Ba2Gd2 – xSmxGe4O13: Luminescence Properties, Prospects for Non-Contact Temperature Sensing Applications and Light-Emitting Diodes
- Authors: Chvanova A.V.1, Lipina O.A.1, Chufarov A.Y.1, Tyutyunnik A.P.1, Baklanova Y.V.1, Surat L.L.1, Zubkov V.G.1
-
Affiliations:
- Institute of Solid State Chemistry, Ural Branch, Russian Academy of Sciences
- Issue: Vol 68, No 3 (2023)
- Pages: 383-392
- Section: НЕОРГАНИЧЕСКИЕ МАТЕРИАЛЫ И НАНОМАТЕРИАЛЫ
- URL: https://medbiosci.ru/0044-457X/article/view/136343
- DOI: https://doi.org/10.31857/S0044457X22601353
- EDN: https://elibrary.ru/JCHJRU
- ID: 136343
Cite item
Full Text
Abstract
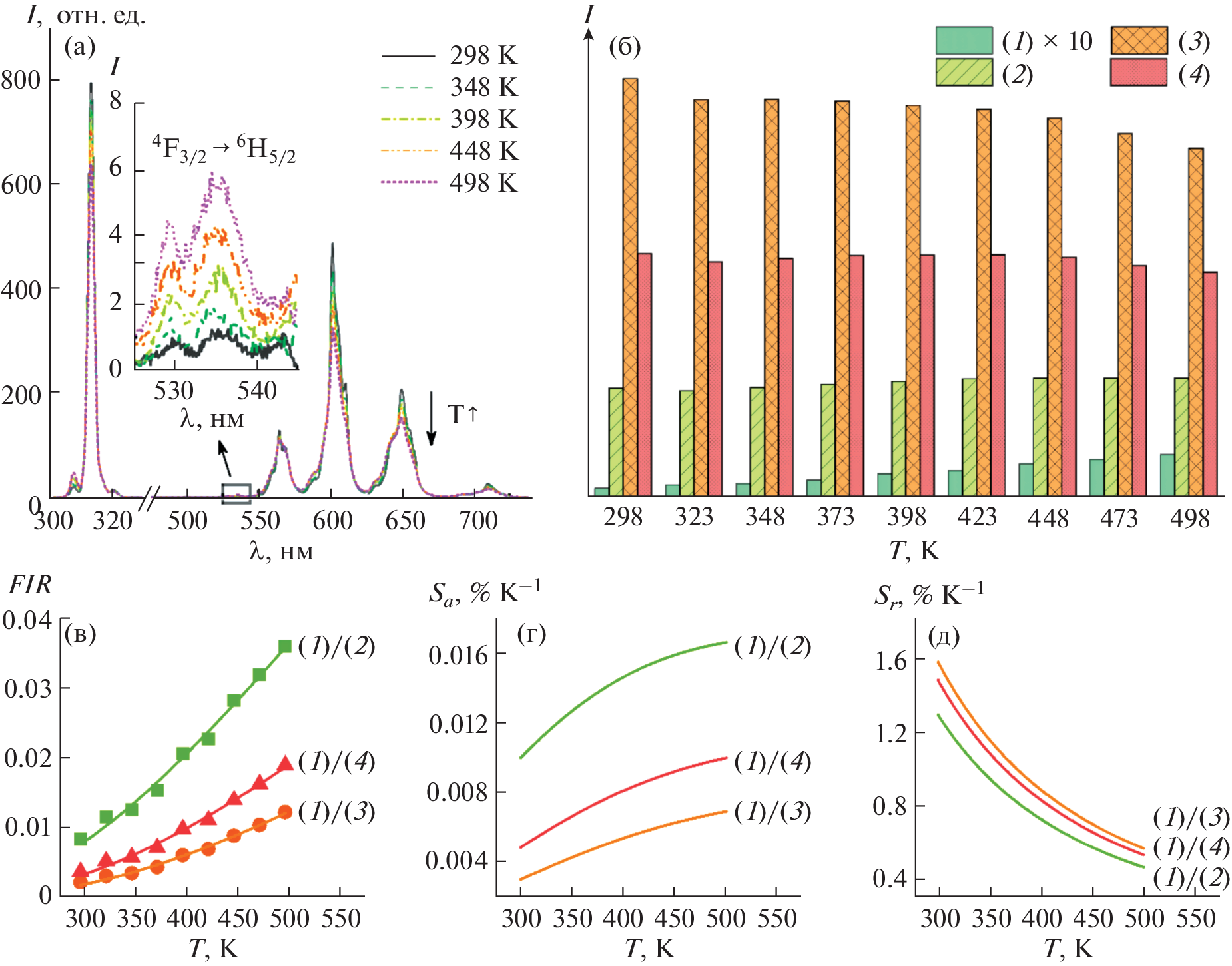
Tetragermanates Ba2Gd2 – xSmxGe4O13 (x = 0.025–0.8) have been synthesized by the solid-phase method. Solid solutions crystallize in the monoclinic crystal system (space group С2/с, Z = 4) and are members of a small family of inorganic compounds containing [Ge4O13]10– anions. The photoluminescence properties of germanates upon excitation by radiation with λex = 275 nm have been studied. The spectra of the compounds show a broad band with a maximum at 313 nm and a set of lines in the range of 525–730 nm, corresponding to intraconfigurational 4f–4f transitions in Gd3+ and Sm3+ ions. It has been found that germanate Ba2Gd1.95Sm0.05Ge4O13 has the maximum luminescence intensity. For this sample, the color characteristics and the temperature dependences of the intensity ratios of the main luminescence bands upon heating to 498 K have been studied. It has been concluded that Ba2Gd1.95Sm0.05Ge4O13 can be used as a material for non-contact temperature sensing and light emitting diodes.
Keywords
About the authors
A. V. Chvanova
Institute of Solid State Chemistry, Ural Branch, Russian Academy of Sciences
Email: chvanova10_99@mail.ru
620990, Yekaterinburg, Russia
O. A. Lipina
Institute of Solid State Chemistry, Ural Branch, Russian Academy of Sciences
Email: chvanova10_99@mail.ru
620990, Yekaterinburg, Russia
A. Yu. Chufarov
Institute of Solid State Chemistry, Ural Branch, Russian Academy of Sciences
Email: chvanova10_99@mail.ru
620990, Yekaterinburg, Russia
A. P. Tyutyunnik
Institute of Solid State Chemistry, Ural Branch, Russian Academy of Sciences
Email: chvanova10_99@mail.ru
620990, Yekaterinburg, Russia
Ya. V. Baklanova
Institute of Solid State Chemistry, Ural Branch, Russian Academy of Sciences
Email: chvanova10_99@mail.ru
620990, Yekaterinburg, Russia
L. L. Surat
Institute of Solid State Chemistry, Ural Branch, Russian Academy of Sciences
Email: chvanova10_99@mail.ru
620990, Yekaterinburg, Russia
V. G. Zubkov
Institute of Solid State Chemistry, Ural Branch, Russian Academy of Sciences
Author for correspondence.
Email: chvanova10_99@mail.ru
620990, Yekaterinburg, Russia
References
- Brites C.D.S., Millán A., Carlos L.D. // Handb. Phys. Chem. Rare Earths. 2016. V. 49. P. 339. https://doi.org/10.1016/bs.hpcre.2016.03.005
- Brites C.D.S., Lima P.P., Silva et al. // Nanoscale. 2012. V. 4. P. 4799. https://doi.org/10.1039/C2NR30663H
- Rai V.K., Rai S.B. // Appl. Phys. B. 2007. V. 87. P. 323. https://doi.org/10.1007/s00340-007-2592-z
- Dramićanin M. Chapter 6 – Lanthanide and Transition Metal Ion Doped Materials for Luminescence Temperature Sensing in Luminescence Thermometry: Methods, Materials, and Applications, Woodhead Publishing Series in Electronic and Optical Materials. 2018. P. 113–157.
- Zhu K., Zhou H., Qiu J. et al. // J. Alloys Compd. 2021. V. 890. P. 161844. https://doi.org/10.1016/j.jallcom.2021.161844
- Nikolić M.G., Jovanović D.J., Đorđević V. et al. // Phys. Scr. 2012. P. 014063. https://doi.org/10.1088/0031-8949/2012/T149/014063
- Suta M., Mejerink A. // Adv. Theory Simul. 2020. V. 3. P. 2000176. https://doi.org/10.1002/adts.202000176
- Li J., Yan J., Wen D. et al. // J. Mater. Chem. C. 2016. V. 4. P. 8611. https://doi.org/10.1039/C6TC02695H
- Ma Y., Tang S., Ji C. et al. // J. Lumin. 2022. V. 242. P. 118530. https://doi.org/10.1016/j.jlumin.2021.118530
- Ji C., Huang Z., Tian X. et al. // J. Alloys Compd. 2020. V. 825. P. 154176. https://doi.org/10.1016/j.jallcom.2020.154176
- Ji C., Huang Z., Tian X. et al. // J. Lumin. 2021. V. 232. P. 117775. https://doi.org/10.1016/j.jlumin.2020.117775
- Singh V., Lakshminarayana G., Singh N. // Optik. 2020. V. 211. P. 164272. https://doi.org/10.1016/j.ijleo.2020.164272
- Liu H., Guo S., Hao Y. et al. // J. Lumin. 2012. V. 132. № 11. P. 2908. https://doi.org/10.1016/j.jlumin.2012.06.006
- Mei L., Liu H., Liao L. et al. // Scientif. Rep. 2017. V. 7. P. 15171. https://doi.org/10.1038/s41598-017-15595-z
- Helode S.J., Kadam A.R., Dhoble S.J. // Chem. Data Collect. 2020. V. 40. P. 100881. https://doi.org/10.1016/j.cdc.2022.100881
- Денисова Л.Т., Молокеев М.С., Каргин Ю.Ф. и др. // Журн. неорган. химии. 2021. Т. 66. № 12. С. 1700. https://doi.org/10.1134/S0036023621120020
- Горбунов Ю.А., Максимов Б.А., Белов Н.В. // Докл. АН СССР. 1973. Т. 211. С. 591.
- Masuda T., Chakoumakos B.C., Nygren C.L. et al. // J. Solid State Chem. 2003. V. 176. P. 175. https://doi.org/10.1016/S0022-4596(03)00387-6
- Redhammer G.J., Roth G. // J. Solid State Chem. 2004. V. 177. P. 2714. https://doi.org/10.1016/j.jssc.2004.04.016
- Sanjeewa L.D., McGuire M.A., McMillen C.D. et al. // Chem. Mater. 2017. V. 29. P. 1404. https://doi.org/10.1021/acs.chemmater.6b05320
- Ananias D., Paz F.A.A., Carlos L.D. et al. // Eur. J. Inorg. Chem. 2018. V. 2018. № 20. P. 2444. https://doi.org/10.1002/ejic.201800153
- Tyutyunnik A.P., Chufarov A.Yu., Surat L.L. et al. // Mendeleev Commun. 2018. V. 28. P. 661. https://doi.org/10.1016/j.mencom.2018.11.035
- Lipina O.A., Surat L.L., Chufarov A.Y. et al. // Dalton Trans. 2021. V. 50. P. 10935. https://doi.org/10.1039/d1dt01780b
- Toby B.H. // J. Appl. Crystallogr. B. 2001. V. 34. P. 210. https://doi.org/10.1107/S0021889801002242
- Larson A.C., Von Dreele R.B. General Structure Analysis System (GSAS), Los Alamos National Laboratory Report LAUR 86-748, Los Alamos, NM, 2004.
- Shannon R.D. // Acta Crystallogr., Sect. A. 1976. V. 32. P. 751. https://doi.org/10.1107/S0567739476001551
- Ullah I., Shah S.K., Rooh G. et al. // Opt. Mater. 2021. V. 111. P. 110657. https://doi.org/10.1016/j.optmat.2020.110657
- Baklanova Y.V., Maksimova L.G., Lipina O.A. et al. // J. Lumin. 2020. V. 224. P. 117315. https://doi.org/10.1016/j.jlumin.2020.117315
- Wantana N., Kaewjaeng S., Kothan S. et al. // J. Lumin. 2017. V. 181. P. 382. https://doi.org/10.1016/j.jlumin.2016.09.050
- He J., Zhang S., Zhou J. et al. // Opt. Mater. 2015. V. 39. P. 81. https://doi.org/10.1016/j.optmat.2014.11.002
- Li Y., Dvořák M., Nesterenko P.N. et al. // Sens. Actuators B. 2018. V. 255. P. 1238. https://doi.org/10.1016/j.snb.2017.08.085
- Kelly K.L. // J. Opt. Soc. Am. 1943. V. 33. P. 627. https://doi.org/10.1364/JOSA.33.000627
Supplementary files










