Synthesis of ferromagnetic alloys of the InSb–Ni2–yMnSb system (y = 0; 1)
- Authors: Pashkova O.N.1, Oveshnikov L.N.2, Ril A.I.1, Dmitryakov P.V.2, Sanygin V.P.1
-
Affiliations:
- Kurnakov Institute of General and Inorganic Chemistry, Russian Academy of Sciences
- National Research Center ‘‘Kurchatov Institute’’
- Issue: Vol 69, No 7 (2024)
- Pages: 956-963
- Section: СИНТЕЗ И СВОЙСТВА НЕОРГАНИЧЕСКИХ СОЕДИНЕНИЙ
- URL: https://medbiosci.ru/0044-457X/article/view/274209
- DOI: https://doi.org/10.31857/S0044457X24070027
- EDN: https://elibrary.ru/XOPMOR
- ID: 274209
Cite item
Full Text
Abstract
Composite alloys of the InSb–Ni2–yMnSb system (y = 0, 1) have been synthesized. According to X-ray diffraction data, all samples contained a ferromagnetic phase based on the NiMnSb compound in the form of nano-sized inclusions and agglomerates with characteristic sizes of 50-90 nm and Curie temperature Tc = 727–732 K. Absence of the Ni2MnSb phase in the sample (InSb)100–x (Ni2MnSb)x (x = 5) indicates its instability when alloyed with InSb.
Keywords
Full Text
ВВЕДЕНИЕ
Интерес к исследованиям композитов, состоящих из ферромагнитных кластеров, встроенных в полупроводниковые матрицы, связан с тем, что на основе таких систем разрабатываются элементы принципиально нового направления микроэлектроники – спинтроники. Уникальная структура таких материалов, когда в сплошной среде сосуществуют две различные фазы, причем одна из них в виде отдельных частиц нанометрового размера, приводит к появлению интересных магнитных, электрических, магниторезистивных и других свойств [1–3]. Например, отрицательное магнетосопротивление, аномальный эффект Холла в полупроводниковых матрицах GaAs, ZnSnAs2 и других обусловливаются ферромагнитными кластерами MnAs [4–6]. Большое положительное магнетосопротивление (>600%) при комнатной температуре наблюдали в гранулированной тонкой пленке GaAs с внедренными в нее ферромагнитными кластерами MnAs [7]. В работах [8–10] приводятся экспериментальные данные, подтверждающие наличие в In1−xMnxSb спин-поляризованного тока, который является необходимым условием для создания новых элементов спинтроники. Однако свойства этих композитных материалов зависят от способа их получения, химического состава и размера кластеров, их распределения по объему образца и свойств границы раздела.
В данной работе в качестве материала матрицы использовали полупроводниковое соединение InSb с ферромагнитными включениями сплавов Гейслера.
Сплавы Гейслера обладают различными функциональными свойствами, в том числе выраженными магнетосопротивлением и магнетокалорическим эффектом, эффектом памяти формы, обменным смещением, а также характеризуются температурой Кюри выше комнатной [11, 12]. Ряд сплавов имеют как металлические свойства (сплавы типа X2YZ), так и полуметаллические свойства (сплавы типа XYZ). При этом предметом активных исследований является случай ферромагнитного полуметалла (half-metal), в котором за счет сильного расщепления спиновых подзон на уровне Ферми оказывается заполнена только одна из них, что должно проявляться в металлической проводимости со 100%-ной спиновой поляризацией носителей.
Полусплав Гейслера NiMnSb – ферромагнетик с высокими значениями температуры Кюри (Tс = 728–743 K) и спиновой поляризации – рассматривается как перспективный материал для инжекции спин-поляризованных электронов в полупроводник [13–16]. Соединение Ni2MnSb – ферромагнетик с температурой Кюри Tс = 368 K [17].
Другой важной причиной выбора сплавов Гейслера системы Ni–Mn–Sb является их сходство со структурой цинковой обманки, которое делает их совместимыми с полупроводниками АIIIBV. В результате появляются условия для плавного перехода решетки матрицы в решетку фазы включения (сплава Гейслера). Расчеты электронной структуры показывают возможность сохранения высокой степени спиновой поляризации на границах раздела между сплавами Гейслера XYZ и X2YZ и полупроводниками AIIIBV [18–20], а спиновая инжекция на границе раздела ферромагнетик–полупроводник может быть более эффективной при использовании узкозонных полупроводников, таких как InSb и InAs [21].
Таким образом, композиты InSb–NiMnSb и InSb–Ni2MnSb представляют интерес как с фундаментальной, так и с прикладной точки зрения. В данной работе приведены результаты исследований их фазового состава, структуры и магнитного отклика.
ЭКСПЕРИМЕНТАЛЬНАЯ ЧАСТЬ
Композитные материалы были синтезированы в два этапа.
На первом этапе из высокочистых элементов синтезировали прекурсоры композитных материалов – соединения NiMnSb и Ni2MnSb.
В литературных источниках описывается способ получения соединения NiMnSb стехиометрического состава методом дуговой плавки исходных компонентов в атмосфере аргона [13, 15, 22]. Рентгенофазовый анализ (РФА) полученных таким образом образцов показал присутствие от 2 до 17% NiSb в качестве второй фазы, которая также была обнаружена с помощью сканирующей электронной микроскопии. Длительный отжиг при температурах 750–900°С ненамного уменьшал лишь интенсивность рефлексов NiSb. Добавление 3–5%-ного избытка Mn в исходную порошковую смесь и последующий отжиг в сверхвысоком вакууме при температурах 700–850°С в течение 50–150 ч позволяют получить однофазные образцы [22, 23]. В работе [24, 25] соединение Ni2MnSb синтезировали из соответствующих элементов при 850°С с последующей закалкой в воде. Полученные дифрактограммы указывали на то, что образцы находились в однофазном состоянии.
Ввиду технической невозможности применения метода дуговой плавки был использован метод синтеза сплавов твердофазной реакцией компонентов Mn, Ni, Sb, взятых в соответствующих весовых соотношениях, в вакуумированных кварцевых ампулах. Путем изменения температуры синтеза и скорости охлаждения сплавов был определен оптимальный режим, который представлял собой нагрев смеси со скоростью 50 град/ч до температуры t = 1050°С, выдержку при этой температуре в течение 12 ч и медленное охлаждение вместе с печью со скоростью ~50 град/ч.
На втором этапе получали композитные материалы непосредственным сплавлением InSb (Тпл = 798 K) марки ИСЭ-2 “в” и прекурсоров NiMnSb с 5%-ным избытком Mn или Ni2MnSb в вакуумированных кварцевых ампулах, вес шихты составлял 8 г. Для гомогенизации расплав нагревали до 850°С, выдерживали в течение 2 сут, а затем закаливали в ледяной воде. В результате были получены поликристаллические образцы InSb c различным содержанием NiMnSb и Ni2MnSb.
Исследования методом РФА были проведены в Центре коллективного пользования ИОНХ РАН на дифрактометре D8 Advance (Bruker, США) с медным анодом (излучение CuKα, λX = 0.1540 нм) при U = 40 кВ и I = 40 мА. Дифрактограммы снимали с шагом 0.013°–0.020° в диапазоне 2θ = 10°–90°. Время выдержки в каждой точке составляло 1 с. Обработку полученных дифрактограмм проводили в программных средах Diffrac.Suite EVA и Topas (Bruker, США), а идентификацию кристаллических фаз – по данным базы ICDD PDF-2. Расчет параметров решетки проводили аналитически на основе положения отдельных пиков, после чего результаты усредняли по набору пиков каждой фазы. Полученные усредненные значения параметров решетки хорошо согласуются со значениями, полученными при расчете по всему ансамблю пиков каждой фазы в программной среде FullProfSuite.
Исследование магнитного отклика проводили методом термогравиметрического анализа (ТГА) с помощью анализатора PerkinElmer Pyris1TGA. Точность измерения температуры составляла ±2 K, точность определения массы ±1 мкг. Измерения проводили в динамическом режиме при нагреве образца в диапазоне 323–830 K со скоростью 10 град/мин в токе азота 200 мл/мин. Было проведено две серии измерений: стандартных (для подтверждения термостабильности образцов в данном диапазоне) и при помещении образца в постоянное магнитное поле (после предварительного взвешивания образца снаружи к печи с образцом прикрепляли внешний постоянный магнит, создающий поле вблизи образца порядка 100 Э, ось магнита при этом оказывалась ниже положения образца). В этом случае воздействие магнита на образец приводило к появлению дополнительной фиктивной массы, определяемой магнитными свойствами образца (так, ферромагнитный образец притягивается в сторону оси магнита, что в данной геометрии эксперимента приводит к увеличению массы). За 100% принимали массу образца, определенную взвешиванием после установки магнита. Изменение массы при нагреве позволяло оценить температуру Кюри как конечную точку ступенчатого спада фиктивной массы. Данный метод определения температуры Кюри используется при проведении температурной калибровки анализатора.
РЕЗУЛЬТАТЫ И ОБСУЖДЕНИЕ
Состав композитных образцов указан в табл. 1. Поскольку основной фазой в композитах является InSb, первоначальной задачей рентгенодифракционных исследований являлась оценка влияния примеси магнитной компоненты на структуру полупроводниковой матрицы. Так, на рис. 1а представлены дифрактограммы исследуемых композитов А1–А3 в сравнении с референсными данными для порошка прекурсора InSb, используемого при синтезе композитов. Для удобства сравнения интенсивности всех пиков были отнормированы на значение для наиболее интенсивного наблюдаемого пика InSb. Стоит отметить, что для прекурсора InSb наиболее интенсивным оказывается пик (220) InSb (2θc ~ 39.3°), примерно в два раза интенсивнее, чем пик (111) InSb (2θc ~ 23.8°), что согласуется с типичным видом порошковых дифрактограмм InSb [26]. Однако для образцов А1–А3 интенсивности этих пиков оказываются почти равными. Такое поведение может указывать на отличия в ориентации зерен InSb, однако это представляется несущественным фактором, поскольку в литературе присутствует масса примеров подобного перераспределения интенсивностей как для объемных кристаллов [27, 28], так и для наноструктур InSb [29].
Таблица 1. Структурные данные основных кристаллических фаз для исследуемых образцов и прекурсоров
Образец | Состав исходной шихты | Фаза a, Å | ||
InSb | NiMnSb | Ni2MnSb | ||
InSb | InSb | 6.4797 ± 0.0003 | – | – |
A1 | 98 мол. % InSb + 2 мол. % NiMn1.05Sb | 6.4791 ± 0.0004 | 5.9450 ± 0.0037 | – |
A2 | 95 мол. % InSb + 5 мол. % NiMn1.05Sb | 6.4796 ± 0.0006 | 5.9264 ± 0.0016 | – |
A3 | 95 мол. % InSb + 5 мол. % Ni2MnSb | 6.4785 ± 0.0003 | 5.9353 ± 0.0030 | – |
NiMnSb | NiMn1.05Sb | – | 5.9292 ± 0.0009 | – |
Ni2MnSb | Ni2MnSb | – | – | 6.0185 ± 0.0016 |
Рис. 1. Дифрактограммы композитов А1–А3 в сравнении с референсными данными для порошка прекурсора InSb (а). Звездочками обозначены области возникновения дополнительных пиков в композитных образцах. Увеличенные области пиков (111) InSb (б) и (531) InSb (в) для исследуемых образцов, показывающие отсутствие значимого смещения по оси 2θ.
Как видно из рис. 1а, для всех образцов в диапазоне 2θ = 20°–90° наблюдается девять отчетливых пиков, характерных для фазы InSb. При этом положения крайних пиков в рассмотренном диапазоне углов: (111) InSb (рис. 1б) и (531) InSb (рис. 1в) фактически не меняются, что подразумевает отсутствие заметной вариации параметра решетки соответствующей фазы. Поскольку кристаллические решетки фаз InSb, NiMnSb и Ni2MnSb обладают кубической симметрией, величину параметра ячейки a можно аналитически рассчитать из положения каждого индивидуального пика соответствующей фазы. Полученные значения a, усредненные по набору пиков, приведены в табл. 1. Видно, что различия в величине a для фазы InSb оказываются не более 0.001 Å, что с высокой точностью указывает на сохранение структурных параметров матрицы InSb в композитных образцах. Тем не менее введение магнитной компоненты приводит к появлению дополнительных слабых пиков (звездочки на рис. 1а), указывающих на наличие дополнительных фаз в образце. Так, область малых интенсивностей полученных дифрактограмм для композитов А1–А3 представлена на рис. 2а.
Рис. 2. Дифрактограммы исследуемых композитов А1–А3 в области малых интенсивностей (а). Символами отмечены все наблюдаемые пики, не относящиеся к фазе InSb. Данные слабые пики могут быть проиндексированы в рамках фаз NiMnSb, NiSb, MnSb и In. Дифрактограммы прекурсоров NiMnSb и Ni2MnSb, используемых при росте композитных образцов (б).
Прежде чем проводить идентификацию дополнительных фаз в композитных образцах, проанализируем фазовый состав магнитных прекурсоров, использованных для их роста. Так, на рис. 2б представлены дифрактограммы прекурсоров NiMnSb и Ni2MnSb. Видно, что для обоих образцов наблюдается набор пиков, индексируемый в рамках кубической ячейки. При этом отчетливо видна разница в положении пиков для двух прекурсоров, связанных с однотипными плоскостями отражения (например, пики для плоскостей (220)). Как видно из табл. 1, параметр ячейки для NiMnSb получается равным a ~ 5.929 Å, что хорошо согласуется с литературным значением для поликристаллического NiMnSb [17]. В литературе величина a для стехиометрических кристаллов NiMnSb чаще всего принимается равной 5.920–5.924 Å [30–32], тем не менее в ряде работ сообщается как о меньших значениях a = 5.913 Å [16], так и о бόльших 5.927 [13] и 5.940 Å [33]. Однако причины подобного различия параметра решетки (до 0.5% величины) в этих работах подробно не обсуждаются. При этом было показано [33], что введение избытка Ni в систему NiMnSb приводит к увеличению параметра ячейки. Случай избытка марганца в объемных кристаллах NiMnSb подробно не рассмотрен, однако в эпитаксиальных пленках избыток Mn также приводит к росту параметра ячейки [34]. Таким образом, связать соответствующее отличие со специфическим составом навески оказывается невозможным. Стоит отметить, что на дифрактограмме для прекурсора NiMnSb (рис. 2б) видны следы парамагнитной фазы NiSb, что часто встречается при росте кристаллов NiMnSb [15, 22, 33]. В свою очередь, для прекурсора Ni2MnSb видны пики единственной фазы с параметром ячейки a ~ 6.019 Å, что также согласуется с литературными значениями для данного соединения [17, 31, 35].
Анализ пиков малой интенсивности в композитах А1–А3 (рис. 2а) позволяет идентифицировать несколько дополнительных фаз в исследуемых системах. Так, для образца А1 с минимальным содержанием магнитной компоненты можно видеть два слабых пика, соответствующих фазе NiMnSb, а также практически неразличимые следы фазы NiSb. Тем не менее при увеличении содержания магнитной компоненты фазовый состав образцов А2 и А3 оказывается качественно одинаковым. Так, кроме набора пиков фазы NiMnSb видны существенные пики парамагнитной фазы NiSb, слабый рефлекс, соответствующий фазе MnSb, а также пик чистого In, который заметно интенсивнее в образце А3. Однако отсутствие следов фазы Ni2MnSb в образце A3 указывает на ее нестабильность при сплавлении с InSb. Очевидно, фаза NiMnSb в образце А3 является более стабильной в рассматриваемой системе. Оценка параметров ячейки фазы NiMnSb (табл. 1) показывает, что по сравнению с прекурсором NiMnSb значения оказываются несколько выше, тем не менее примерно в рамках литературных значений [33]. Следует отметить, что при определении параметра a фазы NiMnSb в композитах присутствовала дополнительная погрешность, связанная с малой интенсивностью пиков (так, для образца А3 отклонение от параметров прекурсора оказывается не очень значимым). Важно отметить, что ввиду слабой интенсивности и малого числа наблюдаемых пиков фазы NiMnSb в композитных образцах подробный анализ формы данных пиков затруднен. Тем не менее можно провести простую оценку на основе формулы Дебая–Шеррера:
,
где D – средний размер области когерентного рассеяния, – форм-фактор (сферические зерна), β – ширина пика на полувысоте.
Так, ширина пика (220) NiMnSb в образце А3 составляет ~0.17° (в представлении 2θ), что соответствует D ~ 50 нм. С другой стороны, ширина аналогичного пика для прекурсора NiMnSb, а также ближайших пиков (220) InSb и (311) InSb в образце А3 оказывается в диапазоне 0.06°–0.07°, что соответствует значениям D ~ 130–150 нм. Одинаковая ширина сильных пиков, скорее всего, объясняется инструментальным уширением дифракционных линий, поэтому соответствующая оценка размера оказывается некорректной. С другой стороны, существенно большее значение β для пика (220) NiMnSb в образце А3 указывает на наличие дополнительного уширения пиков, связанного, в том числе, с уменьшением размера D. Поэтому можно предположить, что фаза NiMnSb в композитах А1–А3 присутствует в форме наноразмерных включений и агломератов с характерными размерами на уровне 50–90 нм.
Таким образом, из представленных результатов РФА следует, что магнитные свойства исследуемых композитов определяются, в первую очередь, включениями NiMnSb. Также возможен дополнительный вклад от следовых количеств фазы MnSb. Остальные детектируемые фазы (InSb, NiSb, In) являются немагнитными.
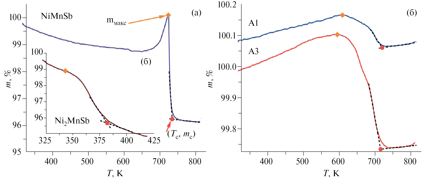
Магнитный отклик рассматриваемых образцов исследовали на установке ТГА. Чувствительность метода достаточно высокая для исследования тонких пленок магнитных материалов [36]. Результаты ТГА композитных образцов и прекурсоров в магнитном поле представлены на рис. 3, оцененные значения параметров собраны в табл. 2.
Рис. 3. Кривые ТГА в магнитном поле, полученные для прекурсоров NiMnSb (а) и Ni2MnSb (б), а также композитов А1 и А3 (в). Кривая образца A1 вертикально смещена на 0.1%.
Таблица 2. Результаты ТГА в магнитном поле: масса образца M, амплитуда изменения массы при переходе Δm, температура перехода Tc, оцененная по точке конца спада m(T)
Образец | M, мг | Δm, % | Tc, K |
NiMnSb | 43.68 | 3.86 | 746 |
Ni2MnSb | 16.04 | 3.22 | 386 |
A1 | 281.17 | 0.11 | 732 |
A3 | 325.71 | 0.37 | 727 |
Как видно из рис. 3а, для прекурсора NiMnSb повышение температуры приводит к резкому падению фиктивной массы, связанному с переходом из ферромагнитного в парамагнитное состояние. Этому предшествует образование заметного локального максимума с вершиной mмакс. Поскольку представленные кривые получены в слабом магнитном поле (существенно ниже области насыщения намагниченности), данный характер кривых указывает на особенности поведения магнитной подсистемы в предкритической области. Причины таких особенностей могут сильно различаться для разных материалов, а их установление является предметом отдельного анализа. Насколько нам известно, для NiMnSb подобный анализ не проводился. Однако поскольку NiMnSb не является строго изотропным магнитным материалом [37], одной из наиболее вероятных причин возникновения данного пика фиктивной массы (по сути, намагниченности) является реориентация оси легкого намагничивания по аналогии с MnSb [2, 36, 38]. Стандартным методом оценки температуры Кюри Tс из данных ТГА является определение точки конца перехода (endset), как это показано на рис. 3а (точка с координатами (Tс, mc)). Аналогичная процедура была проведена для кривых прекурсора Ni2MnSb (рис. 3б) и композитов А1 и А3 (рис. 3в). Из рис. 3в видно, что пик, связанный с реориентацией легкой оси, для композитных образцов сильно размыт, что согласуется с предположением о нанокристаллической форме фазы NiMnSb в данных образцах. Как видно из табл. 2, величина Tc для прекурсора Ni2MnSb хорошо согласуется с литературными значениями ~380–400 K [35]. В свою очередь, Tc для кристаллов NiMnSb обычно составляет ~728–733 K [13, 30, 31], поэтому наблюдаемые величины для прекурсора NiMnSb оказываются несколько больше, что можно связать с повышенным содержанием марганца. В композитах А1 и А3 Tc оказывается несколько меньше [31]. Представленные данные также показывают отсутствие различимого вклада, связанного с фазой MnSb, максимальное значение Tc для которого ограничивается 603 K [39]. Для образца А3 также не видно никаких низкотемпературных особенностей, которые бы указывали на сохранение фазы Ni2MnSb. Таким образом, показано, что магнитные свойства рассматриваемых композитных систем описываются исключительно фазой NiMnSb.
Также из рис. 3 видно, что относительная амплитуда кривых ТГА для композитов существенно меньше, чем для прекурсоров. Так, амплитуду изменения массы в области перехода можно оценить как Δm = mмакс – mc, соответствующие значения представлены в табл. 2. Видно, что для прекурсоров (доля магнитной фазы ~100%) величина Δm оказывается на уровне нескольких процентов, тогда как для композитов эта величина порядка 0.1%. Таким образом, содержание магнитной фазы в композитах как минимум на порядок меньше, чем в прекурсорах, что согласуется с номинальным содержанием магнитной фазы в образце. Стоит отметить, что по имеющимся данным нельзя провести более точную оценку, поскольку на разницу в величинах Δm влияют как различия в массах образцов, так и их геометрия. Тем не менее можно заключить, что доля включений ферромагнитной фазы NiMnSb в рассматриваемых композитах оказывается не выше 10 мас. %.
ЗАКЛЮЧЕНИЕ
Синтезированы поликристаллические образцы композитов (InSb)100–x(NiMnSb)x c x = 2, 5 мол. %, а также (InSb)100–x(Ni2MnSb)x c x = 5 мол. %. По данным РФА, введение магнитной компоненты не влияет на структуру полупроводниковой матрицы. Во всех образцах, кроме фазы NiMnSb, есть незначительные следы парамагнитной фазы NiSb, ферромагнитной фазы MnSb, а также чистого In. Отсутствие фазы Ni2MnSb в образце (InSb)100–x(Ni2MnSb)x указывает на ее нестабильность при сплавлении порошков InSb и Ni2MnSb. Магнитные свойства исследуемых композитов в основном определяются наноразмерными ферромагнитными включениями NiMnSb.
ФИНАНСИРОВАНИЕ РАБОТЫ
Синтез и структурные исследования образцов выполнены при финансовой поддержке Минобрнауки России в рамках государственного задания ИОНХ РАН. Исследования методом ТГА проводили в рамках выполнения государственного задания НИЦ “Курчатовский институт”.
КОНФЛИКТ ИНТЕРЕСОВ
Авторы заявляют, что у них нет конфликта интересов.
About the authors
O. N. Pashkova
Kurnakov Institute of General and Inorganic Chemistry, Russian Academy of Sciences
Author for correspondence.
Email: olg-pashkova@yandex.ru
Russian Federation, Moscow, 119991
L. N. Oveshnikov
National Research Center ‘‘Kurchatov Institute’’
Email: olg-pashkova@yandex.ru
Russian Federation, Moscow, 123182
A. I. Ril
Kurnakov Institute of General and Inorganic Chemistry, Russian Academy of Sciences
Email: olg-pashkova@yandex.ru
Russian Federation, Moscow, 119991
P. V. Dmitryakov
National Research Center ‘‘Kurchatov Institute’’
Email: olg-pashkova@yandex.ru
Russian Federation, Moscow, 123182
V. P. Sanygin
Kurnakov Institute of General and Inorganic Chemistry, Russian Academy of Sciences
Email: olg-pashkova@yandex.ru
Russian Federation, Moscow, 119991
References
- Мильвидский М.Г., Чалдышев В.В.// ФТП. 1998. Т. 32. № 5. С. 513.
- Oveshnikov L.N., Granovsky A.B., Jaloliddinzoda M. et al. // J. Magn. Magn. Mater. 2023. V. 565. P. 170242. https://doi.org/10.1016/j.jmmm.2022.170242
- Hai P.N., Takahashi K., Yokoyama M. et al. // J. Magn. Magn. Mater. 2007. V. 310. № 2. P. 1932. https://doi.org/10.1016/j.jmmm.2006.10.766
- Akinaga H., Borghs G., Miyanishi S. et al. // Appl. Phys. Lett. 1998. V. 72. № 25. P. 3368. https://doi.org/10.1063/1.121606
- Kilanski L., Fedorchenko I.V., Gorska M. et al. // J. Appl. Phys. 2015. V. 118. № 10. P. 103906. https://doi.org/10.1063/1.4930047
- Fedorchenko I.V., Kilanski L., Zakharchuk I. et al. // J. Alloys Compd. 2015. V. 650. P. 277. https://doi.org/10.1016/j.jallcom.2015.08.006
- Yokoyama M., Ogawa T., Nazmul A.M., Tanaka M. // J. Appl. Phys. 2006. V. 99. № 8. P. 08D502. https://doi.org/10.1063/1.2151817
- Panguluri R.P., Nadgorny B., Wojtowicz T. et al. // Appl. Phys. Lett. 2004. V. 84. № 24. P. 4947. https://doi.org/10.1063/1.1760883
- Peters J.A., Rangaraju N., Feeser C., Wessels B.W. // Appl. Phys. Lett. 2011. V. 98. № 19. P. 193506. https://doi.org/10.1063/1.3589987
- Kochura A.V., Aronzon B.A., Lisunov K.G. et al. // J. Appl. Phys. 2013. V. 113. № 8. P. 083905. https://doi.org/10.1063/1.4792652
- Du J., Zheng Q., Ren W.J. et al. // J. Phys. D: Appl. Phys. 2007. V. 40. № 18. P. 5523. https://doi.org/10.1088/0022-3727/40/18/001
- Sutou Y., Imano Y., Koeda N. et al. // Appl. Phys. Lett. 2004. V. 85. № 19. P. 4358. https://doi.org/10.1063/1.1808879
- Otto M.J., van Woerden R.A.M., van der Valkt P.J. et al. // J. Phys. Condens. Matter. 1989. V. 1. № 13. P. 2341. https://doi.org/10.1088/0953-8984/1/13/007
- Otto M.J., van Woerden R.A.M., van der Valkt P.J. et al. // J. Phys. Condens. Matter. 1989. V. 1. № 13. P. 2351. https://doi.org/10.1088/0953-8984/1/13/008
- Gardelis S., Androulakis J., Migiakis P. et al. // J. Appl. Phys. 2004. V. 95. № 12. P. 8063. https://doi.org/10.1063/1.1739293
- Helmholdt R.B., Groot R.A, Mueller F.M. et al. // J. Magn. Magn. Mater. 1984. V. 43. № 3. P. 249. https://doi.org/10.1016/0304-8853(84)90075-1
- Webster P.J., Mankikar R.M. // J. Magn. Magn. Mater. 1984. V. 42. № 3. P. 300. https://doi.org/10.1016/0304-8853(84)90113-6
- Еремеев С.В., Бакулин А.В., Кулькова С.Е. // ЖЭТФ. 2009. Т. 136. № 2. С. 393.
- Еремеев С.В., Кульков С.С., Кулькова С.Е. // ФТТ. 2008. Т. 50. № 2. С. 250.
- Galanakis I., Lezaik M., Bihlmayer G., Blugel S. // Phys. Rev. B. 2005. V. 71. № 21. P. 214431. https://doi.org/10.1103/PhysRevB.71.214431
- Autric M.L., Valerio E., Caminat P. et al. // Proceedings of SPIE – The International Society for Optical Engineering. 2004. V. 5448. P. 805. https://doi.org/10.1117/12.547119
- Wang F., Fukuhara T., Maezawa K. et al. // Jpn. J. Appl. Phys. 2010. Part 1. P. 025502. https://doi.org/10.1143/JJAP. 49.025502
- Maskery I., Burrows C., Walker M. et al. // J. Vac. Sci. Technol. B. 2016. V. 34. № 4. P. 041219. https://doi.org/10.1116/1.4953549
- Kanomata T., Kyujib S., Nashimaa O. et al. // J. Alloys Compd. 2012. V. 518. P. 19. https://doi.org/10.1016/j.jallcom.2011.12.120
- Szytula A., Kolodziejczyk A., Rzany H. et al. // Phys. Stat. Sol. (A). 1972. № 10. P. 57. https://doi.org/10.1002/pssa.2210110105
- Kolm C., Kulin S.A., Averbach B.L. // Phys. Rev. 1957. V. 108. № 4. P. 965. https://doi.org/10.1103/PhysRev.108.965
- Udayashankar N.K., Blat H.L. // Bull. Mater. Sci. 2001. V. 24. № 5. P. 445. https://doi.org/10.1007/BF02706714
- Al-Ani S.K.J., Obaid Y.N., Kasim S.J., Mahdi M.A. // Int. J. Nanoelectronics Mater. 2009. V. 2. № 1. P. 99.
- Zhou F., Moore A.L., Pettes M.T., Lee Y. et al. // J. Phys. D. Appl. Phys. 2010. V. 43. P. 025406. https://doi.org/10.1088/0022-3727/43/2/025406
- Szytula A., Dimitrijevic Z., Todorovic J. et al. // Phys. Stat. Sol. (A) 1972. V. 9. P. 97. https://doi.org/10.1002/pssa.2210090109
- Buschow K.H.J., Engen P.G., Jongebreur R. // J. Magn. Magn. Mater. 1983. V. 38. № 1. P. 22. https://doi.org/10.1016/0304-8853(83)90097-5
- Gardelis S., Androulakis J., Giapintzakis J. et al. // Appl. Phys. Lett. 2004. V. 85. № 15. P. 3178. https://doi.org/10.1063/1.1807026
- Govind B., Kumar A., Bano S. et al. // ACS Omega. 2020. V. 5. P. 11895. https://doi.org/10.1021/acsomega.9b03386
- Gerhard F., Schumacher C., Gould C., Molenkamp L.W. // J. Appl. Phys. 2014. V. 115. № 9. P. 094505. https://doi.org/10.1063/1.4867298
- Szytula A., Kolodziejczyk A., Rzany H. et al. // Phys. Stat. Sol. (A). 1972. V. 10. P. 57. https://doi.org/10.1002/pssa.2210110105
- Oveshnikov L.N., Zav’yalov S.A., Trunkin I.N. et al. // Scientific Rep. 2021. V. 11. P. 16004. https://doi.org/10.1038/s41598-021-95475-9
- Hordequin C., Pierre J., Currat R. // J. Magn. Magn. Mater. 1996. V. 162. № 1. P. 75. https://doi.org/10.1016/0304-8853(96)00074-1
- Novotortsev V.M., Kochura A.V., Marenkin S.F. et al. // Russ. J. Inorg. Chem. 2011. V. 56. № 12. P. 1951. https://doi.org/10.1134/S0036023611120400
- Teramoto I., A.M.J.G. Van Run // J. Phys. Chem. Solids 1968. V. 29. P. 347. https://doi.org/10.1016/0022-3697(68)90080-2
Supplementary files





