Effect of Bridging Group Nature on the Extraction Ability of Diphenylphosphorylketones toward Actinides and Lanthanides
- Authors: Safiulina A.M.1,2, Borisova N.E.3,4, Lizunov A.V.1, Golubev A.V.3, Bodrin G.V.4, Goryunov E.I.4, Goryunova I.B.4, Brel’ V.K.4, Tananaev I.G.5,6,7
-
Affiliations:
- Bochvar High-Technology Research Institute of Inorganic Materials
- Mendeleev University of Chemical Technology of Russia
- Moscow State University
- Nesmeyanov Institute of Organoelement Compounds, Russian Academy of Sciences
- Kola Scientific Center, Russian Academy of Sciences
- Tananaev Institute of Chemistry and Technology of Rare Elements and Mineral Raw Materials, Kola Scientific Center, Russian Academy of Sciences
- Far Eastern Federal University
- Issue: Vol 68, No 11 (2023)
- Pages: 1656-1663
- Section: ФИЗИКОХИМИЯ РАСТВОРОВ
- URL: https://medbiosci.ru/0044-457X/article/view/231679
- DOI: https://doi.org/10.31857/S0044457X23600585
- EDN: https://elibrary.ru/DJFGHV
- ID: 231679
Cite item
Full Text
Abstract
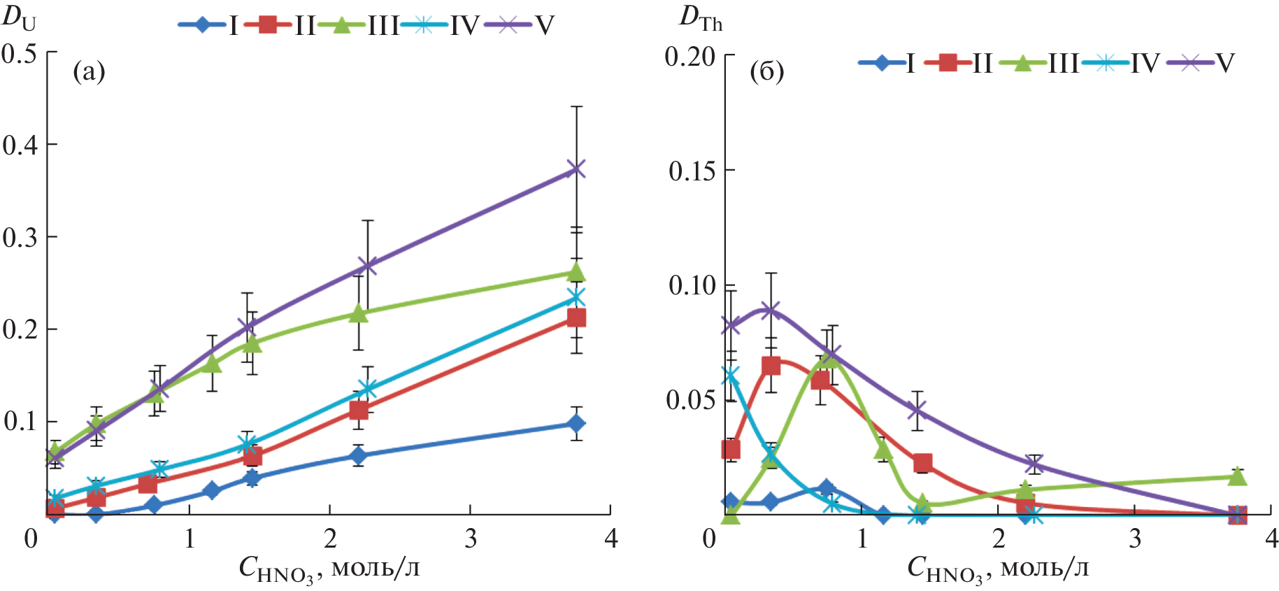
Effect of structure of phosphorylketones containing flexible alkyl and conformationally rigid fragments in the linker on extraction ability toward actinides and lanthanides has been studied. It has been shown that the introduction of conformationally rigid cycloalkanediyl and alkenediyl fragments in the bridge between P=O and C=O groups in the structure of molecule decreases efficiency of extractants for both actinides and lanthanides. At the same time, the introduction of flexible alkyl groups in linker structure increases complexing and extraction ability. This dependence has been explained theoretically by modeling complexation (DFT, PBE, cc-pVDZ), monodentate coordination was observed for all studied phosphorylalkanones
About the authors
A. M. Safiulina
Bochvar High-Technology Research Institute of Inorganic Materials; Mendeleev University of Chemical Technology of Russia
Email: AMSafiulina@bochvar.ru
123098, Moscow, Russia; 125047, Moscow, Russia
N. E. Borisova
Moscow State University; Nesmeyanov Institute of Organoelement Compounds, Russian Academy of Sciences
Email: AMSafiulina@bochvar.ru
119991, Moscow, Russia; 119334, Moscow, Russia
A. V. Lizunov
Bochvar High-Technology Research Institute of Inorganic Materials
Email: AMSafiulina@bochvar.ru
123098, Moscow, Russia
A. V. Golubev
Moscow State University
Email: AMSafiulina@bochvar.ru
119991, Moscow, Russia
G. V. Bodrin
Nesmeyanov Institute of Organoelement Compounds, Russian Academy of Sciences
Email: AMSafiulina@bochvar.ru
119334, Moscow, Russia
E. I. Goryunov
Nesmeyanov Institute of Organoelement Compounds, Russian Academy of Sciences
Email: AMSafiulina@bochvar.ru
119334, Moscow, Russia
I. B. Goryunova
Nesmeyanov Institute of Organoelement Compounds, Russian Academy of Sciences
Email: AMSafiulina@bochvar.ru
119334, Moscow, Russia
V. K. Brel’
Nesmeyanov Institute of Organoelement Compounds, Russian Academy of Sciences
Email: AMSafiulina@bochvar.ru
119334, Moscow, Russia
I. G. Tananaev
Kola Scientific Center, Russian Academy of Sciences; Tananaev Institute of Chemistry and Technology of Rare Elements and Mineral Raw Materials, Kola Scientific Center, Russian Academy of Sciences; Far Eastern Federal University
Author for correspondence.
Email: AMSafiulina@bochvar.ru
184209, Apatity, Russia; 184209, Apatity, Russia; 690090, Vladivostok, Russia
References
- Assessment of partitioning processes for transmutation of actinides IAEA. Vienna, 2010 IAEA-TECDOC-1648. 96 p.
- Зильберман Б.Я., Пузиков Е.А., Рябков Д.В. и др. // Атомная энергия. 2009. Т. 107. № 5. С. 273. https://doi.org/10.1007/s10512-010-9233-z
- Ion Exchange and Solvent Extraction: A Series of Advances / Ed. Moyer. B.A. N.Y.: CRCPress, 2010. V. 19. 673 p.
- Розен А.М. // Рос. хим. журн. Журн. Рос. хим. об-ва им. Д.И. Менделеева. 1996. Т. 40. № 6. С. 42.
- Мастрюкова Т.А., Артюшин О.И., Одинец И.Л., Тананаев И.Г. // Рос. хим. журн. Журн. Рос. хим. об-ва им. Д.И. Менделеева. 2005. № 2. С. 86.
- Розен А.М., Крупнов Б.В. // Успехи химии. 1996. Т. 65. № 11. С. 1052.
- Matveev P., Mohapatra P.K., Kalmykov S.N. et al. // Solvent Extr. Ion Exch. 2020. P. 679. https://doi.org/10.1080/07366299.2020.1856998
- Медведь Т.Я., Чмутова М.К., Нестерова Н.П. и др. // Изв. АН СССР. Сер. хим. 1981. № 9. С. 2112.
- Chmutova M.K., Kochetkova N.E., Koiro O.E. et al. // J. Radioanal. Chem. 1983. V. 80. № 1–2. P. 63. https://doi.org/10.1007/BF02517648
- Myasoedov B.F., Chmutova M.K., Kochetkova N.E. et al. // Solv. Extr. Ion Exch. 1986. № 4. P. 61. https://doi.org/10.1080/07366298608917853
- Litvina M.N., Chmutova M.K., Kulyako Yu.M., Myasoedov B.F. // Radiochemistry. 2001. V. 43. № 1. P. 66. https://doi.org/10.1023/A:1012878106998
- Шарова Е.В., Артюшин О.И., Одинец И.Л. // Успехи химии. 2014. Т. 83. № 2. С. 95.
- Татаринов Д.А., Миронов В.Ф., Костин А.А. и др. // Журн. общ. химии. 2010. Т. 80. № 7. С. 1211.
- Бодрин Г.В., Горюнов Е.И., Горюнова И.Б. и др. // Докл. АН. 2012. Т. 447. № 4. С. 401.
- Горюнов Е.И., Бодрин Г.В., Горюнова И.Б. и др. // Изв. АН. Сер. хим. 2013. № 3. С. 779.
- Сафиулина А.М., Матвеева А.Г., Лизунов А.В. и др. // Докл. АН. 2015. Т. 460. № 6. С. 673.
- Сафиулина А.М., Борисова Н.Е., Лизунов А.В. и др. // Журн. неорган. химии. 2022. Т. 67. № 4. С. 513.
- Елистратова Ю.Г., Мустафина А.Р., Татаринов Д.А. и др. // Изв. АН. Сер. хим. 2011. № 5. С. 779.https://doi.org/10.1007/s11172-011-0126-7
- Матвеева А.Г., Горюнов Е.И., Ту А.М. и др. // Изв. АН. Сер. хим. 2014. № 11. С. 2493.
- Матвеева А.Г., Ту А.М., Сафиулина А.М. и др. // Изв. АН. Сер. хим. 2013. № 6. С. 1309.
- Mazzotta S., Gramigna L., Bernardi L. et al. // Org. Proc. Res. Dev. 2010. V. 14. № 3. P. 687. https://doi.org/10.1021/op1000308
- Giguere R.J., Herberich B. // Synth. Commun. 1991. V. 21. № 21. P. 2197. https://doi.org/10.1080/00397919108055453
- Саввин С.Б. Органические реагенты группы арсеназо III. М.: Атомиздат, 1971. 352 с.
- Laikov D.N. // Chem. Phys. Lett. 2005. V. 416. № 1–3. P. 116. https://doi.org/10.1016/j.cplett.2005.09.046
- Laikov D.N. // Chem. Phys. Lett. 1997. V. 281. № 1–2. P. 151. https://doi.org/10.1016/S0009-2614(97)01206-2
- Perdew J.P., Burke K., Ernzerhof M. // Phys. Rev. Lett. 1996. V. 77. № 18. P. 3865. https://doi.org/10.1103/PhysRevLett.77.3865
- Perdew J.P., Burke K., Ernzerhof M. // Phys. Rev. Lett. 1997. V. 78. № 7. P. 1396. https://doi.org/10.1103/PhysRevLett.78.1396
- Сафиулина А.М., Матвеева А.Г., Дворянчикова Т.К. и др. // Изв. АН. Сер. хим. 2012. № 2. С. 390.
- Матвеева А.Г., Григорьев М.С., Дворянчикова Т.К. и др. // Изв. АН. Сер. хим. 2012. № 2. С. 397.
- Рейхардт К. Растворители и эффекты среды в органической химии. М.: Мир, 1991. 763 с.
- Babecki R., Platt A.W.G., Russell D.R. // Inorg. Chim. Acta. 1990. V. 171. № 1. P. 25. https://doi.org/10.1016/S0020-1693(00)84658-7
- Casellato U., Vigato P.A., Vidali M. // Coord. Chem. Rev. 1981. V. 36. № 3. P. 183. https://doi.org/10.1016/S0010-8545(00)80500-7
- McCabe D.J., Duesler E.N., Paine R.T. // Inorg. Chim. Acta. 1988. V. 147. № 2. P. 265. https://doi.org/10.1016/S0020-1693(00)83383-6
- Bowen S.M., Duesler E.N., Paine R.T. // Inorg. Chem. 1982. V. 21. № 1. P. 261. https://doi.org/10.1021/ic00131a048
- Bowen S.M., Duesler E.N., Paine R.T. // Inorg. Chim. Acta. 1982. V. 61. № 1. P. 155. https://doi.org/10.1016/S0020-1693(00)89134-3
Supplementary files






