Boron Difluoride β-Diketonates: Structure and Phosphorescence
- Authors: Mirochnik A.G.1, Fedorenko E.V.1, Gerasimenko A.V.1
-
Affiliations:
- Institute of Chemistry, Far East Branch, Russian Academy of Sciences
- Issue: Vol 68, No 6 (2023)
- Pages: 808-815
- Section: КООРДИНАЦИОННЫЕ СОЕДИНЕНИЯ
- URL: https://medbiosci.ru/0044-457X/article/view/136485
- DOI: https://doi.org/10.31857/S0044457X22602334
- EDN: https://elibrary.ru/UFTQBB
- ID: 136485
Cite item
Full Text
Abstract
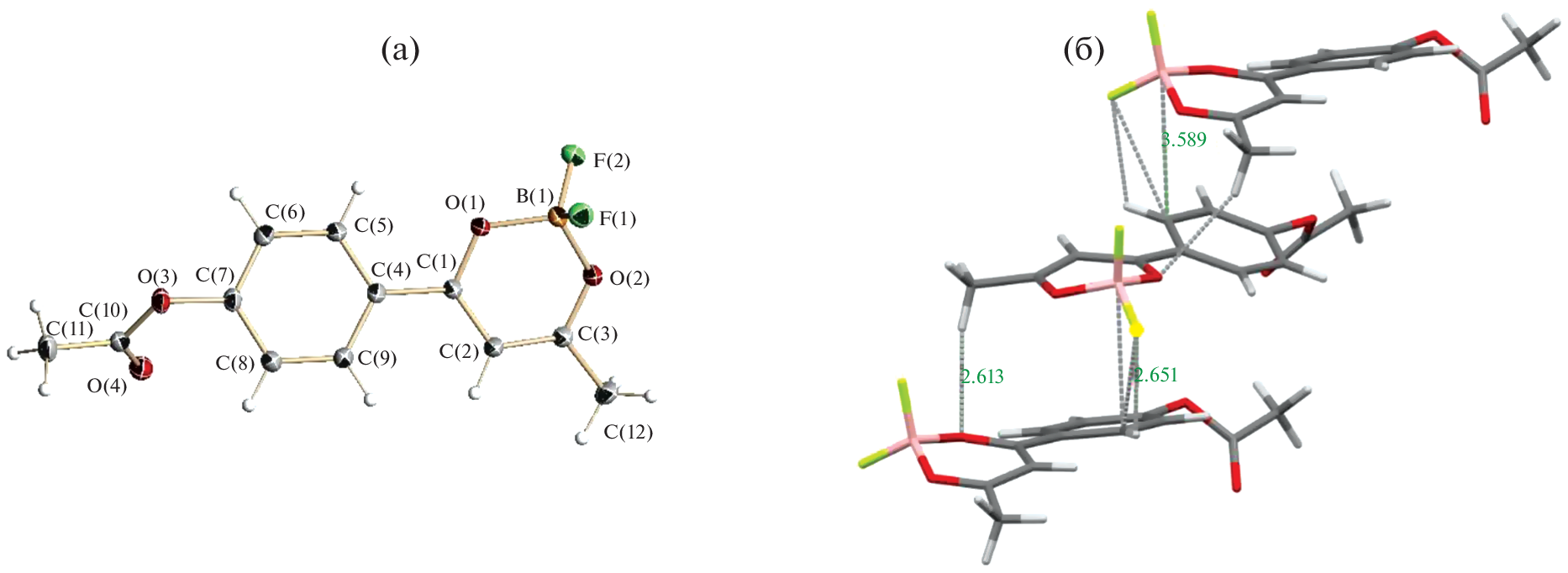
Phosphorescence data on boron difluoride β-diketonates of various structure have been systematized. Nonplanar boron difluoride molecules are characterized by the inversion of the S1 and T2 levels, which promotes efficient population of triplet levels and intense phosphorescence or delayed fluorescence of crystals. Planar molecules are characterized by a classical sequence of singlet and triplet levels and a coplanar arrangement of antiparallel molecules, which contributes to excimer delayed fluorescence.
About the authors
A. G. Mirochnik
Institute of Chemistry, Far East Branch, Russian Academy of Sciences
Email: gev@ich.dvo.ru
690022, Vladivostok, Russia
E. V. Fedorenko
Institute of Chemistry, Far East Branch, Russian Academy of Sciences
Email: gev@ich.dvo.ru
690022, Vladivostok, Russia
A. V. Gerasimenko
Institute of Chemistry, Far East Branch, Russian Academy of Sciences
Author for correspondence.
Email: gev@ich.dvo.ru
690022, Vladivostok, Russia
References
- Gan N., Shi H., An Z. et al. // Adv. Funct. Mater. 2018. V. 28. № 51. P. 1802657 https://doi.org/10.1002/adfm.201802657
- Zhang T., Ma X., Wu H. // Angew. Chem. Int. Ed. Engl. 2020. V. 28. P. 11206. https://doi.org/10.1002/anie.201915433
- Wang X., Dong M., Li Z. et al. // Dyes Pigm. 2022. V. 204. P. 110400. https://doi.org/10.1016/j.dyepig.2022.110400
- Wu Z., Nitsch J., Marder T.B. // Adv. Opt. Mater. 2021. V. 9. P. 2100411. https://doi.org/10.1002/adom.202100411
- Chikineva T.Y., Koshelev D.S., Medved’ko A.V. et al. // Russ. J. Inorg. Chem. 2021. V. 66. P. 170. https://doi.org/10.1134/S0036023621020054
- Ma H., Lv A., Fu L. et al. // Ann. Phys. 2019. V. 531. P. 1800482. https://doi.org/10.1002/andp.201800482
- Chow Y.L., Johansson C.I., Zhang Y. et al. // J. Phys. Org. Chem. 1996. V. 9. P. 7.
- Xu P., Chen H., Duan H. et al. // Russ. J. Gen. Chem. 2022. V. 92. P. 1814. https://doi.org/10.1134/S1070363222090225
- Kozenkov V.M., Spakhov A.A., Belyaev V.V. et al. // Liq. Cryst. 2016. V. 16. № 4. P. 9. https://doi.org/10.18083/LCAppl.2016.4.9
- Zhinzhilo V.A., Uflyand I.E. // Russ. J. Gen. Chem. 2022. V. 92. P. 1937. https://doi.org/10.1134/S1070363222100097
- Zhang G., Chen J., Payn S.J. et al. // J. Am. Chem. Soc. 2007. V. 129. № 29. P. 8942. https://doi.org/10.1021/ja0720255
- Li J., Wang X., Zhao X. et al. // Chin. J. Chem. 2022. V. 40. № 21. P. 2507. https://doi.org/10.1002/cjoc.202200354
- Sakai A., Tanaka M., Ohta E. et al. // Tetrahedron Lett. 2012. V. 53. P. 4138. https://doi.org/10.1016/j.tetlet.2012.05.122
- Poggi B., Lopez E., Mйtivier R. et al. // Macromol. Rapid Commun. 2022. V. 43. P. 2200134. https://doi.org/10.1002/marc.202200134
- Domercq B., Grasso C., Maldnado J.-L. et al. // J. Phys. Chem. B. 2004. V. 108. P. 8647. https://doi.org/10.1021/jp036779r
- Карасев В.Е., Коротких О.А. // Журн. неорган. химии. 1986. Т. 31. С. 869.
- Mirochnik A.G., Puzyrkov Z.N., Fedorenko E.V. et al. // Russ. J. Inorg. Chem. 2022. V. 67. P. 1425. [Мирочник А.Г., Пузырьков З.Н., Федоренко Е.В. и др. // Журн. неорган. химии. 2022. Т. 67. № 9. С. 1292.]https://doi.org/10.1134/S003602362209008X
- Fedorenko E.V., Mirochnik A.G., Gerasimenko A.V. et al. // J. Photochem. Photobiol. Chem. 2021. V. 412. P. 113220. https://doi.org/10.1016/j.jphotochem.2021.113220
- US Pat. 004846; 16.20.2003 Publ.
- Буквецкий Б.В., Федоренко Е.В., Мирочник А.Г. и др. // Журн. структур. химии. 2006. Т. 47. № 1. С. 60.
- Fedorenko E.V., Mirochnik A.G., Gerasimenko A.V. et al. // Dyes Pigm. 2018. V. 159. P. 557. https://doi.org/10.1016/j.dyepig.2018.07.022
- Fedorenko E.V., Bukvetskii B.V., Mirochnik A.G. et al. // J. Lumin. 2010. V. 130. № 5. P. 756.https://doi.org/10.1016/j.jlumin.2009.11.027
- Bruker. APEX2. Bruker AXS Inc., Madison, 2012.
- Sheldrick G.M. SHELXTL/PC. Versions 5.10. An Integrated System for Solving, Refining and Displaying Crystal Structures From Diffraction Data. Bruker AXS Inc., Madison, Wisconsin, 1998.
- Thalladi V.R., Weiss H.-C., Bla¨ser D. et al. // J. Am. Chem. Soc. 1998. V. 12. № 34. P. 8702. https://doi.org/10.1021/ja981198e
- Brammer A., Bruton E., Sherwood P. // Cryst. Growth Des. 2001. V. 1. P. 277. https://doi.org/10.1021/cg015522k
- Rohde D., Yan C.-J., Wan L.-J. // Langmuir. 2006. V. 22. P. 4750. https.//doi.orghttps://doi.org/10.1021/la053138+
- Федоренко Е.В., Буквецкий Б.В., Мирочник А.Г. и др. // Изв. АН. Сер. хим. 2009. № 11. С. 2174.
- Tikhonov S.A., Fedorenko E.V., Mirochnik A.G. et al. // Spectrochim. Acta A. 2019. V. 214. P. 67. https://doi.org/10.1016/j.saa.2019.02.002
- Hanson A.W., Macaulay E.W. // Acta Crystallogr. 1972. V. 28. P. 1961.
- Mirochnik A.G., Bukvetskii B.V., Gukhman E.V. et al. // J. Fluor. 2003. V. 13. № 2. P. 157. https://doi.org/10.1023/A:1022939209971
- Dromzee Y., Kossanyi J., Wintgens V. // Z. Kristallogr. 1997. V. 212. P. 372. https://doi.org/10.1524/zkri.1997.212.5.372
- Буквецкий Б.В., Федоренко Е.В., Мирочник А.Г. // Журн. структур. химии. 2011. Т. 52. № 1. С. 223.
- Буквецкий Б.В., Федоренко Е.В., Мирочник А.Г. и др. // Журн. структур. химии. 2010. Т. 51. № 3. С. 563.
Supplementary files














