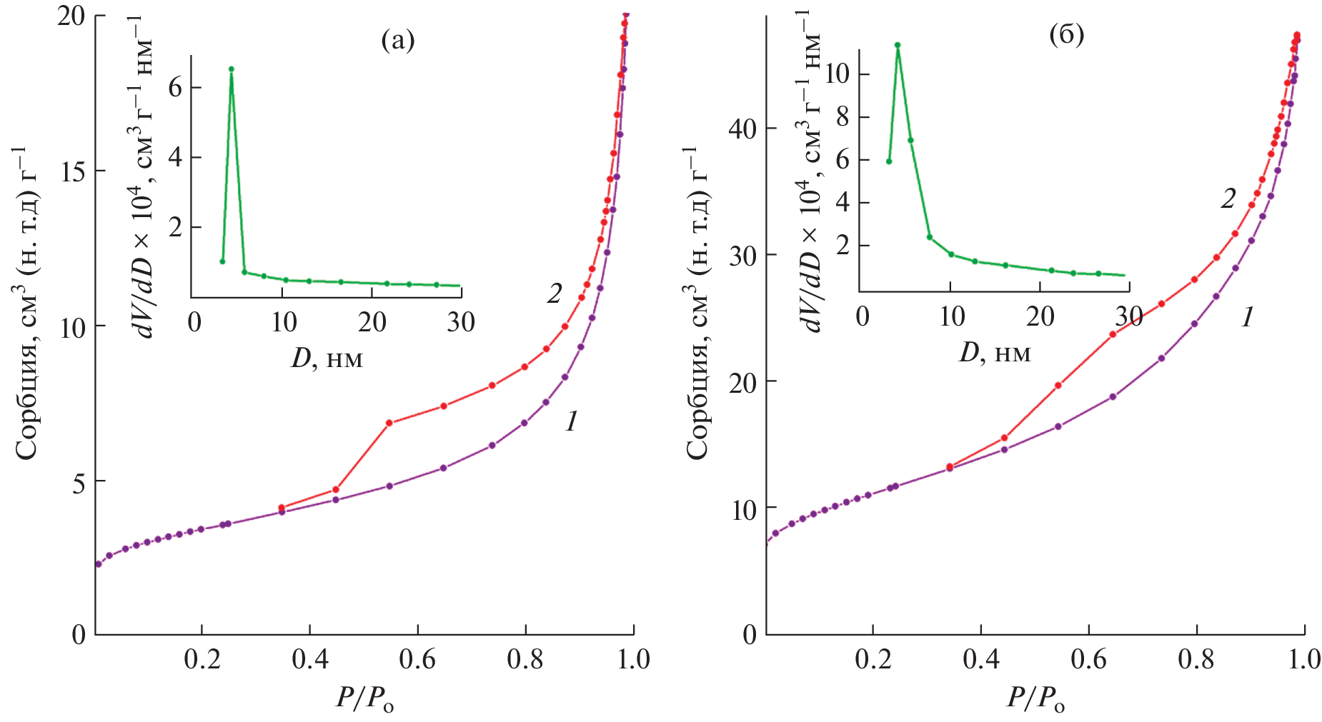
Hexagonal tungsten trioxide–base interstitial solid solutions of general formula CoxWO3, where 0.01 ≤ x ≤ 0.09, were prepared hydrothermally. The dopant homogeneity extent was found to depend on рН in the working solution. Interstitial solid solutions with the highest Co2+ concentrations were formed at рН of 2.3. The CoxWO3 samples with a fiber-like morphology with a fiber diameter of ca. 40 nm, which were prepared at рН of 2.3, had the highest specific surface area, equal to 38.6 m2/g. The key parameter for the stability of the CoxWO3 crystal structure appeared to be ammonium ions residing in the hexagonal channels of the crystal structure. When tested as photocatalysts of 1,2,4-trichlorobenzene oxidation under the UV light, the prepared samples showed high chloroarene conversions and low selectivities to yield a wide range of organic compounds, including chlorine-free ones.
Keywords
About the authors
G. S. Zakharova
Institute of Solid State Chemistry, Ural Branch, Russian Academy of Sciences
Email: volkov@ihim.uran.ru
620990, Yekaterinburg, Russia
N. V. Podval’naya
Institute of Solid State Chemistry, Ural Branch, Russian Academy of Sciences
Email: volkov@ihim.uran.ru
620990, Yekaterinburg, Russia
T. I. Gorbunova
Postovsky Institute of Organic Synthesis, Ural Branch, Russian Academy of Sciences
Email: volkov@ihim.uran.ru
620108, Yekaterinburg, Russia
M. G. Pervova
Postovsky Institute of Organic Synthesis, Ural Branch, Russian Academy of Sciences
Author for correspondence.
Email: volkov@ihim.uran.ru
620108, Yekaterinburg, Russia
References
- Zheng H., Ou J.Z., Strano M.S. et al. // Adv. Funct. Mater. 2011. V. 21. № 12. P. 2175. https://doi.org/10.1002/adfm.201002477
- Huang Z.-F., Song J., Pan L. et al. // Adv. Mater. 2015. V. 27. № 36. P. 5309. https://doi.org/10.1002/adma.201501217
- Бушкова Т.М., Егорова А.А., Хорошилов А.В. и др. // Журн. неорган. химии. 2021. Т. 66. № 4. С. 470.
- Bently J., Desai S., Bastakoti B.P. // Chem. Eur. J. 2021. V. 27. № 36. P. 9241. https://doi.org/10.1002/chem.202100649
- Lei G., Lou C., Liu X. et al. // Sens. Actuators B. Chem. 2021. V. 341. № 15. P. 129996. https://doi.org/10.1016/j.snb.2021.129996
- Purushothaman K.K., Muralidharan G., Vijayakumar S. // Mater. Lett. 2021. V. 296. 129881. https://doi.org/10.1016/j.matlet.2021.129881
- Zheng F., Xi C., Xu J. et al. // J. Alloys Compd. 2019. V. 772. P. 933. https://doi.org/10.1016/j.jallcom.2018.09.085
- Филиппова А.Д., Румянцев А.А., Баранчиков А.Е. и др. // Журн. неорган. химии. 2022. Т. 67. № 6. С. 706.
- Murillo-Sierra J.C., Hernández-Ramírez A., Hinojosa-Reyes L. et al. // Chem. Eng. J. Adv. 2021. V. 5. 100070. https://doi.org/10.1016/j.ceja.2020.100070
- Dong P., Hou G., Xi X. et al. // Environ. Sci.: Nano. 2017. V. 4. № 3. P. 539. https://doi.org/10.1039/c6en00478d
- Dutta V., Sharma S., Raizada P. et al. // J. Environ. Chem. Eng. 2021. V. 9. № 1. 105018. https://doi.org/10.1016/j.jece.2020.105018
- Razali N.A.M., Salleh W.N.W., Aziz F. et al. // J. Clean. Prod. 2021. V. 309. 127438. https://doi.org/10.1016/j.jclepro.2021.127438
- Khaki M.R.D., Shafeeyan M.S., Raman A.A.A. et al. // J. Environ. Manag. 2017. V. 198. № 2. P. 78. https://doi.org/10.1016/j.jenvman.2017.04.099
- Jacob K.A., Peter P.M., Jose P.E. et al. // Mater. Today: Proc. 2022. V. 49. № 2. 1408. https://doi.org/10.1016/j.matpr.2021.07.104
- Song H., Li Y., Lou Z. et al. // Appl. Catal. B: Environ. 2015. V. 166–167. № 5. P. 112. https://doi.org/10.1016/j.apcatb.2014.11.020
- Solarska R., Alexander B.D., Braun A. et al. // Electrochim. Acta. 2010. V. 55. № 26. P. 7780. https://doi.org/10.1016/j.electacta.2009.12.016
- Shannow R.D. // Acta Crystallogr. A. 1976. V. 32. № 5. P. 751. https://doi.org/10.1107/S0567739476001551
- Mehmood F., Iqbal J., Jan T. et al. // Vib. Spectr. 2017. V. 93. P. 78. https://doi.org/10.1016/j.vibspec.2017.09.005
- Sun S., Chang X., Li Z. // Mater. Charact. 2012. V. 73. P. 130. https://doi.org/10.1016/j.matchar.2012.08.005
- Sivakarthik P., Thangaraj V., Parthibavarman M. // J. Mater. Sc.: Mater. Electron. 2017. V. 28. № 8. P. 5990. https://doi.org/10.1007/s10854-016-6274-7
- Liu Z., Liu B., Xie W. et al. // Sens. Actuators B Chem. 2016. V. 235. P. 614. https://doi.org/10.1016/j.snb.2016.05.140
- Shen K., Sheng K., Wang Z. et al. // Appl. Surf. Sci. 2020. V. 501. P. 144003. https://doi.org/10.1016/j.apsusc.2019.144003
- Lim J.-C., Jin C., Choi M.S. et al. // Ceram. Int. 2021. V. 47. № 15. P. 20956. https://doi.org/10.1016/j.ceramint.2021.04.095
- Hariharan V., Aroulmoji V., Prabakaran K. et al. // J. Alloys Compd. 2016. V. 689. P. 41. https://doi.org/10.1016/j.jallcom.2016.07.136
- Kumar R.D., Karuppuchamy S. // J. Alloys Compd. 2016. V. 674. P. 384. https://doi.org/10.1016/j.jallcom.2016.03.074
- Dalenjan F.A., Bagheri-Mohagheghi M.M., Shirpay A. // J. Solid State Electrochem. 2022. V. 22. № 2. P. 401. https://doi.org/10.1007/s10008-021-05076-9
- Jia Q., Ji H., Gao P. et al. // J. Mater. Sci.: Mater. Electron. 2015. V. 26. № 8. P. 5792. https://doi.org/10.1007/s10854-015-3138-5
- Sing K.S.W., Everett D.H., Haul R.A.W. et al. // Pure Appl. Chem. 1985. V. 57. № 4. P. 603. https://doi.org/10.1351/pac198557040603
- Moura J.V.B., Silveira J.V., da Silva Filho J.G. et al. // Vib. Spectrosc. 2018. V. 98. P. 98. https://doi.org/10.1016/j.vibspec.2018.07.008
- Szilágyi I.M., Wang L., Gouma P.-I. et al. // Mater. Res. Bull. 2009. V. 44. № 3. P. 505. https://doi.org/10.1016/j.materresbull.2008.08.003
- Szilágyi I.M., Madarász J., Pokol G. et al. // Chem. Mater. 2008. V. 20. № 12. P. 4116. https://doi.org/10.1021/cm800668x
- Mohamed M.M., Salama T.M., Hegazy M.A. et al. // Int. J. Hydrogen Energy. 2019. V. 44. № 10. P. 4724. https://doi.org/10.1016/j.ijhydene.2018.12.218
- ThOny A., Rossi M.J. // J. Photochem. Photobiol. A. 1997. V. 104. № 1–3. P. 25.
- van Wijk D., Cohet E., Gard A. et al. // Chemosphere. 2006. V. 62. № 8. P. 1294. https://doi.org/10.1016/j.chemosphere.2005.07.010
- Zolezzi M., Cattaneo C., Tarazona J.V. // Environ. Sci. Technol. 2005. V. 39. № 9. P. 2920. https://doi.org/10.1021/es049214x
- Horikoshi S., Minami D., Ito S. et al. // J. Photochem. Photobiol. A. 2011. V. 217. № 1. P. 141. https://doi.org/10.1016/j.jphotochem.2010.10.001
- Dong W.H., Zhang P., Lin X.Y. et al. // Sci. Total Environ. 2015. V. 505. P. 216. https://doi.org/10.1016/j.scitotenv.2014.10.002
Supplementary files








