Плотность, тепловое расширение, энтальпия, теплоемкость и теплопроводность кальция в интервале температур 720–1290 K
- Авторы: Абдуллаев Р.Н.1, Хайрулин Р.А.1, Агажанов А.Ш.1, Хайрулин А.Р.1, Козловский Ю.М.1, Самошкин Д.А.1
-
Учреждения:
- Институт теплофизики им. С.С. Кутателадзе СО РАН
- Выпуск: Том 68, № 2 (2023)
- Страницы: 158-166
- Раздел: СИНТЕЗ И СВОЙСТВА НЕОРГАНИЧЕСКИХ СОЕДИНЕНИЙ
- URL: https://medbiosci.ru/0044-457X/article/view/136450
- DOI: https://doi.org/10.31857/S0044457X22601638
- EDN: https://elibrary.ru/LRJQST
- ID: 136450
Цитировать
Полный текст
Аннотация
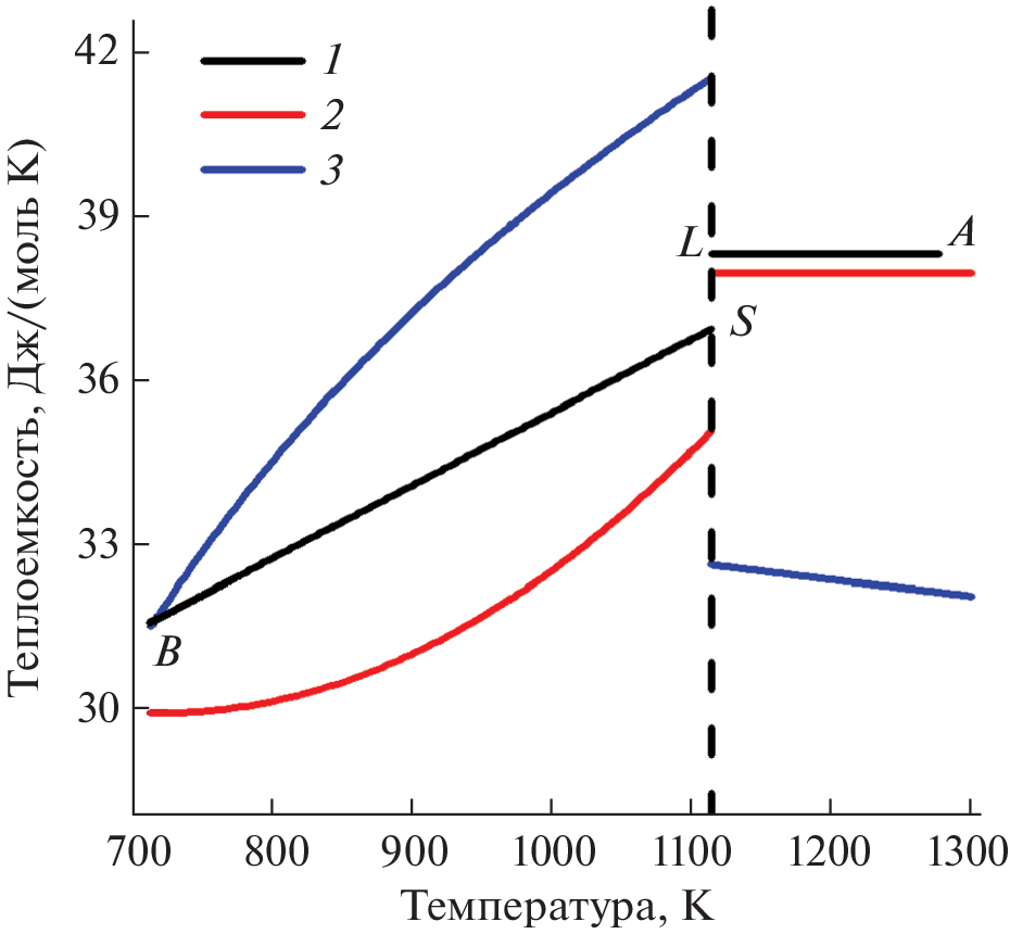
Теплофизические свойства кальция (чистотой 99.75 вес. %) экспериментально исследованы с высокой точностью в интервале температур 720–1290 K твердого и жидкого состояний с использованием дилатометрического метода, метода просвечивания образцов узким пучком гамма-излучения, метода смешения и метода лазерной вспышки. Исследовано поведение плотности, энтальпии и коэффициента теплопроводности кальция в области плавления–кристаллизации. Измеренное значение теплоты плавления составило 8075 Дж/моль, относительного изменения плотности при плавлении – 3.3%, относительного изменения коэффициента теплопроводности при плавлении – 26%. Проведено сопоставление полученных результатов с литературными данными. Результаты измерений при температурах выше 720 K либо значительно уточняют имеющиеся литературные данные, либо являются единственными на настоящий момент. Подтверждено, что теплоемкость жидкого кальция постоянна в интервале 1115–1290 K. Построены аппроксимационные уравнения и разработана таблица рекомендуемых значений исследованных свойств кальция в интервале температур 720–1290 К, включающем твердое и жидкое состояния.
Ключевые слова
Об авторах
Р. Н. Абдуллаев
Институт теплофизики им. С.С. Кутателадзе СО РАН
Email: abdullaev.rasul88@gmail.com
Россия, 630090, Новосибирск, пр-т Академика Лаврентьева, 1
Р. А. Хайрулин
Институт теплофизики им. С.С. Кутателадзе СО РАН
Email: abdullaev.rasul88@gmail.com
Россия, 630090, Новосибирск, пр-т Академика Лаврентьева, 1
А. Ш. Агажанов
Институт теплофизики им. С.С. Кутателадзе СО РАН
Email: abdullaev.rasul88@gmail.com
Россия, 630090, Новосибирск, пр-т Академика Лаврентьева, 1
А. Р. Хайрулин
Институт теплофизики им. С.С. Кутателадзе СО РАН
Email: abdullaev.rasul88@gmail.com
Россия, 630090, Новосибирск, пр-т Академика Лаврентьева, 1
Ю. М. Козловский
Институт теплофизики им. С.С. Кутателадзе СО РАН
Email: abdullaev.rasul88@gmail.com
Россия, 630090, Новосибирск, пр-т Академика Лаврентьева, 1
Д. А. Самошкин
Институт теплофизики им. С.С. Кутателадзе СО РАН
Автор, ответственный за переписку.
Email: abdullaev.rasul88@gmail.com
Россия, 630090, Новосибирск, пр-т Академика Лаврентьева, 1
Список литературы
- Song J., She J., Chen D. et al. // J. Magnesium Alloys. 2020. V. 8. № 1. P. 1. https://doi.org/10.1016/j.jma.2020.02.003
- Aljarrah M., Medraj M. // Calphad. 2008. V. 32. № 2. P. 240. https://doi.org/10.1016/j.calphad.2007.09.001
- Deng M., Höche D., Lamaka S.V. et al. // J. Power Sources. 2008. V. 396. P. 109. https://doi.org/10.1016/j.jpowsour.2018.05.090
- Li Z., Gu X., Lou S. et al. // Biomaterials. 2008. V. 29. № 10. P. 1329. https://doi.org/10.1016/j.biomaterials.2007.12.021
- Terashita N., Akiba E. // Mater. Trans. 2004. V. 45. № 8. P. 2594. https://doi.org/10.2320/matertrans.45.2594
- Chino Y., Ueda T., Kado M. et al. // Mater. Trans. 2011. V. 52. № 9. P. 1840. https://doi.org/10.2320/matertrans.M2011109
- Terada Y., Tsukahara M., Shibayama A. et al. // Scr. Mater. 2011. V. 64. № 11. P. 1039. https://doi.org/10.1016/j.scriptamat.2011.02.016
- Alcock C.B., Chase M.W., Itkin V. // J. Phys. Chem. Ref. Data. 1993. V. 22. № 1. P. 1. https://doi.org/10.1063/1.555935
- Шпильрайн Э.Э., Каган Д.Н., Ульянов С.Н. Термодинамические функции элементов подгруппы щелочноземельных металлов (теплоемкость, энтальпия, энтропия энергия Гиббса). Обзоры по теплофизическим свойствам веществ. № 3(59). М.: ИВТАН, 1986. 77 с.
- Touloukian Y.S., Kirby R.K., Taylor R.E. Thermophysical properties of matter. V. 12. N.Y.: Plenum Press, 1975. 1442 p.
- Touloukian Y.S., Powell R.W., Ho C.Y., Nicolaou M.C. Thermophysical properties of matter. V. 10. N.Y., Washington: Plenum Press, 1973. 748 p.
- Touloukian Y.S., Powell R.W., Ho C.Y., Nicolaou M.C. Thermophysical properties of matter. V. 1. N.Y., Washington: Plenum Press, 1970. 1595 p.
- Зиновьев В.Е. Теплофизические свойства металлов при высоких температурах. М.: Металлургия, 1989. 384 с.
- Новикова С.И. Тепловое расширение твердых тел. М.: Наука, 1974. 294 с.
- Ho C.Y., Powell R.W., Liley P.E. // J. Phys. Chem. Ref. Data. 1972. V. 1. P. 279. https://doi.org/10.1063/1.3253100
- Bridgman P.W. // Proc. Am. Acad. Arts Sci. 1923. V. 58. № 5. P. 1153. https://doi.org/10.4159/harvard.9780674287815.c14
- Smith J.F., Carlson O.N., Vest R.W. // J. Electrochem. Soc. 1956. V. 103. № 7. P. 409. https://doi.org/10.1149/1.2430364
- Schottmiller J.C., King A.J., Kanda F.A. // J. Phys. Chem. 1958. V. 62. № 11. P. 1446–1449. https://doi.org/10.1021/j150569a024
- Bernstein B.T., Smith J.F. // Acta Crystallogr. 1959. V. 12. № 5. P. 419. https://doi.org/10.1107/S0365110X59001268
- Peterson D.T., Fattore V.G. // J. Phys. Chem. 1961. V. 65. № 11. P. 2062. https://doi.org/10.1021/j100828a034
- Шпильрайн Э.Э., Фомин В.А., Качалов В.В. // ТВТ. 1986. Т. 24. № 2. С. 259.
- Hiemstra S., Prins D., Gabrielse G. et al. // Phys. Chem. Liq. 1977. V. 6. № 4. P. 271. https://doi.org/10.1080/00319107708084145
- Bohdansky J., Schins H.E.J. // JINC. 1968. V. 30. № 9. P. 2331. https://doi.org/10.1016/0022-1902(68)80241-6
- Culpin M. F. // Proc. Phys. Soc. 1957. V. 70. № 11. P. 1079. https://doi.org/10.1088/0370-1301/70/11/308
- Ульянов С.Н. Термодинамические свойства щелочноземельных металлов при высоких температурах (разработка метода, экспериментальное исследование, таблицы рекомендуемых данных в твердой и жидкой фазах). Автореф. дис. М.: ИВТАН, 1985.
- Cook J.G., Laubitz M.J., Meer M.P.V. // Can. J. Phys. 1975. V. 53. № 5. P. 486. https://doi.org/10.1139/p75-062
- Cook J.G., Meer M.P.V. // J. Phys. F: Metal Phys. 1973. V. 3. P. L130. https://doi.org/10.1088/0305-4608/3/8/002
- Abdullaev R.N., Khairulin R.A., Kozlovskii Yu.M. et al. // Trans. Nonferrous Met. Soc. China. 2019. V. 29. № 3. P. 507–514. https://doi.org/10.1016/S1003-6326(19)64959-9
- Abdullaev R.N., Agazhanov A.Sh., Khairulin A.R. et al. // J. Eng. Thermophys. 2022. V. 31. № 3. P. 384. https://doi.org/10.1134/S181023282203002X
- SpringerMaterials–properties of materials, https://materials.springer.com/
- Kozlovskii Yu.M., Stankus S.V. // High Temp. 2014. V. 52. № 4. P. 536. https://doi.org/10.1134/S0018151X1403016X
- Abdullaev R.N., Kozlovskii Yu.M., Khairulin R.A. et al. // Int. J. Thermophys. 2015. V. 36. № 4. P. 603. https://doi.org/10.1007/s10765-015-1839-x
- Stankus S.V., Khairulin R.A. // High Temp. 1992. V. 30. № 3. P. 386.
- Stankus S.V., Savchenko I.V., Yatsuk O.S. // Instrum. Exp. Tech. 2017. V. 60. № 4. P. 608. https://doi.org/10.1134/S0020441217030265
- Stankus S.V., Savchenko I.V., Yatsuk O.S. // High Temp. 2018. V. 56. № 1. P. 33. https://doi.org/10.1134/S0018151X18010170
- Parker W.J., Jenkins R.J., Butler C.P. et al. // J. Appl. Phys. 1961. V. 32. № 9. P. 1679. https://doi.org/10.1063/1.1728417
- Cape J.A., Lehman G.W. // J. Appl. Phys. 1963. V. 34. № 7. P. 1909. https://doi.org/10.1063/1.1729711
- Blumm J., Opfermann J. // High Temp.-High Press. 2002. V. 34. № 5. P. 515.
- Stankus S.V., Savchenko I.V. // Thermophys. Aeromech. 2009. V. 16. № 4. P. 585. https://doi.org/10.1134/S0869864309040076
- Agazhanov A.Sh., Abdullaev R.N., Samoshkin D.A. et al. // Fusion Eng. Des. 2020. V. 152. P. 111456-1. https://doi.org/10.1016/j.fusengdes.2020.111456
- Пелецкий В.Э., Чеховской В.Я., Латыев Л.Н. и др. Теплофизические свойства молибдена и его сплавов: Справочник / Под ред. Шейндлина А.Е. М.: Металлургия, 1990. 302 с.
- Савченко И.В. Измерение температуропроводности твердых материалов методом лазерной вспышки // Материалы 12-ой Всероссийской научной конференции студентов-физиков и молодых ученых (ВНКСФ-12), АСФ России, Екатеринбург, Новосибирск, 2006, С. 287.
- Тонков Е.Ю. Фазовые диаграммы элементов при высоком давлении. М.: Наука, 1979. 192 с.
Дополнительные файлы







