Protolytic and Complexing Properties of Isomeric N-(Pyridylethyl)taurines
- Authors: Zharkov G.P.1, Filimonova O.V.1, Petrova Y.S.1, Zemlyakova E.O.2, Pestov A.V.1,2, Neudachina L.K.1
-
Affiliations:
- Ural Federal University
- Postovsky Institute of Organic Synthesis, Ural Branch, Russian Academy of Sciences
- Issue: Vol 68, No 8 (2023)
- Pages: 1059-1065
- Section: КООРДИНАЦИОННЫЕ СОЕДИНЕНИЯ
- URL: https://medbiosci.ru/0044-457X/article/view/136406
- DOI: https://doi.org/10.31857/S0044457X22602218
- EDN: https://elibrary.ru/MKWMIP
- ID: 136406
Cite item
Full Text
Abstract
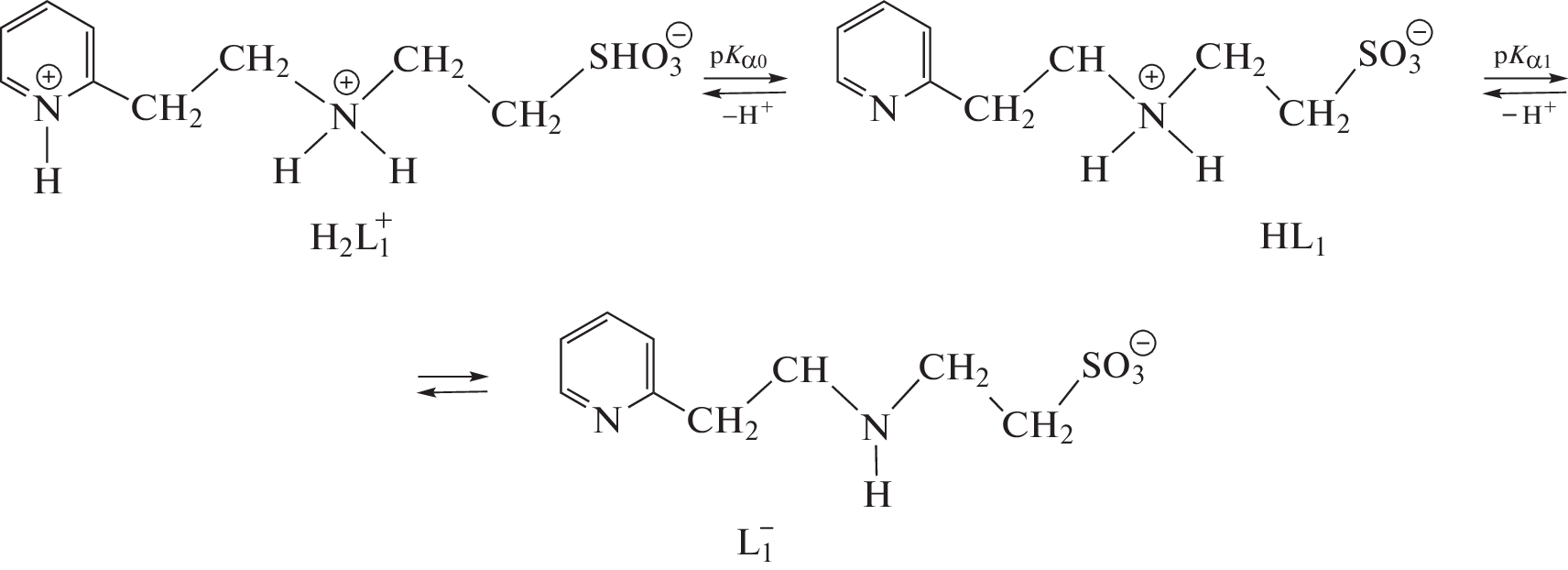
New N-derivatives of taurine, N-[2-(2-pyridyl)ethyl]taurine (HL1) and N-[2-(4-pyridyl)ethyl]taurine (HL2) have been synthesized. Using the method of alkalimetric titration of aqueous solutions with pH potentiometric indication at I = 0.1 mol/L (KCl/KNO3) and T = 25 ± 1°C, the acid dissociation constants of functional groups in the composition of reagents have been determined (HL1: pKa0 = 3.80 ± 0.03, pKa1 = 8.67 ± 0.02, HL2: pKa0 = 4.80 ± 0.05, pKa1 = 8.18 ± 0.04). It has been found that reagent HL1 is more resistant to the degradation process. The complexation of transition and alkaline earth metal ions with НL1 has been studied. It has been shown that the introduction of a 2-(2-pyridyl)ethyl substituent into the structure of taurine leads to a significant increase in the stability (Δ log β ≥ 1) of copper(II), cobalt(II), nickel(II), zinc(II), cadmium(II) and silver(I) complexes with НL1. Calcium(II), magnesium(II), strontium(II), and barium(II) complexes with HL1 are characterized by a slight increase in stability (Δ lg β < 1) compared to taurine. Based on the data obtained, the structure of the studied complexes have been assumed.
About the authors
G. P. Zharkov
Ural Federal University
Email: gennady.zharkov@mail.ru
620002, Yekaterinburg, Russia
O. V. Filimonova
Ural Federal University
Email: gennady.zharkov@mail.ru
620002, Yekaterinburg, Russia
Yu. S. Petrova
Ural Federal University
Email: gennady.zharkov@mail.ru
620002, Yekaterinburg, Russia
E. O. Zemlyakova
Postovsky Institute of Organic Synthesis, Ural Branch, Russian Academy of Sciences
Email: gennady.zharkov@mail.ru
620990, Yekaterinburg, Russia
A. V. Pestov
Ural Federal University; Postovsky Institute of Organic Synthesis, Ural Branch, Russian Academy of Sciences
Email: gennady.zharkov@mail.ru
620002, Yekaterinburg, Russia; 620990, Yekaterinburg, Russia
L. K. Neudachina
Ural Federal University
Author for correspondence.
Email: gennady.zharkov@mail.ru
620002, Yekaterinburg, Russia
References
- Киселев Ю.М. Химия координационных соединений. М.: Юрайт, 2021.
- Маджидов Т.И., Баскин И.И., Антипин И.С. и др. Введение в хемоинформатику: Компьютерное представление химических структур. Казань: Казан. ун-т, 2020.
- Samadi M., Haghi-Aminjan H., Sattari M. et al. // Life Sci. 2021. V. 265. P. 118813. https://doi.org/10.1016/j.lfs.2020.118813
- Sedaghat M., Choobineh S., Ravasi A.A. // Life Sci. 2020. V. 258. P. 118225. https://doi.org/10.1016/j.lfs.2020.118225
- Good N.E., Winget G.D., Winter W. et al. // Biochemistry. 1966. V. 5. № 2. P. 467. https://doi.org/10.1021/bi00866a011
- Sankova M.V., Kytko O.V., Meylanova R.D. et al. // Res. Results Pharmacol. 2020. V. 6. № 4. P. 65. https://doi.org/10.3897/rrpharmacology.6.59407
- Gurevich K.G., Urakov A.L., Bashirova L.I. et al. // Asian J. Pharm. Clin. Res. 2018. V. 11. № 11. P. 452. https://doi.org/10.22159/ajpcr.2018.v11i11.29049
- Liberal Â., Pinela J., Vívar-Quintana A.M. et al. // Foods. 2020. V. 9. № 12. P. 1871. https://doi.org/10.3390/foods9121871
- Zemlyakova E.O., Pestov A.V., Slepukhin P.A. et al. // Russ. J. Coord. Chem. 2018. V. 44. № 11. P. 667. https://doi.org/10.1134/S107032841811009X
- Машковский М.Д. Лекарственные средства. М.: РИА “Новая волна”, 2008.
- Lakiza N.V., Tissen O.I., Neudachina L.K. et al. // Russ. J. Appl. Chem. 2013. V. 86. № 9. P. 1383. https://doi.org/10.1134/S1070427213090114
- Pestov A.V., Bratskaya S.Yu., Azarova Yu.A. et al. // Russ. J. Appl. Chem. 2011. V. 84. № 4. P. 713. https://doi.org/10.1134/S1070427211040276
- Pestov A.V., Lakiza N.V., Tissen O.I. et al. // Russ. Chem. Bull. 2014. V. 63. № 3. P. 754. https://doi.org/10.1007/s11172-014-0503-0
- ГOCT 10398-2016
- Solov’ev V.P., Baulin V.E., Strakhova N.N. et al. // J. Chem. Soc. 1998. № 6. P. 1489. https://doi.org/10.1039/a708245b
- Solov’ev V.P., Tsivadze A.Yu. // Prot. Met. Phys. Chem. Surf. 2015. V. 51. № 1. P. 1. https://doi.org/10.1134/S2070205115010153
- Irving H., Williams R.J.P. // J. Chem. Soc. 1953. P. 3192. https://doi.org/10.1039/jr9530003192
- Умланд Ф., Янсен А., Тириг Д. и др. Комплексные соединения в аналитической химии. М.: Мир, 1975.
- Pearson R.G. // J. Am. Chem. Soc. 1963. V. 85. № 22. P. 3533. https://doi.org/10.1021/ja00905a001
- Petrova Yu.S., Neudachina L.K. // Russ. J. Inorg. Chem. 2013. V. 58. № 5. P. 617. https://doi.org/10.1134/S0036023613050173
- Jiang Y.-M., Cai J.-H., Liu Z.-M. et al. // Acta Crystallogr., Sect. E: Struct. Rep. Online. 2005. V. 61. № 5. P. M878. https://doi.org/10.1107/S1600536805010846
- Du Z.-X., Qin J.-H., Wang J.-G. // Acta Crystallogr., Sect. E: Struct. Rep. Online. 2008. V. 64. № 2. P. M341. https://doi.org/10.1107/S1600536808000779
- Liao B.-L., Li J.-X., Jiang Y.-M. // Acta Crystallogr., Sect. E: Struct. Rep. Online. 2007. V. 63. № 7. P. M1974. https://doi.org/10.1107/S1600536807029911
- NIST Critically Selected Stability Constants of Metal Complexes. 2004. Version 8.0.
Supplementary files







