Optical Properties of Fluorozirconate Glasses Doped with Chromium Ions
- Authors: Batygov S.K.1, Brekhovskikh M.N.2, Moiseeva L.V.1, Vinokurova V.V.2, Kirikova N.Y.3, Kondratyuk V.A.3, Makhov V.N.3
-
Affiliations:
- Prokhorov General Physics Institute, Russian Academy of Sciences
- Kurnakov Institute of General and Inorganic Chemistry, Russian Academy of Sciences
- Lebedev Physical Institute, Russian Academy of Sciences
- Issue: Vol 68, No 8 (2023)
- Pages: 1119-1125
- Section: НЕОРГАНИЧЕСКИЕ МАТЕРИАЛЫ И НАНОМАТЕРИАЛЫ
- URL: https://medbiosci.ru/0044-457X/article/view/136418
- DOI: https://doi.org/10.31857/S0044457X23600603
- EDN: https://elibrary.ru/MYQKRN
- ID: 136418
Cite item
Full Text
Abstract
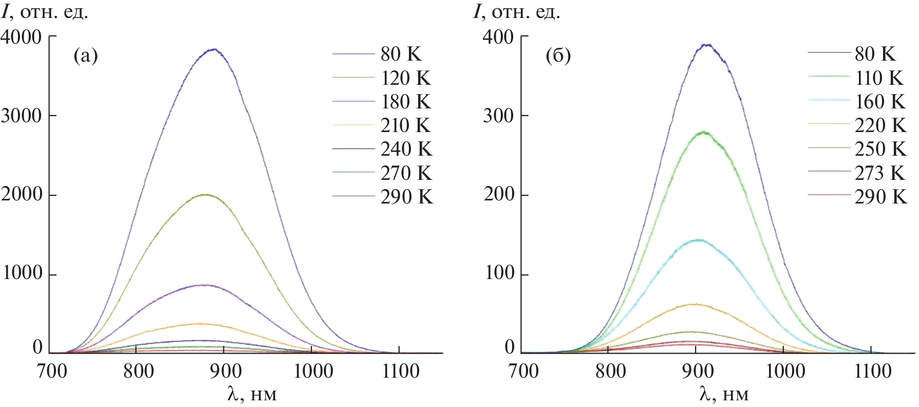
Chromium trifluoride-doped fluoride glasses in the ZrF4–BaF2–LaF3–AlF3–NaF (ZBLAN) system with partial substitution of fluorine for chlorine have been synthesized. The spectral data obtained confirm that chromium ions enter the glass structure and exhibit broadband luminescence caused by the 4T2 → 4A2 transition in the Cr3+ ion. The observed long-wavelength shift of the broadband luminescence band and Cr3+absorption bands in fluoride–chloride glass compared to fluoride glass corresponds to the expected behavior of the Cr3+ luminescence and absorption spectra when fluoride ions are replaced by chloride ions, which should lead to a weakening of the strength of the crystal field acting on Cr3+ ions. At room temperature, the luminescence of Cr3+ ions at 888 and 908 nm is strongly quenched due to the thermally stimulated nonradiative transition from the 4T2 excited state to the 4A2 ground state.
About the authors
S. Kh. Batygov
Prokhorov General Physics Institute, Russian Academy of Sciences
Email: mbrekh@igic.ras.ru
119991, Moscow, Russia
M. N. Brekhovskikh
Kurnakov Institute of General and Inorganic Chemistry, Russian Academy of Sciences
Email: mbrekh@igic.ras.ru
119991, Moscow, Russia
L. V. Moiseeva
Prokhorov General Physics Institute, Russian Academy of Sciences
Email: mbrekh@igic.ras.ru
119991, Moscow, Russia
V. V. Vinokurova
Kurnakov Institute of General and Inorganic Chemistry, Russian Academy of Sciences
Email: mbrekh@igic.ras.ru
119991, Moscow, Russia
N. Yu. Kirikova
Lebedev Physical Institute, Russian Academy of Sciences
Email: mbrekh@igic.ras.ru
119991, Moscow, Russia
V. A. Kondratyuk
Lebedev Physical Institute, Russian Academy of Sciences
Email: mbrekh@igic.ras.ru
119991, Moscow, Russia
V. N. Makhov
Lebedev Physical Institute, Russian Academy of Sciences
Author for correspondence.
Email: mbrekh@igic.ras.ru
119991, Moscow, Russia
References
- Drexhage M.G., Moynihan C.T. // Sci. Am. 1988. V. 259. P. 110.
- Boulard B. // Functionalized Inorganic Fluorides. Ch. 11. Jonn Wiley & Sons. Ltd. UK, 2010. P. 538.
- Lucas J., Smektala F., Adam J.-L. // J. Fluorine Chem. 2002. V. 114. P. 113. https://doi.org/10.1016/S0022-1139(02)00016-7
- Poulain M., Cozic S., Adam J.-L. in Mid-Infrared Fiber Photonics Glass Materials, Fiber Fabrication and Processing, Laser and Nonlinear Sources, Woodhead Publishing Series in Electronic and Optical Materials, 2022. P. 47.
- Батыгов С.Х., Бреховских М.Н., Моисеева Л.В. и др. // Неорган. материалы. 2019. Т. 55. № 11. С. 1254. https://doi.org/10.1134/S0002337X19110022
- Brekhovskikh M.N., Batygov S.Kh., Moiseeva L.V. et al. // Phys. Status Solidi B. 2020. V. 257. P. 1900457. https://doi.org/10.1002/pssb.201900457
- Батыгов С.Х., Бреховских М.Н., Моисеева Л.В. и др. // Журн. неорган. химии. 2021. Т. 66. № 10. С. 1491. https://doi.org/10.31857/S0044457X21100020
- Бреховских М.Н., Кирикова Н.Ю., Моисеева Л.В. и др. // Журн. неорган. химии. 2022. Т. 67. № 7. С. 1022. https://doi.org/10.31857/S0044457X22070042
- Lachheb R., Herrmann A., Damak K. et al. // J. Lumin. 2017. V. 186. P. 152. https://doi.org/10.1016/j.jlumin.2017.02.030
- Fu W., Zhang C., Li Z. et al. Ceram. Int. 2020. V. 46. P. 15054. https://doi.org/10.1016/j.ceramint.2020.03.038
- Marciniak L., Bednarkiewicz A., Kowalska D. et al. // J. Mater. Chem. C. 2016. P. 5559. https://doi.org/10.1039/C6TC01484D
- Marciniak L., Bednarkiewicz A., Strek W. // Sens. Actuators, B: Chem. 2017. V. 238. P. 381. https://doi.org/10.1016/j.snb.2016.07.080
- Marciniak L., Bednarkiewicz A. // Sens. Actuators, B: Chem. 2017. V. 243. P. 388. https://doi.org/10.1016/j.snb.2016.07.080
- Chen D., Liu S., Xu W. et al. // J. Mater. Chem. C. 2017. V. 5 P. 11769. https://doi.org/10.1039/C7TC04410K
- Kowalska K., Kuwik M., Polak J. et al. // J. Lumin. 2022. V. 245. P. 118775. https://doi.org/10.1016/j.jlumin.2022.118775
- Ramadevudu G., Chary M.N., Shareefuddin M. // Mater. Chem. Phys. 2017. V. 186. P. 382. https://doi.org/10.1016/j.matchemphys.2016.11.009
- Maalej O., Taktak O., Boulard B. et al. // J. Phys. Chem. B. 2016. V. 120. P. 7538. https://doi.org/10.1021/acs.jpcb.6b03230
- Taktak O., Souissi H., Souha K. // J. Lumin. 2015. V. 161. P. 368. https://doi.org/10.1016/j.jlumin.2015.01.047
- Хайдуков Н.М., Никонов К.С., Бреховских М.Н. и др. // Неорган. материалы. 2022. Т. 58. № 7. С. 778. https://doi.org/10.31857/S0002337X22070107
- Tanabe Y., Sugano S. // J. Phys. Soc. Jpn. 1954. V. 9. P. 776. https://doi.org/10.1143/JPSJ.9.766
- Adachi S. ECS J. Solid State Sci. Technol. 2019. V. 8. R 164.https://doi.org/10.1149/2.0061912jss
- Bunuel M.A., Alcalá R., Cases R. // Solid State Commun. 1998. V. 107. P. 491. https://doi.org/10.1016/S0038-1098(98)00248-8
- Fano U. // Phys. Rev. 1961. V. 124. P. 1866. https://doi.org/10.1103/PhysRev.124.1866
- Batygov S., Brekhovskikh M., Moiseeva L. et al. // J. Non-Cryst. Solids. 2018. V. 480. P. 57. https://doi.org/10.1016/j.jnoncrysol.2017.06.029
- Henderson B., Imbush G.F. // Opt. Spectrosc. Inorg. Solids. Oxford: Clarendon Press, 2006. 645 p.
- Adachi S. // ECS J. Solid State Sci. Technol. 2021. V. 10. P. 026001. https://doi.org/10.1149/2162-8777/abdc01
- Adachi S. // ECS J. Solid State Sci. Technol. 2021. V. 10. P. 036001. https://doi.org/10.1149/2162-8777/abdfb7
Supplementary files








