Structure, Adsorptive and Photocatalytic Properties of Porous ZnO Nanopowders Modified by Oxide Compounds of Manganese
- Authors: Gavrilova M.A.1, Gavrilova D.A.1, Evstropiev S.K.1,2,3, Nikonorov N.V.2
-
Affiliations:
- Saint Petersburg State Institute of Technology (Technical University)
- ITMO University
- Vavilov State Optical Institute
- Issue: Vol 69, No 3 (2024)
- Pages: 385-393
- Section: STRUCTURE, MAGNETIC AND OPTICAL PROPERTIES OF MATERIALS
- URL: https://medbiosci.ru/0044-457X/article/view/262891
- DOI: https://doi.org/10.31857/S0044457X24030128
- EDN: https://elibrary.ru/YDSZAY
- ID: 262891
Cite item
Full Text
Abstract
Porous nanocomposites based on oxide compounds of zinc and manganese are synthesized and their structure, morphology, spectral and photocatalytic properties are studied. It is shown that the resulting porous oxide composites have photocatalytic properties and consist of ZnO, Mn3O4 and ZnMn2O4 nanocrystals with a size of 20–40 nm. The introduction of Mn2+ ions into the crystal lattice of ZnO causes a increase in the size of the unit cell of crystals. The band gap of the composites is 3.26 eV. The kinetics of photocatalytic decomposition in a Chicago Blue Sky dye solution is described by a pseudo-first order equation. In the presence of porous nanocomposites, the processes of oxidation of organic compounds proceed both on the surface of photocatalysts and in solution. The synthesized nanocomposites are promising for use in photocatalytic systems for water purification from organic contaminants.
Keywords
Full Text
ВВЕДЕНИЕ
В последние десятилетия во всем мире проводятся интенсивные исследования по разработке и изучению свойств оксидных фотокаталитических материалов. Эти материалы используются для очистки и обеззараживания воды, воздуха, в водородной энергетике при разложении воды на кислород и водород, в качестве антибактериальных покрытий, а также в других практических приложениях.
Механизм фотокаталитического эффекта и антибактериальной активности, которые проявляются в оксидных полупроводниках (TiO2, ZnO, SnO2 и др.), состоит из нескольких стадий [1–3]:
- под действием света в материале происходит генерация электронно-дырочных пар;
- электронно-дырочные пары взаимодействуют на поверхности полупроводника с адсорбированными молекулами воды и кислорода, что приводит к формированию химически активных форм кислорода (Reactive Oxygen Species, ROS) [4–9]: гидроксил- и пероксид-радикалов, синглетного кислорода;
- являясь сильными окислителями, ROS быстро разлагают органические соединения и разрушают болезнетворные микроорганизмы.
Адсорбция красителя на поверхности фотокатализатора является одной из важнейших стадий фотокаталитического процесса, в значительной мере определяющей его кинетику. Также по разложению красителя можно судить об эффективности фотокатализатора. Поэтому изучение кинетики адсорбции органических веществ на поверхности материалов являлось предметом многих исследований, посвященных фотокаталитическим процессам [3, 8–12].
Сильное влияние на фотокаталитическую активность оксидных материалов оказывает их морфология [3, 12–14]. Процессы формирования химически активных форм кислорода и их взаимодействие с адсорбированными органическими соединениями протекают на поверхности фотокатализаторов, и увеличение их удельной поверхности существенно усиливает фотокаталитические свойства материалов. Поэтому перспективным является использование наноразмерных оксидных фотокатализаторов, обладающих высокой удельной поверхностью. Пористые наноразмерные оксидные полупроводники обладают высокой адсорбционной емкостью, хорошими фотокаталическими и бактерицидными свойствами и очень эффективны для очистки водных сред от различных органических загрязнений [3, 9, 10, 14–17].
Известно, что оксид цинка и неорганические композиты на его основе являются одними из наиболее эффективных фотокатализаторов и обладают бактерицидными свойствами [8, 9, 14, 15, 18–24]. Однако ZnO является широкозонным полупроводником (ширина запрещенной зоны ~3.36–3.37 эВ [25]), что ограничивает его фотокаталитическую активность при облучении видимым светом. Кроме того, в однокомпонентных оксидных фотокатализаторах довольно интенсивно протекают процессы рекомбинации электронно-дырочных пар, что существенно снижает эффективность фотокатализа [26].
Использование фотокаталитических гетероструктур, состоящих из наночастиц различных полупроводниковых оксидов (ZnO–SnO2 [22, 26], ZnO–SnO2–Fe2O3 [8], ZnO–ZnMn2O4 [19]), позволяет уменьшить негативное влияние рекомбинационных процессов.
Оксидные соединения марганца также обладают фотокаталитическими свойствами [7, 19, 27, 28]. Модификация частиц ZnO ионами Mn2+ при золь-гель синтезе позволила авторам [23] существенно повысить их фотокаталитическую активность. Магнитные фотокатализаторы на основе легированного марганцем диоксида титана были описаны в [28].
Для формирования наноразмерных оксидных фотокатализаторов часто используют жидкостные методы синтеза: осаждение из растворов [27], золь-гель синтез [2, 15, 23], полимерно-солевой метод [8, 9, 14, 22] и др. [2, 16, 26].
Полимерно-солевой метод, основанный на использовании растворов солей металлов и растворимого органического полимера, является простым, экономичным и обеспечивает получение однородных дисперсных наноматериалов, обладающих высокими фотокаталитическими свойствами. Исследование возможности применения этого метода для формирования пористых фотокаталитических наноматериалов на основе оксида цинка, модифицированного оксидными соединениями марганца, и изучение особенностей их структуры и свойств являются актуальной задачей.
Цель настоящей работы – полимерно-солевой синтез пористых нанокомпозитов на основе оксидных соединений цинка и марганца и исследование их структуры, морфологии, спектральных и фотокаталитических свойств.
ЭКСПЕРИМЕНТАЛЬНАЯ ЧАСТЬ
В качестве исходных компонентов для полимерно-солевого синтеза материалов использовали водные растворы Zn(NO3)2, Mn(NO3)2 и растворимого органического полимера поливинилпирролидона (ПВП, Mw = 25000–35000). Этот полимер образует в растворах металлополимерные комплексы с ионами металлов [29, 30], что способствует последующему получению однородных материалов [31]. Кроме того, в процессе термообработки ПВП вступает в окислительно-восстановительную реакцию с нитратами металлов, которая сопровождается образованием газообразных продуктов, что способствует формированию пористых оксидных материалов [9, 14].
Растворы смешивали при комнатной температуре в определенных объемах с учетом заданного мольного соотношения Zn : Mn (табл. 1) и затем подвергали сушке при 70°С. Полученные полимерно-солевые композиты термообрабатывали при 550°С в течение 2 ч. Такой температурно-временной режим термообработки обеспечивает полное разложение солей металлов и поливинилпирролидона [32].
Таблица 1. Соотношение Zn : Mn в синтезированных образцах
Образец | Zn : Mn, мол. % |
ZnMn9 | 91 : 9 |
ZnMn17 | 83 : 17 |
ZnMn50 | 50 : 50 |
Кристаллическая структура полученных порошков была изучена методом рентгенофазового анализа с использованием рентгеновского дифрактометра Rigaku SmartLAB 3 (CuKα, 40 кВ, 44 мА, Япония). На основании данных рентгенофазового анализа проводили идентификацию фаз с использованием кристаллографической базы данных COD и расчет среднего размера частиц и величин деформаций кристаллических решеток методами Вильямсона–Холла и Халдер–Вагнера с применением программного обеспечения Rigaku SmartLAB Studio II.
Морфологию и элементный состав полученных композитов исследовали методами сканирующей электронной микроскопии и рентгеноспектрального микроанализа с использованием растрового электронного микроскопа TescanVega 3 SBH (Чехия), оснащенного приставкой рентгеноспектрального микроанализа Oxford INCA x-act (Великобритания).
Спектры диффузного отражения материалов были измерены с помощью спектрофотометра Perkin Elmer 900 UV/VIS/NIR (США).
Адсорбционные свойства полученных образцов исследовали в их суспензиях, полученных добавлением 0.0064 г порошка к 3 мл раствора красителя Chicago Sky Blue (Sigma Aldrich) с концентрацией 0.01 г/л и помещенных в кварцевую кювету. Эксперимент проводили без доступа света. Краситель Chicago Sky Blue (CSB) использовали ранее для оценки фотокаталитических свойств различных материалов [9, 11, 32]. В водных растворах красителя наблюдается интенсивная полоса поглощения с максимумом при λmax = 612 нм. В работе [11] была приведена экспериментально определенная зависимость оптической плотности водных растворов CSB на этой длине волны от концентрации красителя. В настоящей работе эта зависимость была использована для определения концентрации красителя в исследуемых растворах. Изменение концентрации красителя в ходе адсорбции на синтезированных порошках фиксировали с помощью спектрофотометра Perkin Elmer 900 UV/VIS/NIR.
Для оценки фотокаталитической активности полученных композитов аналогичные суспензии порошков подвергали воздействию света. В качестве источника излучения использовали узкополосный светодиод HРR40E (Тайвань) с максимумом длины волны при 405 нм. Расстояние между источником света и облучаемой кюветой составляло 7 см.
РЕЗУЛЬТАТЫ И ОБСУЖДЕНИЕ
Рентгенофазовый анализ
Данные рентгенофазового анализа показали существенное влияние добавок оксидных соединений марганца на кристаллическую структуру полученных порошков. На рис. 1 приведены рентгенограммы образцов композитов с различным содержанием марганца. На всех дифрактограммах хорошо видны пики гексагональных кристаллов оксида цинка (COD #9004181).
Рис. 1. Рентгенограммы порошков Zn (а) [9], ZnMn9 (б), ZnMn17 (в) и ZnMn50 (г).
В Mn-содержащих образцах наблюдаются пики тетрагональных кристаллов Mn3O4 (COD #1514121). Интенсивность пиков этих кристаллов возрастает с увеличением содержания марганца в материалах. Присутствие Mn3O4 в материалах указывает на частичное окисление ионов Mn2+ в процессе синтеза порошков. Аналогичное явление наблюдалось ранее в [33] при золь-гель синтезе Mn-содержащих композитов на основе оксида цинка.
Присутствие тетрагональных кристаллов ZnMn2O4 (COD #9012842) [34] в образцах ZnMn17 и ZnMn50 подтверждается наличием небольших пиков при 18.3°, 29.5°, 33.2° и 36.4°, соответствующих плоскостям (101), (112), (103) и (211). В образце ZnMn50 наблюдаются также слабые пики при 30.2° и 43.5°, соответствующие плоскостям (220) и (400) в кристаллах ZnMn2O4 [34].
В табл. 2 приведены результаты расчетов среднего размера частиц и величин деформаций кристаллических решеток методами Вильямсона–Холла и Халдер–Вагнера. Из этих данных видно, что увеличение содержания марганца в материалах слабо влияет на размер и величину деформаций кристаллов ZnO и Mn3O4 и приводит к росту формирующихся кристаллов ZnMn2O4.
Таблица 2. Расчетные значения среднего размера частиц и величин деформаций кристаллических решеток методами Вильямсона–Холла и Халдер–Вагнера в полученных порошках
Образец | Кристаллические фазы | Методы расчета | |||
Метод Вильямсона–Холла | Метод Халдер–Вагнера | ||||
размер кристаллов, нм | деформация решетки, ٪ | размер кристаллов, нм | деформация решетки, ٪ | ||
Zn [9] | ZnO | 35.5 | 0.066 | – | – |
ZnMn9 | ZnO | 36.0 | 0.147 | 37.4 | 0.230 |
Mn3O4 | 20.0 | 0.025 | 13.1 | 0 | |
ZnMn17 | ZnO | 36.9 | 0.168 | 29.3 | 0.191 |
Mn3O4 | 27.7 | 0.078 | 24.1 | 0.100 | |
ZnMn2O4 | 18.5 | 0.069 | 15.2 | 0 | |
ZnMn50 | ZnO | 36.3 | 0.189 | 33.9 | 0.184 |
Mn3O4 | 23.5 | 0.025 | 22.8 | 0 | |
ZnMn2O4 | 28.9 | 0.143 | 21.8 | 0 | |
В табл. 3 приведены данные о параметрах элементарных ячеек кристаллов ZnO в синтезированных оксидных композитах.
Таблица 3. Параметры элементарных ячеек кристаллов ZnO в синтезированных оксидных композитах
Образец | Параметры элементарной ячейки кристаллов ZnO | |||
a, Å | c, Å | c/a | V, Å3 | |
ZnO (COD #9004181) | 3.2533 | 5.2073 | 1.6006 | 47.730 |
Zn [9] | 3.2504 | 5.2066 | 1.6018 | 47.639 |
ZnMn9 | 3.2572 | 5.2148 | 1.6010 | 47.912 |
ZnMn17 | 3.2542 | 5.2143 | 1.6023 | 47.821 |
ZnMn50 | 3.2569 | 5.2335 | 1.6069 | 48.077 |
При вхождении ионов Mn2+ в структуру ZnO в [35] на рентгенограммах наблюдался сдвиг пиков этих кристаллов в сторону меньших значений 2θ. Это связано с расширением элементарной ячейки ZnO при замещении ионов Zn2+ (ионный радиус 0.74 Å) на бо`льшие по размеру ионы Mn2+ (ионный радиус 0.83 Å). При внедрении в ZnO меньших по размеру ионов Mn3+ (ионный радиус 0.65 Å) в [35] наблюдался сдвиг пиков ZnO в область бóльших значений 2θ, что отражает уменьшение размеров элементарной ячейки кристаллов.
Результаты, приведенные в [35], и полученные нами данные о параметрах элементарной ячейки кристаллов ZnO (табл. 3) позволяют предположить внедрение ионов Mn2+ в кристаллическую решетку этих кристаллов.
Электронно-микроскопический анализ и химический состав полученных композитов
По данным рентгеноспектрального микроанализа, химический состав всех синтезированных композитов близок к стехиометрическому (табл. 4).
Таблица 4. Химический состав полученных образцов ZnMn9, ZnMn17 и ZnMn50
Образец | Элементный состав, ат. % | |
Zn | Mn | |
ZnMn9 | 91.6 ± 0.1 | 8.4 ± 0.1 |
ZnMn17 | 84.3 ± 0.1 | 15.7 ± 0.1 |
ZnMn50 | 50.3 ± 0.1 | 49.7 ± 0.1 |
На рис. 2 представлены электронно-микроскопические снимки синтезированных порошков ZnMn9, ZnMn17 и ZnMn50. Видно, что полученные материалы являются пористыми, при этом размер пор во всех образцах варьируется от 0.2 до 5 мкм. Такая структура нанокомпозитов обеспечивает эффективное взаимодействие внешней среды (воздуха или водных сред) с поверхностью полупроводникового материала, что является важным для фотокаталитических процессов.
Рис. 2. Электронно-микроскопические снимки синтезированных порошков ZnMn9 (а, г), ZnMn17 (б, д) и ZnMn50 (в, е).
Оптические спектры диффузного отражения и ширина запрещенной зоны
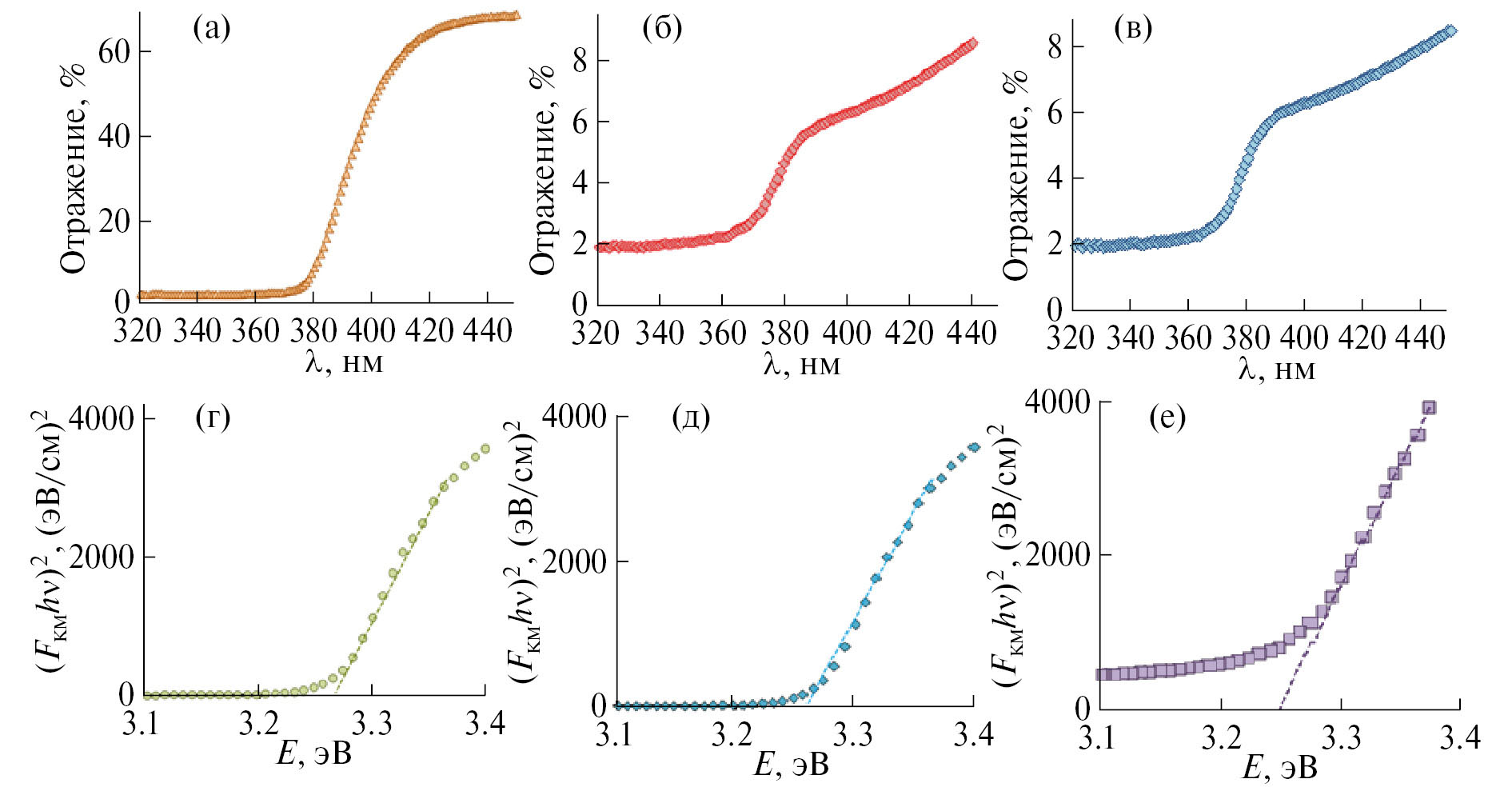
На рис. 3а–3в приведены спектры диффузного отражения от поверхности порошков Zn [9], ZnMn9 и ZnMn17. Видно, что для всех порошков резкое уменьшение отражения наблюдается при λ < 380 нм, что обусловлено поглощением света кристаллами оксида цинка в УФ-области спектра. Сравнение спектров отражения материалов в области 400–440 нм показывает, что композиты ZnMn9 и ZnMn17 характеризуются значительно меньшим отражением, чем порошок Zn. Это объясняется увеличением поглощения света в композитах, содержащих оксидные соединения цинка и марганца, по сравнению с чистым оксидом цинка, что наблюдалось ранее в работе [34].
Рис. 3. Спектры диффузного отражения (а, б, в) и рассчитанные на основании их зависимости (FKM hí)2 = f(hí) для образцов Zn (а, г), ZnMn9 (б, д) и ZnMn17 (в, е).
Для анализа спектров была использована функция Кубелки–Мунка, FKM:
(1)
где R – величина диффузного отражения материала, измеренная относительно абсолютно белого тела.
Значения ширины запрещенной зоны в синтезированных материалах были рассчитаны на основании полученных значений FKM с использованием уравнения Таука [36]:
(FKM · hí)2 = A ∙ (hí – Eg), (2)
где hν – энергия фотонов, Eg – величина ширины запрещенной зоны, A – постоянная. Построение графиков (FKM ∙ hí)2 = f(hí) использовалось для определения значений Eg.
Зависимости (FKM ∙ hí)2 = f(hí) для образцов Zn, ZnMn9 и ZnMn17 приведены на рис. 3г–3е. Для всех материалов значения Eg составляют 3.25–3.26 эВ, что близко к значению ширины запрещенной зоны ZnO (3.27 эВ) [25].
Адсорбция и фоторазложение красителя на поверхности нанокомпозитов
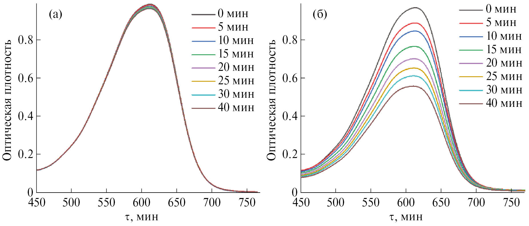
Рис. 4 иллюстрирует изменения спектров поглощения красителя в растворах в процессе их облучения синим светом (λ = 405 нм). Облучение слабо изменяет спектр поглощения раствора, не содержащего фотокатализатора (рис. 4а). Добавка композита ZnMn9 в раствор существенно ускоряет разложение красителя при облучении (рис. 4б).
Рис. 4. Влияние облучения синим светом на спектры поглощения растворов красителя Chicago Sky Blue без добавок фотокатализатора (а), с добавкой композита ZnMn9 (б).
Кинетические зависимости фоторазложения красителя в растворе без добавок фотокатализаторов (кривая 1), а также в растворах, содержащих синтезированные нами композиты (кривые 2–4), показаны на рис. 5а. Из рисунка видно, что после 40 мин облучения концентрация красителя в растворах, содержащих добавки синтезированных композитов, снижается на 30–35%.
Рис. 5. а) Кинетические зависимости фоторазложения красителя в растворе без добавок фотокатализаторов (1), а также в растворах, содержащих композиты ZnMn9 (2), ZnMn17 (3) и ZnMn50 (4); б) Кинетические зависимости адсорбции красителя на поверхности композитов ZnMn9 (1); ZnMn17 (2); ZnMn50 (3).
Кинетика фотокаталитического разложения красителей в растворах часто описывается моделью Ленгмюра–Хиншелвуда [8, 9, 37] и при низкой концентрации красителей (C << 10–3 моль/л) аппроксимируется уравнением псевдопервого порядка:
–ln(C/C0) = kô, (3)
где С и С0 – текущая и начальная концентрация красителя, τ – время (мин), k – константа скорости фоторазложения. Из данных, приведенных на рис. 5а, видно, что уравнение (4) удовлетворительно (коэффициент детерминации R2 > 0.9) описывает кинетику разложения красителя при использовании всех синтезированных нами композитов.
Из данных, представленных на рис. 5а, видно, что скорость фотокаталитического разложения красителя несколько уменьшается при увеличении содержания в композите соединений марганца. Так, константа скорости фоторазложения k составляет 0.012 мин–1 для композита ZnMn9 и уменьшается до 0.010 мин–1 для композита ZnMn50. Это небольшое уменьшение может быть связано как с меньшей скоростью адсорбции красителя на поверхности композитов с высоким содержанием соединений марганца, так и с меньшей интенсивностью фотогенерации ими химически активных форм кислорода.
На рис. 5б приведены кинетические зависимости адсорбции красителя в течение 40 мин на поверхности синтезированных нанокомпозитов. Видно, что экспериментальные данные по кинетике адсорбции, полученные для различных композитов, близки и могут быть представлены одной кинетической кривой. Это может объясняться тем, что композиты имеют близкий химический состав и морфологию (рис. 2). Поэтому некоторое различие в кинетике фотокаталитического разложения красителя (рис. 5а) следует связывать с различием в процессах фотогенерации активных форм кислорода.
Сопоставление кинетических данных по фотокаталитическому разложению красителя (рис. 5а) и его адсорбции на поверхности композитов (рис. 5б) показывает, что процессы фотокатализа протекают быстрее, чем адсорбция. Это явление наблюдалось ранее в работах [8, 9, 11, 12, 38] и связано с тем, что молекулы красителя подвергаются окислению не только на поверхности фотокатализатора, но и в растворе. Полученные экспериментальные данные по фотокаталитическому разложению красителя CSB свидетельствуют о перспективности синтезированных композитов в системах очистки воды от органических загрязнений.
ЗАКЛЮЧЕНИЕ
Полимерно-солевым методом синтезированы пористые композиты, состоящие из нанокристаллов оксида цинка и оксидных соединений марганца. Исследована их структура, морфология, спектральные и фотокаталитические свойства. Показано, что полученные пористые оксидные композиты состоят из нанокристаллов ZnO, Mn3O4 и ZnMn2O4, имеющих размер 20–40 нм. Ширина запрещенной зоны этих материалов близка к величине запрещенной зоны ZnO и составляет ~3.26 эВ. На примере фоторазложения красителя Chicago Blue Sky продемонстрировано, что полученные нанокомпозиты обладают фотокаталитическими свойствами. Это свидетельствует о том, что синтезированные нанопорошки системы ZnO–ZnMn2O4 перспективны для применения в медицине в качестве антибактериальных материалов, в фотокаталитических системах очистки воды и воздуха от органических загрязнений, а также в процессах разложения воды на кислород и водород для водородной энергетики.
ФИНАНСИРОВАНИЕ РАБОТЫ
Настоящая работа поддержана грантом РНФ № 20-19-00559.
КОНФЛИКТ ИНТЕРЕСОВ
Авторы заявляют об отсутствии конфликта интересов.
About the authors
M. A. Gavrilova
Saint Petersburg State Institute of Technology (Technical University)
Author for correspondence.
Email: amonrud@yandex.ru
Russian Federation, Saint Petersburg
D. A. Gavrilova
Saint Petersburg State Institute of Technology (Technical University)
Email: amonrud@yandex.ru
Russian Federation, Saint Petersburg
S. K. Evstropiev
Saint Petersburg State Institute of Technology (Technical University); ITMO University; Vavilov State Optical Institute
Email: amonrud@yandex.ru
Russian Federation, Saint Petersburg; Saint Petersburg; Saint Petersburg
N. V. Nikonorov
ITMO University
Email: amonrud@yandex.ru
Russian Federation, Saint Petersburg
References
- Byrne C., Subramanian G., Pillai S.C. // J. Environ. Chem. Eng. 2018. V. 6. P. 3531. https://dx.doi.org/10.1016/j.jece.2017.07.080
- Ge J., Zhang Y., Heo Y.-J. et al. // Catalysts. 2019. V. 9. P. 122. https://doi.org/10.3390/catal9020122
- Haleem A., Shafiq A., Chen S.-Q. et al. // Molecules. 2023. V. 28. P. 1081. https://doi.org/10.3390/molecules28031081
- Li Y., Zhang W., Niu J. et al. // ACS Nano. 2012. V. 6. P. 5164. https://doi.org/10.1021/nn300934k
- Turchi C.S., Ollis D.F. // J. Catal. 1990. V. 122. P. 178.
- Hayyan M., Hashim M.A., Al Nashef I.M. // Chem. Rev. 2016. V. 116. P. 3029.
- Belousov A.S., Suleimanov E.V., Parkhacheva A.A. et al. // Solid State Sci. 2022. V. 132. P. 106997. https://doi.org/10.1016/j.solidstatesciences.2022.106997
- Khomutinnikova L., Evstropiev S., Meshkovskii I. et al. // Ceramics. 2023. V. 6. P. 886. https://doi.org/10.3390/ceramics6020051
- Gavrilova M., Gavrilova D., Evstropiev S. et al. // Ceramics. 2023. V. 6. P. 1667. https://doi.org/10.3390/ceramics6030103
- Lin Y.-H., Weng C.-H., Tseng J.-H. et al. // Int. J. Photoenergy. 2016. V. 2016. P. 3058429. https://doi.org/10.1155/2016/3058429
- Саратовский А.С., Булыга Д.В., Евстропьев С.К. и др. // Физика и химия стекла. 2022. Т. 48. № 1. С. 16.
- Wang T., Tian B., Han B. et al. // Energy & Environ. Mater. 2022. V. 5. P. 711. https://doi.org/10.1002/eem2.12229
- Sun Y., Chen L., Bao Y. et al. // Catalysts. 2016. V. 6. P. 188. https://doi.org/10.3390/catal6120188
- Shelemanov A.A., Evstropiev S.K., Karavaeva A.V. et al. // Mater. Chem. Phys. 2022. V. 276. P. 125204. https://doi.org/10.1016/j.matchemphys.2021.125204
- Pall B., Sharon M. // Mater. Chem. Phys. 2002. V. 76. P. 82. https://doi.org/10.1016/S0254-0584(01)00514-4
- Ferreira S.H., Morais M., Nunes D. et al. // Materials. 2021. V. 14. № 9. P. 2385. https://doi.org/10.3890/ma14092385
- Liu D., Lv Y., Zhang M. et al. // J. Mater. Chem. A. 2014. V. 2. P. 15377.
- Deng H., Fei X., Yang Y. et al. // Chem. Eng. J. 2021. V. 409. P. 127377. https://doi.org/10.1016/j.cej.2020.127377
- Alhaddad M., Mohamed R.M. // Appl. Nanosci. 2020. V. 10. P. 2269. https://doi.org/10.1007/s13204-020-01359-1
- Титов В.В., Лисаченко А.А., Акопян И.Х. и др. // Физика тв. тела. 2019. Т. 61. № 11. С. 2158.
- Das A., Malakar P., Nair R.G. // Mater. Lett. 2018. V. 219. P. 76.
- Evstropiev S.K., Lesnykh L.V., Karavaeva A.V. et al. // Chem. Eng. Process. 2019. V. 142. P. 107587.
- Ullah R., Dutta J. // J. Hazard. Mater. 2008. V. 156. P. 194. https://doi.org/10.1016/j.jhazmat.2007.12.033
- Бакина О.В., Чжоу В.Р., Иванова Л.Ю. и др. // Журн. неорган. химии. 2023. Т. 68. № 3. С. 401. https://doi.org/10.31857/S0044457X22601249
- Morkoş H., Ozgür Ü. Zinc oxide: Fundamentals, Materials and Device Technology. Weinheim: Wiley-VCH, 2009. ISBN: 978-3-527-40813-9
- Zhu L., Hong M., Ho G.W. // Sci. Rep. 2015. V. 5. P. 11609. https://doi.org/10.1038/srep11609
- Qiu M., Chen Z., Yang Z. et al. // Catal. Sci. Technol. 2018. V. 8. № 10. P. 2557. https://doi.org/10.1039/C8CY00436F
- Железнов В.В., Ткаченко И.А., Зиатдинов А.М. и др. // Журн. неорган. химии. 2023. Т. 68. № 1. С. 105. https://doi.org/10.31857/S0044457X22100518
- Волкова Н.А., Евстропьев С.К., Никоноров Н.В. и др. // Опт. и спектр. 2019. Т. 127. Вып. 4. С. 687.
- Naseri M., Dehzangi A., Kamari H.M. et al. // Metals. 2016. V. 6. № 8. P. 181.
- Koczkur K.M., Mourdikoudis S., Polavarapu L. // Dalton Trans. 2015. V. 44. № 41. P. 17883.
- Evstropiev S.K., Karavaeva A.V., Dukelskii K.V. // Ceram. Int. 2018. V. 44. P. 9091. https://doi.org/10.1016/j.ceramint.2018.02.116
- Deraz N.M. // Acta Phys. Pol. 2019. V. 136. № 1. P. 1460.
- Sambandam B., Michael R.J.V., Manoharan P.T. // Nanoscale. 2015. V. 7. P. 13935. https://doi.org/10.1039/CSNR02666K
- Sebayang K., Aryanto D., Simbolon S. // IOP Conf. Series: Mater. Sci. Eng. 2018. V. 309. P. 012119. https://doi.org/10.1088/1757-899X/309/1/012119
- Tauc J., Grigorovici R., Vancu A. // Phys. Status Solidi. 1966. V. 15. P. 627.
- Агафонов А.В., Редозубов А.А., Козик В.В. и др. // Журн. неорган. химии. 2015. Т. 60. № 8. С. 1001.
- El Mouchtari E.M., Bahsis L., El Mersly L. et al. // Int. J. Environ. Res. 2021. V. 15. P. 135. https://doi.org/10.1007/s41742-020-00300-2
Supplementary files







