Synthesis and Ionic Conductivity of Complex Phosphates Li1 + xTi1.8 – xFexGe0.2(PO4)3 with NASICON Structure
- Authors: Stenina I.A.1, Taranchenko E.O.1,2, Ilin A.B.1, Yaroslavtsev A.B.1
-
Affiliations:
- Kurnakov Institute of General and Inorganic Chemistry, Russian Academy of Sciences
- National Research University Higher School of Economics, Chemistry Department
- Issue: Vol 68, No 12 (2023)
- Pages: 1683-1690
- Section: СИНТЕЗ И СВОЙСТВА НЕОРГАНИЧЕСКИХ СОЕДИНЕНИЙ
- URL: https://medbiosci.ru/0044-457X/article/view/231652
- DOI: https://doi.org/10.31857/S0044457X23601360
- EDN: https://elibrary.ru/ZULLGO
- ID: 231652
Cite item
Full Text
Abstract
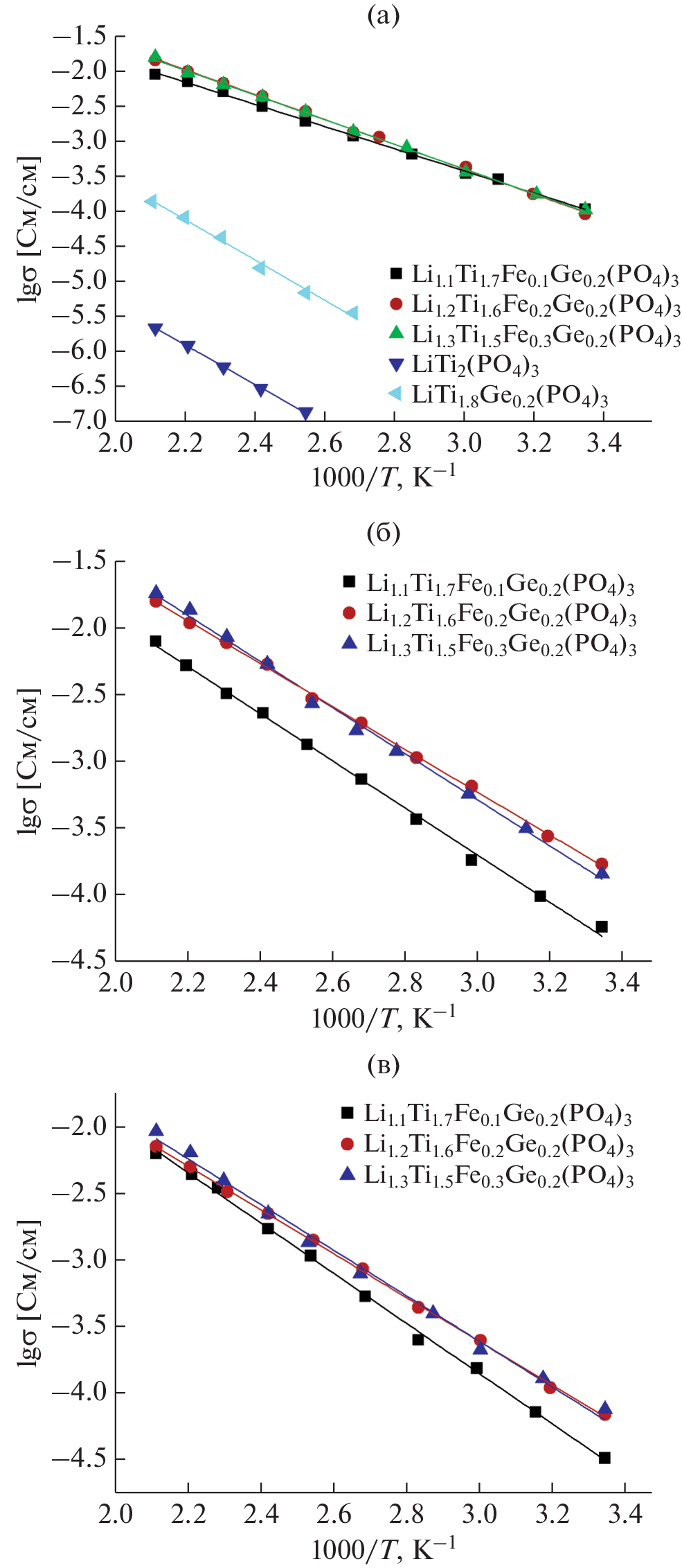
Phosphates Li1 + xTi1.8 – xFexGe0.2(PO4)3 (x = 0.1–0.3) with the NASICON structure have been prepared and studied for the first time. It has been shown that co-doping with germanium and iron leads to significant increase in the ionic conductivity of the prepared materials at low degrees of titanium substitution. The influence of the synthesis method (solid-state and sol-gel) and conditions of precursor processing on the ionic conductivity of the materials has been studied. Optimum conditions for the mechanical processing of precursors have been found to obtain ceramics with the highest conductivity. Li1.2Ti1.6Fe0.2Ge0.2(PO4)3 prepared by the solid-state method exhibits the highest ionic conductivity at room temperature (1.7 × 10–4 S/cm) among all samples.
About the authors
I. A. Stenina
Kurnakov Institute of General and Inorganic Chemistry, Russian Academy of Sciences
Email: stenina@igic.ras.ru
119991, Moscow, Russia
E. O. Taranchenko
Kurnakov Institute of General and Inorganic Chemistry, Russian Academy of Sciences; National Research University Higher School of Economics, Chemistry Department
Email: stenina@igic.ras.ru
119991, Moscow, Russia; 117312, Moscow, Russia
A. B. Ilin
Kurnakov Institute of General and Inorganic Chemistry, Russian Academy of Sciences
Email: stenina@igic.ras.ru
119991, Moscow, Russia
A. B. Yaroslavtsev
Kurnakov Institute of General and Inorganic Chemistry, Russian Academy of Sciences
Author for correspondence.
Email: stenina@igic.ras.ru
119991, Moscow, Russia
References
- Manthiram A., Yu X., Wang S. // Nat. Rev. Mater. 2017. V. 2. P. 16103. https://doi.org/10.1038/natrevmats.2016.103
- Zheng F., Kotobuki M., Song S. et al. // J. Power Sources. 2018. V. 389. P. 198. https://doi.org/10.1016/j.jpowsour.2018.04.022
- Chinnam P.R., Clymer R.N., Jalil A.A. et al. // Chem. Mater. 2015. V. 27. P. 5479. https://doi.org/10.1021/acs.chemmater.5b00940
- Li Q., Chen J., Fan L. et al. // Green Energy Environ. 2016. V. 1. P. 18. https://doi.org/10.1016/j.gee.2016.04.006
- Gao Z., Sun H., Fu L. et al. // Adv. Mater. 2018. V. 30. P. 1705702. https://doi.org/10.1002/adma.201705702
- Prakash P., Fall B., Aguirre J. et al. // Nat. Mater. 2023. V. 22. P. 627. https://doi.org/10.1038/s41563-023-01508-1
- Hou M., Liang F., Chen K. et al. // Nanotechnol. 2020. V. 31. P. 132003. https://doi.org/10.1088/1361-6528/ab5be7
- Hossain E., Faruque H., Sunny M. et al. // Energies. 2020. V. 13. P. 3651. https://doi.org/10.3390/en13143651
- Voropaeva D.Yu., Safronova E.Yu., Novikova S.A. et al. // Mendeleev Commun. 2022. V. 32. P. 287. https://doi.org/10.1016/j.mencom.2022.05.001
- Zhang C., Wei Y.-L., Cao P.-F. et al. // Renew. Sustain Energy Rev. 2018. V. 82. P. 3091. https://doi.org/10.1016/j.rser.2017.10.030
- Wang L., Li J., Lu G. et al. // Front. Mater. 2020. V. 7. P. 111. https://doi.org/10.3389/fmats.2020.00111
- Duan H., Oluwatemitope F., Wu S. et al. // ACS Appl. Mater. Interfaces. 2020. V. 12. P. 52271. https://doi.org/10.1021/acsami.0c16966
- Subramanian K., Alexander G.V., Karthik K. et al. // J. Energy Storage. 2021. V. 33. P. 102157. https://doi.org/10.1016/j.est.2020.102157
- Bachman J.C., Muy S., Grimaud A. et al. // Chem. Rev. 2016. V. 116. P. 140.https://doi.org/10.1021/acs.chemrev.5b00563
- Куншина Г.Б., Бочарова И.В., Щербина О.Б. // Неорган. материалы. 2022. Т. 58. С. 155.
- Stenina I.A., Pinus I.Yu., Rebrov A.I. et al. // Solid State Ionics. 2004. V. 175. № 1–4. P. 445. https://doi.org/10.1016/j.ssi.2003.12.037
- Fang Y., Zhang J., Xiao L. et al. // Adv. Sci. 2017. V. 4. P. 1600392. https://doi.org/10.1002/advs.201600392
- Thirupathi R., Kumari V., Chakrabarty S. et al. // Progr. Mater. Sci. 2023. V. 137. P. 101128. https://doi.org/10.1016/j.pmatsci.2023.101128
- Aono H., Sugimoto E., Sadaoka Y. et al. // J. Electrochem. Soc. 1990. V. 137. P. 1023. https://doi.org/10.1149/1.2086597
- Kahlaoui R., Arbi K., Sobrados I. et al. // Inorg. Chem. 2017. V. 56. P. 1216. https://doi.org/10.1021/acs.inorgchem.6b02274
- Arbi K., Lazarraga M.G., Chehimi D.B.H. et al. // Chem. Mater. 2004. V. 16. P. 255. https://doi.org/10.1021/cm030422i
- Свитанько А.И., Новикова С.А., Стенина И.А. и др. // Неорган. материалы. 2014. Т. 50. С. 295. [Svitan’ko A.I., Novikova S.A., Stenina I.A. et al. // Inorg. Mater. 2014. V. 50. P. 273.] https://doi.org/10.1134/S0020168514030145
- Куншина Г.Б., Громов О.Г., Локшин Э.П., Калинников В.Т. // Журн. неорган. химии. 2014. Т. 59. С. 589. https://doi.org/10.7868/S0044457X14050122
- Xiao W., Wang J., Fan L. et al. // Energy Storage Mater. 2019. V. 19. P. 379. https://doi.org/10.1016/j.ensm.2018.10.012
- Perez-Estebanez M., Isasi-Marin J., Tobbens D.M. et al. // Solid State Ionics. 2014. V. 266. P. 1. https://doi.org/10.1016/j.ssi.2014.07.018
- Zhang P., Matsui M., Hirano A. et al. // Solid State Ionics. 2013. V. 253. P. 175. https://doi.org/10.1016/j.ssi.2013.09.022
- Stenina I., Pyrkova A., Yaroslavtsev A. // Batteries. 2023. V. 9. № 1. P. 59. https://doi.org/10.3390/batteries9010059
- Safanama D., Adams S. // J. Power Sources. 2017. V. 340. P. 294. https://doi.org/10.1016/j.jpowsour.2016.11.076
- Rettenwander D., Welzl A., Pristat S. et al. // J. Mater. Chem. A. 2016. V. 4. P. 1506. https://doi.org/10.1039/C5TA08545D
- Wu P., Zhou W., Su X. et al. // Adv. Energy Mater. 2023. V. 13. P. 2203440. https://doi.org/10.1002/aenm.202203440
- Медведева А.Е., Махонина Е.В., Печень Л.С. и др. // Журн. неорган. химии. 2022. Т. 67. С. 896. https://doi.org/10.31857/S0044457X22070157
- Лапшин О.В., Болдырева Е.В., Болдырев В.В. // Журн. неорган. химии. 2021. Т. 66. С. 402. https://doi.org/10.31857/S0044457X21030119
- Yaroslavtsev A.B. // Solid State Ionics. 2005. V. 176. P. 2935. https://doi.org/10.1016/j.ssi.2005.09.025
- DeWees R., Wang H. // ChemSusChem. 2019. V. 12. P. 3713. https://doi.org/10.1002/cssc.201900725
- Paolella A., Zhu W., Campanella D. et al. // Curr. Opin. Electrochem. 2022. V. 36. P. 101108. https://doi.org/10.1016/j.coelec.2022.101108
- Курзина Е.А., Стенина И. А., Dalvi А. и др. // Неорган. Материалы. 2021. Т. 57. № 10. С. 1094. https://doi.org/10.31857/S0002337X21100079
- Yaroslavtsev A., Stenina I. // Russ. J. Inorg. Chem. 2006. V. 51. Suppl. 1. P. S97. https://doi.org/10.1134/S0036023606130043
Supplementary files





