Неэмпирическое моделирование взаимодействия кластеров Fe2O2 и Fe2O4 с молекулами H2 и O2
- Авторы: Боженко К.В.1, Утенышев А.Н.1, Гуцев Л.Г.1, Гуцев Г.Л.2, Алдошин С.М.1
-
Учреждения:
- Федеральный исследовательский центр проблем химической физики и медицинской химии РАН
- Department of Physics, Florida A&M University
- Выпуск: Том 68, № 10 (2023)
- Страницы: 1454-1461
- Раздел: ТЕОРЕТИЧЕСКАЯ НЕОРГАНИЧЕСКАЯ ХИМИЯ
- URL: https://medbiosci.ru/0044-457X/article/view/140311
- DOI: https://doi.org/10.31857/S0044457X23600457
- EDN: https://elibrary.ru/GBLADU
- ID: 140311
Цитировать
Полный текст
Аннотация
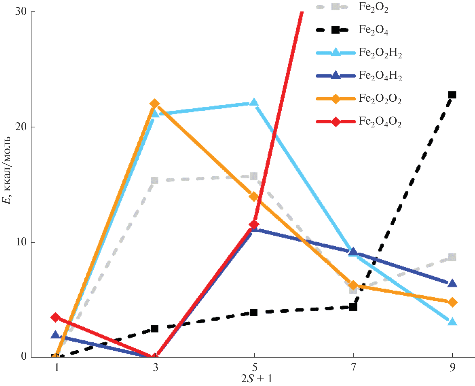
Квантово-химические расчеты геометрической и электронной структуры соединений, образующихся при взаимодействии кластеров Fe2O2 и Fe2O4 с двухатомными молекулами H2 и O2 в газовой фазе, выполнены методом теории функционала плотности в приближении обобщенного градиента с использованием базиса triple-zeta. Установлены закономерности изменения энергии связи H2 и O2 с кластерами Fe2O2 и Fe2O4 в зависимости от числа атомов кислорода. Выявлено, что в двух из четырех рассмотренных реакций суммарные спины начальных реагентов и конечных продуктов их взаимодействия не совпадают, т.е. происходит спиновая релаксация. Сделан вывод о том, что наночастицы на основе кластеров Fe2O4 могут применяться в качестве сенсоров для обнаружения молекул H2 и O2.
Ключевые слова
Об авторах
К. В. Боженко
Федеральный исследовательский центр проблем химической физики и медицинской химии РАН
Email: bogenko@icp.ac.ru
Россия, 142432, Черноголовка, пр-т Академика Семенова, 1
А. Н. Утенышев
Федеральный исследовательский центр проблем химической физики и медицинской химии РАН
Email: bogenko@icp.ac.ru
Россия, 142432, Черноголовка, пр-т Академика Семенова, 1
Л. Г. Гуцев
Федеральный исследовательский центр проблем химической физики и медицинской химии РАН
Email: bogenko@icp.ac.ru
Россия, 142432, Черноголовка, пр-т Академика Семенова, 1
Г. Л. Гуцев
Department of Physics, Florida A&M University
Email: bogenko@icp.ac.ru
United States, 32307, Tallahassee
С. М. Алдошин
Федеральный исследовательский центр проблем химической физики и медицинской химии РАН
Автор, ответственный за переписку.
Email: bogenko@icp.ac.ru
Россия, 142432, Черноголовка, пр-т Академика Семенова, 1
Список литературы
- Prima D.O., Kulikovskaya N.S., Galushko A.S. et al. // Curr. Opin. Green Sustain. Chem. 2021. V. 31. P. 100502. https://doi.org/10.1016/J.COGSC.2021.100502
- Kashin A.S., Ananikov V.P. // J. Org. Chem. 2013. V. 78. P. 11117. https://doi.org/10.1021/jo402038p
- Yang S., Rao D., Ye J. et al. // Int. J. Hydrogen Energy. 2021. V. 46. P. 3484. https://doi.org/10.1016/j.ijhydene.2020.11.008
- Zhang X., Zhang M., Deng Y. et al. // Nature. 2021. V. 589. P. 396. https://doi.org/10.1038/s41586-020-03130-6
- Singh B., Gawande M.B., Kute A.D. et al. // Chem. Rev. 2021. V. 121. P. 13620.
- Zhang H., Hwang S., Wang M. et al. // J. Am. Chem. Soc. 2017. V. 139. P. 14143. https://doi.org/10.1021/JACS.7B06514/SUPPL_FILE/JA7B06514_SI_001.PDF
- Zhou J., Xu Z., Xu M. et al. // Nanoscale Adv. 2020. V. 2. P. 3624. https://doi.org/10.1039/D0NA00393J
- Gobbo O.L., Sjaastad K., Radomski M.W. et al. // Theranostics. 2015. V. 5. № 11. P. 1249. https://doi.org/10.7150/thno.11544
- Cox P.A. Transition Metal Oxides. Oxford: Clarendon, 1992. 284 p.
- Rao C.N., Raveau B. Transition Metal Oxides. N.Y.: Wiley, 1998. 392 p.
- Gong Yu., Mingfei Z., Andrews L. // Chem. Rev. 2009. V. 109. P. 6765.
- Fernando A., Weerawardene K.L.D.M., Karimova N.V., Aikens C.M. // Chem. Rev. 2015. V. 115. P. 6112.
- Singh N., Jenkins G.J.S., Asadi R., Doak S.H. // Nano Rev. 2010. V. 1. P. 358.https://doi.org/10.3402/nano.v1i0.5358
- Lee N.D., Yoo D., Ling D. et al. // J. Cheon. Chem. Rev. 2015. V. 115. P. 10637. https://doi.org/10.1021/acs.chemrev.5b00112
- Golovin Y.I., Klyachko N.L., Majouga A.G. et al. // J. Nanopart. Res. 2017. V. 19. P. 63. https://doi.org/10.1007/s11051-017-3746-5
- Molek K.S., Anfuso-Cleary C., Duncan M.A. // J. Phys. Chem. A. 2008. V. 112. P. 9238. https://doi.org/10.1021/jp8009436
- Li S., Guenther C.L., Kelley M.S., Dixon D.A. // J. Phys. Chem. C. 2011. V. 115. P. 8072. https://doi.org/10.1021/jp111031x
- Kesavan V., Dhar D., Koltypin Y. et al. // Pure Appl. Chem. 2001. V. 73. P. 85. https://doi.org/10.1351/pac200173010085
- Jones N.O., Reddy B.V., Rasouli F., Khanna S.N. // Phys. Rev. B: Condens. Matter Mater. Phys. 2006. V. 73. P. 119901. https://doi.org/10.1103/PhysRevB.73.119901
- de Oliveira O.V., de Pires J.M., Neto A.C., dos Santos J.D. // Chem. Phys. Lett. 2015. V. 634. P. 25.
- Gutsev G.L., Weatherford C.A., Jena P. et al. // Chem. Phys. Lett. 2013. V. 556. P. 211. https://doi.org/10.1016/j.cplett.2012.11.054
- Ju M., Lv J., Kuang X.-Y. et al. // RSC Adv. 2015. V. 5. P. 6560.
- Gutsev G.L., Belay K.G., Bozhenko K.V. et al. // Phys. Chem. Chem. Phys. 2016. V. 18. P. 27858. https://doi.org/10.1039/c6cp03241a
- Gutsev G.L., Belay K.G., Gutsev L.G., Ramachandran B.R. // Comput. Mater. Sci. 2017. V. 137. P. 134. https://doi.org/10.1016/j.commatsci.2017.05.028
- Roy D.R., Robles R., Khanna S.N. // J. Chem. Phys. 2010. V. 132. P. 194305. https://doi.org/10.1063/1.3425879
- Wang Q., Sun Q., Sakurai M. et al. // Phys. Rev. B: Condens. Matter Mater. Phys. 1999. V. 59. P. 12672.
- Sun Q., Sakurai M.Q., Wang M. et al. // Phys. Rev. B: Condens. Matter Mater. Phys. 2000. V. 62. P. 8500. https://doi.org/https://doi.org/10.1103/PhysRevB.62.8500
- Kortus J., Pederson M.R. // Phys. Rev. B: Condens. Matter Mater. Phys. 2000. V. 62. P. 5755.
- López S., Romero A.H., Mejнa-López J. et al. // Phys. Rev. B: Condens. Matter Mater. Phys. 2009. V. 80. P. 085107. https://doi.org/10.1103/PhysRevB.80.085107
- Palotás K., Andriotis A.N., Lappas A. // Phys. Rev. B: Condens. Matter Mater. Phys. 2010. V. 81. P. 075403. https://doi.org/10.1103/PhysRevB.81.075403
- Logemann R., de Wijs G.A., Katsnelson M.I., Kirilyuk A. // Phys. Rev. B: Condens. Matter Mater. Phys. 2015. V. 92. P. 144427. https://doi.org/10.1103/PhysRevB.92.144427
- Gutsev G.L., Belay K.G., Gutsev L.G., Ramachandran B.R. // J. Comput. Chem. 2016. V. 37. P. 2527. https://doi.org/10.1002/jcc.24478
- Xue W., Wang Z.-C., He S.-G., Xie Y. // J. Am. Chem. Soc. 2008. V. 130. P. 15879.
- Xie Y., Dong F., Heinbuch S. et al. // J. Chem. Phys. 2009. V. 130. P. 114306.
- Weichman M.L., DeVine J.A., Neumark D.M. // J. Chem. Phys. 2016. V. 145. P. 054302. https://doi.org/10.1063/1.4960176
- Gutsev G.L., Belay K.G., Gutsev L.G. et al. // Phys. Chem. Chem. Phys. 2018. V. 20. P. 4546. https://doi.org/10.1039/C7CP08224J
- Roy D.R., Roblesand R., Khanna S.N. // J. Chem. Phys. 2010. V. 2. P. 194305. https://doi.org/10.1063/1.3425879
- Xue W., Yin S., Ding X.-L. et al. // J. Phys. Chem. A. 2009. V. 113. P. 5302.
- Li P., Miser D.E., Rabiei S. et al. // Appl. Catal. B. 2003. V. 43. P. 151. https://doi.org/10.1016/S0926-3373(02)00297-7
- Khedr M.H., Abdel Halim K.S., Nasr M.I., El-Mansy A.M. // Mater. Sci. Eng. A. 2006. V. 430. P. 40. https://doi.org/10.1016/j.msea.2006.05.119
- Reddy B.V., Rasouli F., Hajaligol M.R., Khanna S.N. // Chem. Phys. Lett. 2004. V. 384. P. 242. https://doi.org/10.1016/j.cplett.2003.12.023
- Боженко К.В., Утенышев А.Н., Гуцев Л.Г. и др. // Журн. неорган. химии. 2022. Т. 67. № 12. С. 1789. Bozhenko K.V., Utenyshev A.N., Gutsev L.G. et al. // Russ. J. Inorg. Chem. 2003 2022. V. 67. № 12. P. 2003. https://doi.org/10.1134/S0036023622601751
- Kappes M.M., Staley R.H. // J. Am. Chem. Soc. 1981. V. 103. P. 1286.
- Hagen J., Bernhardt T.M., Woste L. et al. // J. Am. Chem. Soc. 2003. V. 125. P. 10437.
- Gaussian 09, Revision C.01. Gaussian, Inc. Wallingford CT-2009.
- Curtiss L.A., McGrath M.P., Blaudeau J.-P. et al. // J. Chem. Phys.1995. V. 103. P. 6104. https://doi.org/10.1063/1.470438
- Becke A.D. // Phys. Rev. A. 1988. V. 38. P. 3098. https://doi.org/10.1103/PhysRevA.38.3098
- Perdew J.P., Wang Y. // Phys. Rev. B. 1992. V. 45. P. 13244. https://doi.org/10.1103/PhysRevB.45.13244
- Gutsev G.L., Andrews L., Bauschlicher C.W. // Theor. Chem. Acc. 2003. V. 109. P. 298. https://doi.org/10.1007/s00214-003-0428-4
- Gutsev G.L., Rao B.K., Jena P. // J. Phys. Chem. A. 2000. V. 104. P. 5374.
- Gutsev G.L., Rao B.K., Jena P. // J. Phys. Chem. A. 2000. V. 104. P. 11961. https://doi.org/10.1021/jp002252s
- Gutsev G.L., Bauschlicher C.W., Jr. et al // J. Chem. Phys. 2003. V. 119. P. 11135. https://doi.org/10.1063/1.1621856
- Pradhan K., Gutsev G.L., Weatherford C.A., Jena P. // J. Chem. Phys. 2011. V. 134. P. 144305. https://doi.org/10.1063/1.3570578
- Gutsev G.L., Rao B.K., Jena P. et al. // J. Chem. Phys. 2000. V. 113. P. 1473. https://doi.org/10.1063/1.481964
- Gutsev G.L., Rao B.K., Jena P. et al. // Chem. Phys. Lett. 1999. V. 312. P. 598. https://doi.org/10.1016/S0009-2614(99)00976-8
- Ju M., Lv J., Kuang X.-Y. et al. // RSC Adv. 2015. V. 5. P. 6560.
- Li S., Zhai H.-J., Wang L.-S., Dixon D.A. // J. Phys. Chem. A. 2009. V. 1. P. 11273. https://doi.org/10.1021/jp9082008
- Li S., Dixon D.A. // J. Phys. Chem. A. 2008. V. 112. P. 6646.
- Zhai H.-J., Li S., Dixon D. A., Wang L.-S. // J. Am. Chem. Soc. 2008. V. 130. P. 5167. https://doi.org/10.1021/ja077984d
- Grein F. // Int. J. Quantum. Chem. 2009. V. 109. P. 549. https://doi.org/10.1002/qua.21855
- Li S., Jamie M., Hennigan Dixon D.A., Peterson K.A. // J. Phys. Chem. A. 2009. V. 113. P. 7861. https://doi.org/10.1021/jp810182a
- Fang Z., Both J., Li S. et al. // J. Chem. Theory Comput. 2016. V. 12. P. 3689.
- Yang K., Zheng J., Zhao Y., Truhlar D.G. // J. Chem. Phys. 2010. V. 132. P. 164117. https://doi.org/10.1063/1.3382342
- Gutsev G., Bozhenko K., Gutsev L. et al. // J. Comput. Chem. 2019. V. 40. P. 562. https://doi.org/10.1002/jcc.25739
- Garcia J.M., Shaffer R.E., Sayres Scott G. // Phys. Chem. Chem. Phys. 2020. V. 22. P. 24624.
- Elliott P., Singh N., Krieger K. et al. // J. Magn. Magn. Mater. 2020. V. 502. P. 166473.
- Zheng Z., Zheng Q., Zhao J. // Phys. Rev. B. 2022. V. 105. P. 085142.
Дополнительные файлы







