Spin Crossover in Iron(II) Complexes with Polynitrogen Heterocyclic Ligands and Outer-Sphere Boron Cluster Anions (Review)
- Authors: Lavrenova L.G.1, Shakirova O.G.2
-
Affiliations:
- Nikolaev Institute of Inorganic Chemistry, Siberian Branch, Russian Academy of Sciences
- Komsomolsk-on-Amur State University
- Issue: Vol 68, No 6 (2023)
- Pages: 774-797
- Section: КООРДИНАЦИОННЫЕ СОЕДИНЕНИЯ
- URL: https://medbiosci.ru/0044-457X/article/view/136477
- DOI: https://doi.org/10.31857/S0044457X2360010X
- EDN: https://elibrary.ru/UGIBJD
- ID: 136477
Cite item
Full Text
Abstract
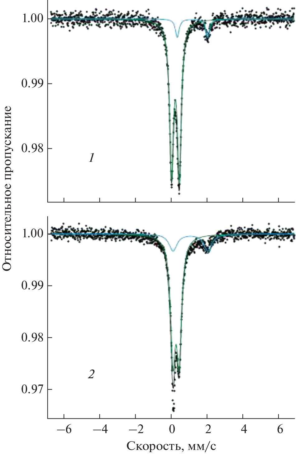
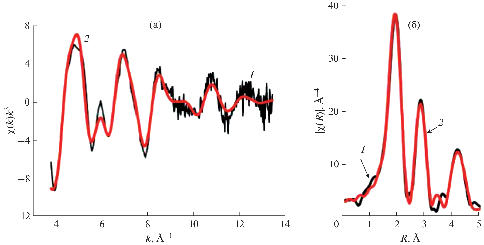
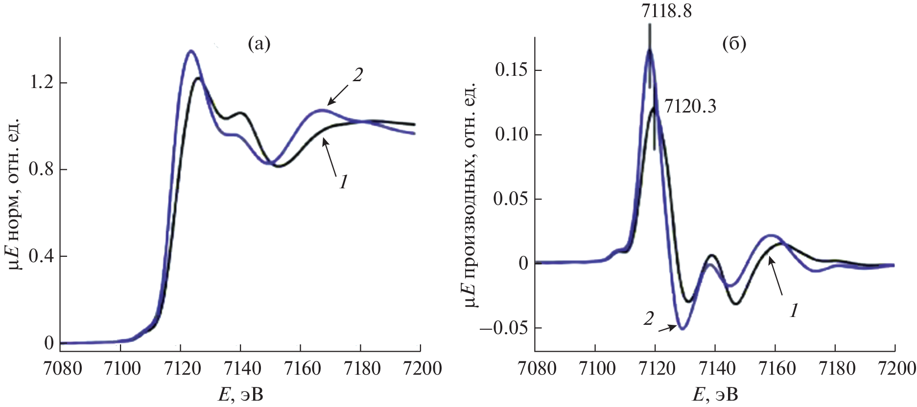
The results of synthesis and study of magnetically-active iron(II) complexes with polynitrogen heterocyclic ligands and outer-sphere boron cluster anions have been considered. Derivatives of 1,2,4-triazole, tris(pyrazol-1-yl)methane, and 2,6-bis(imidazol-2-yl)pyridine have been used as ligands, decahydro-closo-decaborate, dodecahydro-closo-dodecaborate, decachloro-closo-decaborate, and 1,5,6,10-tetra(R)-7,8-dicarba-nido-undecaborates (R = H, Cl, Br) have been studied as outer-sphere anions. A number of iron(II) complexes showing spin crossover accompanied by thermochromism in the majority of cases has been obtained. Effect of ligand nature and cluster anion on temperature (Tc) and spin transition character has been considered. In particular, it has been shown that introduction of substituent increasing electron density over the system of conjugated three-centered two-electron bonds in cluster anion leads to increase in the field strength of ligand bound to anion via network of hydrogen bonds.
About the authors
L. G. Lavrenova
Nikolaev Institute of Inorganic Chemistry, Siberian Branch, Russian Academy of Sciences
Email: ludm@niic.nsc.ru
630090, Novosibirsk, Russia
O. G. Shakirova
Komsomolsk-on-Amur State University
Author for correspondence.
Email: ludm@niic.nsc.ru
681013, Komsomolsk-on-Amur, Russia
References
- Gütlich P., Goodwin H. Spin Crossover in Transition Metal Compounds I-III. // Top Curr. Chem. 2004. V. 233–235.
- Halcrow M.A. Spin-Crossover Materials Properties and Applications. U.K: J. Wiley & Sons Ltd., 2013. 562 p.
- Levchenko G.G., Khristov A.V., Varyukhin V.N. // Low Temperature Phys. 2014. V. 40. P. 571. https://doi.org/10.1063/1.4891445
- Gütlich P. // Coord. Chem. Rev. 2001. V. 219–221. P. 839. https://doi.org/10.1016/S0010-8545(01)00381-2
- Halcrow M.A. // Crystals. 2016. V. 6. № 5. P. 58. https://doi.org/10.3390/cryst6050058
- Boillot M.-L., Zarembowitch J., Sour A. // in: Spin Crossover in Transition Metal Compounds II, Top Curr. Chem. 2004. V. 234. P. 261. https://doi.org/10.1007/b95419
- Miller R.G., Brooker S. // Chem. Sci. 2016. V. 7. P. 2501. https://doi.org/10.1039/c5sc04583e
- Shakirova O.G., Lavrenova L.G. // Crystals. 2020. V. 10. P. 843. https://doi.org/10.3390/cryst10090843
- Enriquez-Cabrera A., Rapakousiou A., Bello M.P. et al. // Coord. Chem. Rev. 2020. V. 419. P. 213396. https://doi.org/10.1016/j.ccr.2020.213396
- Kumar K.S., Vela S., Heinrich B. et al. // Dalton Trans. 2020. V. 49. P. 1022. https://doi.org/10.1039/C9DT04411F
- Kuppusamy S.K., Mizuno A., García-Fuente A. et al. // ACS Omega. 2022. V. 7. № 16. P. 13654. https://doi.org/10.1021/acsomega.1c07217
- Bousseksou A., Molnár G., Salmon L. et al. // Chem. Soc. Rev. 2011. V. 40. P. 3313. https://doi.org/10.1039/C1CS15042A
- Molnár G., Rat S., Salmon L. et al. // Adv. Mater. 2018. V. 30. P. 1703862. https://doi.org/10.1002/adma.201703862
- Ibrahim N.M.J.N., Said S.M., Mainal A. et al. // Mater. Res. Bull. 2020. V. 126. P. 110828. https://doi.org/10.1016/j.materresbull.2020.110828
- Guo W., Daro N., Pillet S. et al. // Chem. Eur. J. 2020. V. 26. № 57. P. 12927. https://doi.org/10.1002/chem.202001821
- Cuza E., Mekuimemba C.D., Cosquer N., et al. // Inorg. Chem. 2021. V. 60. № 9. P. 6536. https://doi.org/10.1021/acs.inorgchem.1c00335
- Craze A.R., Zenno H., Pfrunder M.C. et al. // Inorg. Chem. 2021. V. 60. № 9. P. 6731. https://doi.org/10.1021/acs.inorgchem.1c00553
- Piedrahita-Bello M., Angulo-Cervera J.E., Courson R. et al. // J. Mater. Chem C. 2020. V. 8. № 18. P. 6001. https://doi.org/10.1039/D0TC01532F
- Nguyen T.D., Veauthier J.M., Angles-Tamayo G.F. et al. // J. Amer. Chem. Soc. 2020. V. 142. № 10. P. 4842. https://doi.org/10.1021/jacs.9b13835
- Luo B.-X., Pan Y., Meng Y.-Sh. et al. // Eur. J. Inorg. Chem. 2021. № 38. P. 3992. https://doi.org/10.1002/ejic.202100622
- Turo-Cortés R., Meneses-Sánchez M., Delgado T. et al. // J. Mater. Chem. C. 2022. V. 10. P. 10686. https://doi.org/10.1039/D2TC02039D
- Aleshin D.Yu., Nikovskiy I., Novikov V.V. et al. // ACS Omega. 2021. V. 6. № 48. P. 33111. https://doi.org/10.1021/acsomega.1c05463
- Shakirova O., Kokovkin V., Korotaev E. et al. // Inorg. Chem. Commun. 2022. V. 146. P. 110112. https://doi.org/10.1016/j.inoche.2022.110112
- Avdeeva V.V., Malinina E.A., Kuznetsov N.T. // Coord. Chem. Rev. 2022. V. 469. P. 214636. https://doi.org/10.1016/j.ccr.2022.214636
- Avdeeva V.V., Korolenko S.E., Malinina E.A. et al. // Russ. J. Gen. Chem. 2022. V. 92. № 3. P. 393. https://doi.org/10.1134/S1070363222030070
- Авдеева В.В., Малинина Е.А., Жижин К.Ю. и др. // Журн. неорг. химии. 2020. Т. 65. № 4. С. 495. https://doi.org/10.31857/S0044457X20040029
- Matveev E.Y., Avdeeva V.V., Zhizhin K.Y. et al. // Inorganics. 2022. V. 10. № 12. P. 238. https://doi.org/10.3390/inorganics10120238
- Ali F., Hosmane N.S., Zhu Y. // Molecules. 2020. V. 25. P. 828. https://doi.org/10.3390/molecules25040828
- Sivaev I.B., Bregadze V.I., Kuznetsov N.T. // Russ. Chem. Bull. 2002. V. 51. P. 1362. https://doi.org/10.1023/A:1020942418765
- Barba-Bon A., Salluce G., Lostalé-Seijo I. et al. // Nature. 2022. V. 603. № 7902. P. 637. https://doi.org/10.1038/s41586-022-04413-w
- Avdeeva V.V., Garaev T.M., Malinina E.A. et al. // Rus. J. Inorg. Chem. 2022. V. 67. № 1. P. 28. https://doi.org/10.1134/S0036023622010028
- Fanfrlík J., Lepšík M., Horinek D. et al. // ChemPhysChem. 2006. V. 7. № 5. P. 1100. https://doi.org/10.1002/cphc.200500648
- Thirumamagal B.T.S., Zhao X.B., Bandyopadhyaya A.K. et al. // Bioconjugate chemistry. 2006. V. 17. № 5. P. 1141. https://doi.org/10.1021/bc060075d
- Hu K., Yang Z., Zhang L. et al. // Coord. Chem. Rev. 2020. V. 405. P. 213139. https://doi.org/10.1016/j.ccr.2019.213139213139
- Goswami L.N., Ma L., Chakravarty S. et al. // Inorg. Chem. 2013. V. 52. № 4. P. 1694. https://doi.org/10.1021/ic3017613
- Fink K., Uchman M. // Coord. Chem. Rev. 2021. V. 431. P. 213684. https://doi.org/ 213684https://doi.org/10.1016/j.ccr.2020.213684
- Pankhurst Q.A., Thanh N.T.K., Jones S.K. et al. // J. Phys. D: Appl. Phys. 2009. V. 42. № 22. P. 224001. https://doi.org/10.1088/0022-3727/42/22/224001
- Zimmermann L.W., Schleid T. // Z. Kristallogr. 2013. V. 228. № 10. P. 558. https://doi.org/10.1524/zkri.2013.1634
- Avdeeva V.V., Vologzhanina A.V., Goeva L.V. et al. // Z. Anorg. Allg. Chem. 2014. V. 640. № 11. P. 2149. https://doi.org/10.1002/zaac.201400137
- Kravchenko E.A., Gippius A.A., Kuznetsov N.T. // Russ. J. Inorg. Chem. 2020. V. 65. P. 546. https://doi.org/10.1134/S0036023620040105
- Kravchenko E.A., Gippius A.A., Polyakova I.N. et al. // Z. Anorg. Allg. Chem. 2017. V. 643. № 23. P. 1939. https://doi.org/10.1002/zaac.201700293
- Korolenko S.E., Avdeeva V.V., Malinina E.A. et al. // Russ. J. Coord. Chem. 2020. V. 46. P. 297. https://doi.org/10.1134/S1070328420050024
- Lavrenova L.G., Shakirova O.G. // Eur. J. Inorg. Chem. 2013. № 5–6. P. 670. https://doi.org/10.1002/ejic.201200980
- Lavrenova L.G. // Rus. Chem. Bull. 2018. V. 67. № 7. P. 1142. https://doi.org/10.1007/s11172-018-2195-3
- Иванова А.Д., Лавренова Л.Г., Коротаев Е.В. и др. // Журн. неорг. химии. 2020. Т. 65. № 11. С. 1497. https://doi.org/10.1134/S0036023620110078
- Иванова А.Д., Лавренова Л.Г., Коротаев Е.В. и др. // Журн. неорг. химии. 2022. Т. 67. № 8. С. 1058. https://doi.org/10.31857/S0044457X22080177
- Lavrenova L.G., Shakirova O.G., Korotaev E.V. et al. // Molecules. 2022. V. 27. № 16. P. 5093. https://doi.org/10.3390/molecules27165093
- Goldstein P., Ladell J., Abowts G. // Acta Crystallogr. 1969. V. B25. № 1. P. 135. https://doi.org/10.1107/S0567740869001865
- Лавренова Л.Г., Ларионов С.В. // Коорд. химия. 1998. Т. 24. № 6. С. 403.
- Зеленцов В.В. // Коорд. химия. 1992. Т. 18. № 8. С. 787.
- Bushuev M.B., Lavrenova L.G., Shvedenkov Yu.G. et al. // Russ. J. Coord. Chem. 2008. V. 34. № 3. P. 190. https://doi.org/10.1134/S107032840803007X
- Berezovskii G.A., Bushuev M.B., Pishchur D.P. et al. // J. Therm. Anal. Calorim. 2008. V. 93. № 3. P. 999. https://doi.org/10.1007/s10973-007-8703-6
- Шакирова О.Г., Лавренова Л.Г., Икорский В.Н. и др. // Химия в интересах устойчивого развития. 2002. Т. 10. № 6. С. 795.
- Шакирова О.Г., Далецкий В.А., Лавренова Л.Г. и др. // Журн. неорг. химии. 2013. Т. 58. № 6. С. 739. https://doi.org/10.1134/S0036023613060211
- Haasnoot J.G., Vos G., Groeneveld W.L. // Z. Naturforsch. B. 1977. V. 32. № 12. P. 1421. https://doi.org/10.1515/znb-1977-1212
- Синдицкий В.П., Сокол В.И., Фогельзанг А. И др. // Журн. неорг. химии. 1987. Т. 32. № 8. С. 1950.
- Trofimenko S. // J. Am. Chem. Soc. 1970. V. 92. № 17. P. 5118. https://doi.org/10.1021/ja00720a021
- Reger D. L., Little C A., Rheingold A. L. et al. // Inorg. Chem. 2001. V. 40. № 7. P. 1508. https://doi.org/10.1021/ic001102t
- Bigmore H.R., Lawrence S.C., Mountford P. et al. // Dalton Trans. 2005. P. 635. https://doi.org/10.1039/B413121E
- Hawthorne M.F. // Angew. Chem. Int. Ed. Engl. 1993. V. 32. № 7. P. 950. https://doi.org/10.1002/anie.199309501
- Спрышкова Р.А. Биологические основы нейтроннозахватной терапии на боре-10. Дис. … докт. биол. наук. М.: ОНЦ им. Н.Н. Блохина РАМН. 1999.
- Шакирова О.Г., Лавренова Л.Г., Куратьева Н.В. и др. // Коорд. химия. 2010. Т. 36. № 4. С. 275. https://doi.org/10.1134/S1070328410040068
- Шакирова О.Г., Далецкий В.А., Лавренова Л.Г. и др. // Коорд. химия. 2011. Т. 37. № 7. С. 511. https://doi.org/10.1134/S107032841106008X
- Шакирова О.Г., Лавренова Л.Г., Богомяков А.С. и др. // Журн. неорг. химии. 2015. Т. 60. № 7. С. 869. https://doi.org/10.1134/S003602361507013X
- Ливер Э., Гринберг Я.Х., Тульчинский М.Л. Электронная спектроскопия неорганических соединений. М.: Мир, 1987. Т. 2. 443 с.
- Hauser A. // Top. Curr. Chem. 2004. V. 233. P. 49. https://doi.org/10.1007/b13528
- Шакирова О.Г., Далецкий В.А., Лавренова Л.Г. и др. // Журн. структ. химии. 2014. Т. 55. № 1. С. 50. https://doi.org/10.1134/S0022476614010077
- Wiesboeck R.A., Hawthorne M.F. // J. Am. Chem. Soc. 1964. V. 86. № 8. P. 1642. https://doi.org/10.1021/ja01062a042
- Кононова Е.Г. Колебательные спектры и особенности электронного строения 11‑вершинных клозо- и нидо-карборанов. Дис. … канд. хим. наук. М., 2005. 120 с.
- Carlin R.L. Magnetochemistry. Berlin: Springer-Verlag, 1986. 328 p.
- Варнек В.А., Лавренова Л.Г. // Журн. структ. химии. 1995. Т. 36. № 1. С. 120.
- Лавренова Л.Г., Шакирова О.Г., Икорский В.Н. и др. // Коорд. химия. 2003. Т. 29. № 1. С. 24. https://doi.org/10.1023/A:1021834715674
- Накамото K. ИК-спектры и спектры КР неорганических координационных соединений. М.: Мир, 1991. 536 с.
- Sugano S., Tanabe Y., Kamimura H. Multiplets of transition – metal ions in crystals. N.Y.: Academic Press, Pure Appl. Chem., 1970.
- Selwood P.W. Magnetochemistry 2nd E. Interscience Publishers. N.Y., 1956.
- Ракитин Ю.В., Калинников В.Т. Современная магнетохимия. СПб.: Наука, 1994.
- Ivanova A.D., Korotaev E.V., Komarov V.Yu. et al. // Inorg. Chim. Acta. 2022. V. 532. P. 120746. https://doi.org/10.1016/j.ica.2021.120746
- Vlasenko V.G., Kubrin S.P., Garnovskii D.A. et al. // Chem. Phys. Lett. 2020. V. 739. P. 136970. https://doi.org/10.1016/j.cplett.2019.136970
- Ivanova A.D., Korotaev E.V., Komarov V.Yu. et al. // New. J. Chem. 2020. V. 44. P. 5834. https://doi.org/10.1039/D0NJ00474J
Supplementary files


































