Hydrothermal Synthesis and Photocatalytic Prореrties of Iron-Doped Tungsten Oxide
- Authors: Zakharova G.S.1, Podvalnaya N.V.1, Gorbunova T.l.2, Реrvоva M.G.2, Enyashin A.N.1
-
Affiliations:
- Institute of Solid State Chemistry of the Ural Branch of the Russian Academy of Sciences
- Postovsky Institute of Organic Synthesis of the Ural Branch of the Russian Academy of Sciences
- Issue: Vol 69, No 8 (2024)
- Pages: 1117-1127
- Section: СИНТЕЗ И СВОЙСТВА НЕОРГАНИЧЕСКИХ СОЕДИНЕНИЙ
- URL: https://medbiosci.ru/0044-457X/article/view/274246
- DOI: https://doi.org/10.31857/S0044457X24080046
- EDN: https://elibrary.ru/XKXTQW
- ID: 274246
Cite item
Full Text
Abstract
Substitutional solid solutions of the general formula h-W1–xFexO3, where 0.01 ≤ x ≤ 0.06, crystallizing in the hexagonal system based on h-WO3, were obtained using the hydrothermal synthesis method. It was shown that the crystal lattice of the synthesized compounds h-W1–xFexO3 is stabilized by cations in hexagonal channels. Using quantum chemical calculations, it has been proven that doping with iron is realized by replacing cations in the tungsten sublattice, and not by intercalation into lattice channels. In this case, the dopant is not an independent participant in reactions involving h-W1–xFexO3, causing only the reorganization of the near-Fermi states of the h-WO3 matrix. It has been established that the region of solid solution homogeneity with respect to the dopant ion is determined by the pH of the working solution. The largest specific surface area, equal to 108 m2/g, has h-W0.94Fe0.06O3, synthesized at pH 2.3. Its photoactivity when applied to 1,2,4-trichlorobenzene is several times higher than that of m-W0.94Fe0.06O3.
Full Text
ВВЕДЕНИЕ
Триоксид вольфрама является типичным n-полупроводником с шириной запрещенной щели 2.8−3.0 эВ [1]. Стехиометрический WO3 образует несколько структурных модификаций, среди которых наиболее изученными являются моноклинные фазы ε-WO3 и γ-WO3, орторомбическая фаза β-WO3 и гексагональная фаза h-WO3 [2, 3]. Благодаря высокой экологической безопасности, химической и термодинамической стабильности, WO3 может быть использован в качестве электродного материала химических источников тока [4], газового сенсора [5], в виде пленочного электрохромного материала [6, 7]. Также WO3 проявляет фотокаталитическую активность при облучении ультрафиолетовым и видимым светом в реакциях окисления органических красителей и хлорсодержащих ароматических соединений [8−13]. Эффективность WO3 как фотокатализатора обусловлена его относительно высоким оптическим поглощением в видимом диапазоне солнечного спектра [14]. При облучении видимым или ультрафиолетовым светом на поверхности WO3 образуются электронно-дырочные пары за счет миграции электронов из валентной зоны в зону проводимости. Одновременно на поверхности фотокатализатора появляются активные формы кислорода, такие как супероксид или HO•-радикалы, реагирующие с вредными органическими соединениями и разлагающие их на менее опасные компоненты. Ключевым параметром, определяющим эффективность катализатора, является время рекомбинации пары электрон–дырка. Существуют различные технологические приемы, использование которых создает условия для регулирования фотокаталитической активности WO3. Варьирование условиями синтеза, кристаллической структурой, морфологией, кислотностью реакционной среды, параметрами облучения создает условия для заметного улучшения эффективности оксида как фотокатализатора [8, 15, 16]. Кроме того, одним из способов влияния на фотоактивность WO3, позволяющим уменьшить скорость рекомбинации генерируемых пар электрон–дырка за счет изменения электронной структуры оксида, является его структурная модификация при допировании ионами металлов [17−19].
Допирование ионами металлов может приводить к появлению примесных уровней вблизи краев зоны проводимости или валентной зоны или же к уменьшению ширины запрещенной зоны WO3 [20]. Дополнительно допирование WO3 ионами металлов создает условия для генерирования множества кислородных вакансий, выполняющих роль ловушек носителей заряда [21, 22]. С этой целью предпочтительно использовать такие допанты, ионный радиус которых сопоставим с ионным радиусом W6+. Из-за близости эффективных ионных радиусов Fe3+ (0.645 Å) и W6+ (0.60 Å) [23] наиболее перспективным ионом-допантом является железо. WO3, допированный Fe3+, может быть получен методами спрей-пиролиза [24], соосаждения [25−27], гидротермальным [28, 29], электроспиннинга [30], а также золь-гель методом [31]. Однако все описанные методы синтеза позволяют получать сложный оксид на основе моноклинной структуры WO3. Показано, что WO3, допированный 8% Fe, проявляет фотокаталитическую активность при деградации метилового красного под действием видимого света, достигая за 2 ч конверсии 94% по сравнению с недопированным WO3 (70%) [32]. В присутствии WO3, допированного 0.5% Fe, конверсия метиленового голубого при облучении видимым светом составляет 96.8%, что на 16.8% выше по сравнению с недопированным триоксидом вольфрама [33]. Использование WO3, допированного 5.25% Fe, позволяет достигнуть 93% конверсии фенола в результате облучения видимым светом [34]. Практически полный фотораспад n-пентана (99.91%) наблюдается в присутствии WO3, допированного 4.65% Fe [33, 35]. При этом в литературе отсутствуют данные по фотокаталитическим свойствам гексагональной модификации WO3, допированной Fe3+.
Цель настоящей работы — определение условий получения WO3, допированного Fe3+ и кристаллизующегося в гексагональной сингонии, гидротермальным методом синтеза, а также определение концентрационных зависимостей структурных, морфологических и оптических характеристик. С использованием квантово-химических расчетов исследовано распределение примесных ионов Fe3+ в решетке гексагонального WO3. Дополнительно изучены фотокаталитические свойства синтезированных сложных оксидов в реакции фотолитического окисления 1,2,4-трихлорбензола.
ЭКСПЕРИМЕНТАЛЬНАЯ ЧАСТЬ
В качестве исходных веществ использовали тетрагидрат паравольфрамата аммония (NH4)10H2W12O42 · 4H2O и гексагидрат хлорида железа FeCl3 · 6H2O марки “ч.”. Кислотность реакционных растворов регулировали 1 М раствором HCl. Оксид вольфрама, допированный Fe3+, синтезировали в гидротермальных условиях, используя автоклав Parr Instrument объемом 50 мл. Реакционные растворы готовили, смешивая исходные компоненты (в пересчете на металл) в молярном соотношении Fe : W = x : 1.0, где x = 0−0.1. Затем при постоянном перемешивании по каплям добавляли 1 М раствор HCl до установления рН раствора 1−2.4. Реакционную смесь помещали в автоклав, нагревали до 180°С, выдерживая в течение 24 ч, а затем охлаждали до комнатной температуры. Полученный осадок промывали дистиллированной водой и сушили на воздухе при комнатной температуре.
Рентгенофазовый анализ (РФА) образцов выполняли на дифрактометре Shimadzu XRD 7000 (CuKɑ-излучение, λ = 1.5418 Å). Значения параметров a, c и V для полученных соединений были рассчитаны методом полнопрофильного анализа Fullprof-2004. Статистические факторы проведенных расчетов Rp, Rwp, Rexp, Chi, GoF, R, Rf не превышали значения 9.51, 12.4, 6.14, 4.29, 103.18, 1.46, 1.15 соответственно. Концентрацию железа в продукте определяли с помощью портативного рентгенофлуоресцентного спектрометра S1 Titan (Bruker AXS). Исследования образцов методом ИК-Фурье-спектроскопии проводили на спектрометре Spectrum Оne (Perkin–Elmer) в пасте с вазелиновым маслом. Спектры комбинационного рассеяния регистрировали на конфокальном рамановском дисперсионном спектрометре inVia Reflex (Renishaw) с использованием твердотельного лазера RL532–08 с длиной волны 532 нм и мощностью 100 мВт. Спектры поглощения в видимой и УФ-областях спектра регистрировали на спектрометре UV-2600 (Shimadzu). Морфологию порошков изучали на сканирующем электронном микроскопе (СЭМ) Jeol JSM 6390 LA, оснащенном энергодисперсионным рентгеновским микроанализатором EX-23010BU. Термический анализ выполняли на анализаторе STA 449 F3 Jupiter (Netzsch), совмещенном с масс-спектрометром QMS 403, при скорости нагрева 10 град/мин в атмосфере воздуха (ТГ–ДСК−МС). Пикнометрическую плотность порошков определяли с помощью гелиевого пикнометра AccuPyc II 1340, используя измерительную камеру объемом 0.1 cм3. Текстурные характеристики (удельную поверхность, пористость) соединений измеряли на анализаторе низкотемпературной адсорбции азота Gemini VII (Micromeritics).
Квантово-химические расчеты проводили в зонном варианте с использованием теории функционала электронной плотности (DFT), как имплементировано в программном продукте SIESTA 4.0 [36, 37]. Обменно-корреляционный потенциал описывали в приближении обобщенного градиента по схеме Педью–Бурке–Эрнцерхофа. Влияние остовных электронов учитывали с помощью эффективных остовных псевдопотенциалов типа Трулье–Мартинса. Для описания валентных оболочек W, Fe и H использовали базис одноэкспонентных псевдоорбиталей с введением поляризационных функций, а для O и N — базис двухэкспонентных псевдоорбиталей с введением поляризационных функций. Набор k-точек генерировали по методу Монкхорста–Пака с радиусом обрезания 15 Å. Сетку для численного интегрирования в реальном пространстве строили с обрезанием по энергии 300 Ry. Все расчеты проводили с одновременной релаксацией атомных позиций и параметров решетки с критериями сходимости, соответствующими максимальной погрешности 0.1 ГПа для каждого компонента тензора напряжений Коши и максимальной погрешности сил на атомах 0.05 эВ/Å.
Фотолитическую активность синтезированных образцов изучали на примере реакции окисления 1,2,4-трихлорбензола (1,2,4-ТХБ) (99%, Alfa Aesar). Для этого в кварцевый реактор, расположенный на расстоянии 10 см от облучателя ОУФК-240–1 (мощность <300 Вт) с ртутно-кварцевой лампой ДРТ-240, снабженный водным холодильником для конденсации низкокипящих продуктов фотодеградации и помещенный на магнитную мешалку, вносили 5 ммоль 1,2,4-ТХБ в 50 мл метанола и 0.5 ммоль оксида вольфрама, допированного железом, выдерживали 2 ч при перемешивании для установления сорбционного равновесия и затем начинали облучение. Для количественной оценки полноты протекания фотокаталитической реакции через каждые 25 ч проводили отбор проб из реактора. Для установления отсутствия фотолитической деструкции без облучения образцы синтезированных катализаторов с добавлением 1,2,4-ТХБ в метаноле помещали в темноту на 50 ч. Идентификацию продуктов фотолиза осуществляли с помощью газового хроматографа-масс-спектрометра Agilent GC 7890A MSD 5975C inert XL EI/CI с кварцевой капиллярной колонкой НР-5MS и квадрупольным масс-спектрометрическим детектором (ГХ-МС).
РЕЗУЛЬТАТЫ И ОБСУЖДЕНИЕ
Ранее было установлено, что формирование h-WO3 в гидротермальных условиях происходит в интервале рН 1.6−2.3 [13]. Поэтому для синтеза WO3, допированного Fe3+, был выбран указанный интервал кислотности рабочих растворов. Однако, как показали результаты РФА, при использовании реакционных растворов с рН 1.6 в продуктах реакции, независимо от количества иона-допанта, наряду с основной фазой h-WO3 (ICDD 85-2460) в качестве примеси фиксируется WO3 · 0.33H2O (ICDD 87-1203) (рис. 1). Поэтому синтез образцов WO3, допированных ионами Fe3+, проводили, используя рабочие растворы с рН 1.7−2.3. Согласно данным химического анализа и РФА, при рН 1.7 и молярном содержании ионов железа 0.01 ≤ x ≤ 0.05 в продуктах реакции фиксируется только твердый раствор на основе h-WO3 (рис. 1a). Уменьшение кислотности реакционного раствора до рН 2.3 приводит к формированию твердого раствора на основе гексагонального оксида вольфрама с более широкой областью гомогенности по внедряемому катиону Fe3+ (0.01 ≤ x ≤ 0.06) (рис. 1б). Исследование зависимостей изменения параметров кристаллической решетки для полученных соединений подтвердило положение верхних границ областей гомогенности по иону-допанту (рис. 2).
Рис. 1. Дифрактограммы порошков оксида вольфрама, допированного железом(III), состава h-W1–xFexO3, синтезированные при рН 1.7 (а) и x = 0.01 (1), 0.03 (2), 0.05 (3), при рН 2.3 (б) и x = 0.01 (1), 0.03 (2), 0.06 (3). Для образцов с максимальным содержанием иона-допанта дополнительно приведены расчетные дифрактограммы и разностные кривые. Вертикальными линиями указаны позиции рефлексов
Рис. 2. Концентрационные зависимости параметров элементарной ячейки a (a), c (б), V (c) для WO3, допированного железом(III), синтезированного при рН 1.7 (1) и 2.3 (2)
Для оценки среднего размера кристаллитов использовали уравнение Шеррера [38]. Средний размер кристаллитов образцов, синтезированных при рН 1.7, практически не зависит от содержания иона-допанта в образцах и равен 14.5 ± 0.3 нм. Для твердых растворов, синтезированных при рН 2.3, с ростом содержания Fe3+ наблюдается уменьшение размеров кристаллитов от 20.6 до 12.2 нм. Полученные результаты хорошо согласуются с экспериментальными данными и подтверждают предположение, что введение ионов железа в определенных условиях может подавлять рост кристаллов WO3 [33, 39]. Таким образом, размер кристаллитов железосодержащего WO3 можно регулировать, варьируя значения кислотности рабочего раствора и содержание железа.
На рис. 3 представлены СЭМ-изображения твердых растворов h-W1–xFexO3 с максимальным содержанием допанта, синтезированных при рН 1.7 и 2.3. Соединения образованы частицами размером 150−200 нм, агломерированными в ансамбли неправильной формы размером до 5 мкм (рис. 3а, 3б). Содержание Fe3+ практически не влияет на морфологию продукта. Аналогичный результат получен для железосодержащих образцов на основе моноклинной структуры оксида вольфрама [27]. Наличие Fe3+ в образцах и отсутствие каких-либо посторонних примесей подтверждены энергодисперсионным рентгеновским микроанализом (рис. 3в).
Рис. 3. СЭМ-изображения h-W0.95Fe0.05O3 (а) и h-W0.94Fe0.06O3 (б), синтезированных при рН 1.7 и 2.3. Спектр рентгеновского энергодисперсионного микроанализа для образца h-W0.94Fe0.06O3 (в). Дополнительный пик от углерода обусловлен подложкой, применяемой для фиксации образца
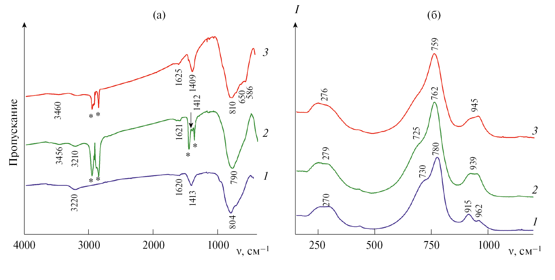
Для более полного структурного исследования кристаллической решетки h-WO3, допированной Fe3+, использовали методы ИК- и КР-спектроскопии. На рис. 4а представлены ИК-спектры железосодержащих образцов, полученных при рН 1.7 и 2.3, в сравнении со спектром с h-WO3. Для h-WO3 при 804 см–1 наблюдается характерная интенсивная полоса поглощения, описывающая колебания мостиковых валентных связей W–O–W. Допирование h-WO3 ионами железа приводит к уширению указанной полосы и появлению дополнительных пиков в интервале частот 580−810 см–1. Аналогичные изменения формы ИК-спектров, свидетельствующие об искажении кристаллической решетки, наблюдаются при введении Fe3+ в WO3 моноклинной сингонии [32, 35]. Полосы колебаний при 1409−1413 см–1 обусловлены деформационными колебаниями связей N–H и свидетельствуют о наличии -групп в решетке WO3. Валентные колебания связей N–H проявляются в виде слабого поглощения при 3210−3220 см–1. Катионы стабилизируют структуру h-WO3 [13]. Слабые пики при 1620−1625 и ∼3460 см–1 соответствуют деформационным и валентным колебаниям следовых количеств воды, адсорбированной на поверхности соединений. Кроме того, в ИК-спектрах h-W1–xFexO3 фиксируются очень слабые полосы при 1641−1657 см–1, отвечающие колебаниям связей H3O+-групп, которые также способны стабилизировать структуру h-WO3 [13]. КР-спектры образцов оксида вольфрама, допированного железом(III), полученных в интервале 1.7 ≤ рН ≤ 2.3, в пределах областей гомогенности по железу подобны (рис. 4б). Ярко выраженные характерные пики при 759−762 см–1 описывают валентные колебания ν(O–W–O) [27]. Широкие полосы колебаний в интервале частот 939−945 см–1 обусловлены валентными колебаниями связей W=O [40]. Слабые полосы в интервале частот 200−400 см–1 соответствуют валентным колебаниям связей W–O–W h-WO3. Введение ионов Fe3+ в кристаллическую решетку оксида приводит к заметному сдвигу полос, отвечающих колебаниям мостиковых связей, а также к уширению пиков, соответствующих колебаниям кратных связей.
Рис. 4. ИК- (а) и КР-спектры (б) h-WO3 (1), h-W0.95Fe0.05O3 (2) и h-W0.94Fe0.06O3 (3), синтезированных при рН 1.7 и 2.3 соответственно. Полосы вазелинового масла обозначены звездочкой
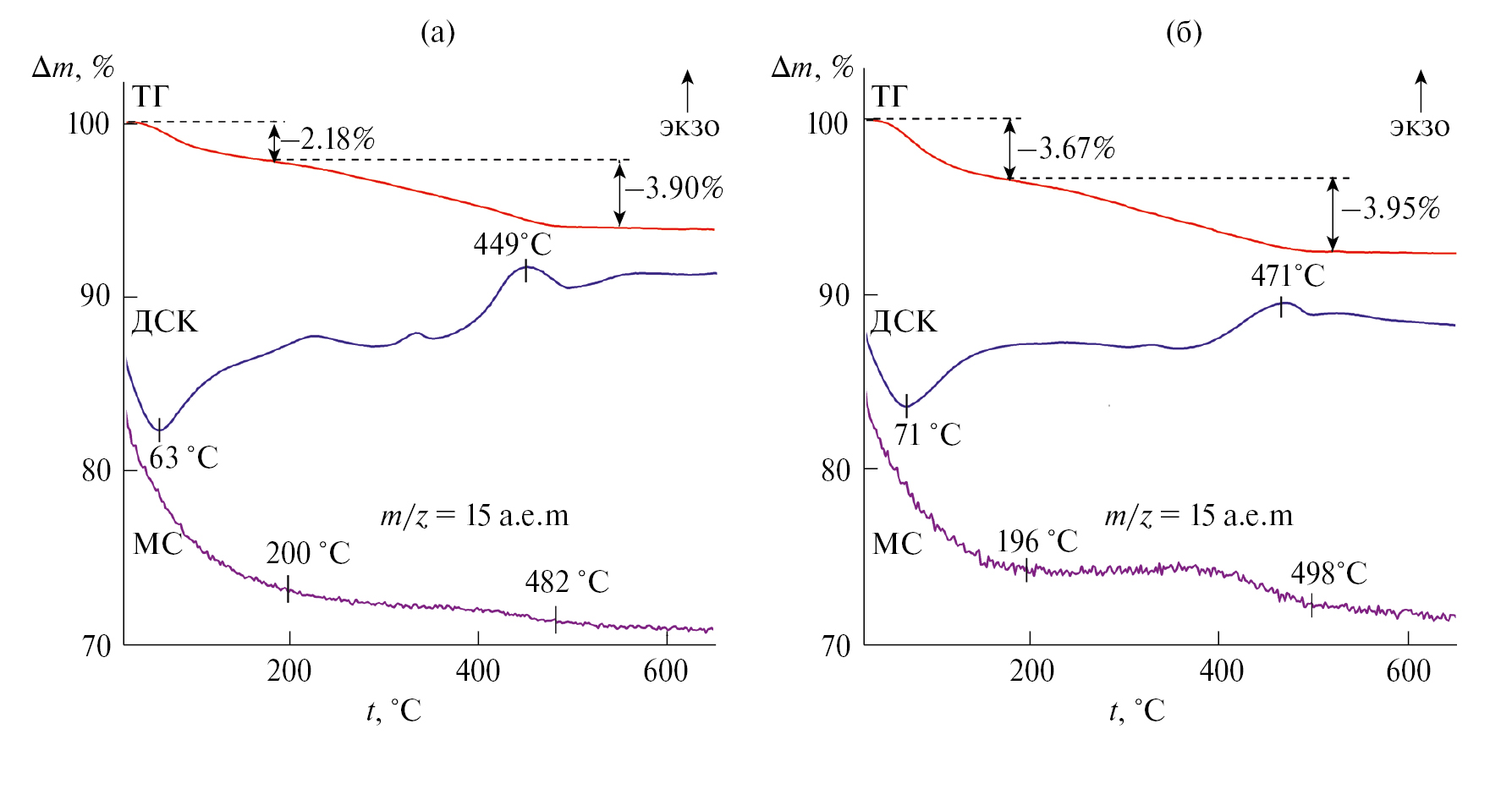
Термогравиметрический анализ, совмещенный с масс-спектроскопией, позволил оценить термическую устойчивость полученных соединений, а также подтвердить наличие в их кристаллической решетке катионов (рис. 5). Согласно ТГ-анализу, термолиз соединений, синтезированных при рН 1.7 и 2.3, с максимальным содержанием иона-допанта происходит в две стадии. В интервале температур 50−240°С наблюдается удаление воды, адсорбированной на поверхности образцов. Процесс описывается ярко выраженным эндоэффектом с экстремумами при 63 и 71°С для образцов, синтезированных при рН 1.7 и 2.3 соответственно. Наличие адсорбционной воды также подтверждено данными ИК-спектроскопии (рис. 4а). При дальнейшем повышении температуры происходит термическое разложение образцов, синтезированных при рН 1.7 и 2.3, сопровождаемое экзотермическими эффектами с максимумами при 449 и 471°С соответственно. Одновременно на МС-кривых регистрируются широкие и размытые пики, характерные для молекулярного иона c m/z = 15 a.e.м. Полное удаление воды и катионов из образцов приводит к разрушению гексагональной кристаллической структуры h-WO3 и образованию твердых растворов замещения на основе моноклинной кристаллической решетки m-WO3 (рис. S2). Согласно данным ТГ-анализа, химический состав образцов, синтезированных при рН 1.7 и 2.3, описывается как (NH4)0.56W0.95Fe0.05O3 · 0.30H2O и (NH4)0.56W0.94Fe0.06O3 · 0.49H2O соответственно. Учитывая принцип электронейтральности, можно сделать вывод, что формирование твердого раствора замещения может сопровождаться появлением кислородных вакансий или изменением концентрации ионов Н3О+, присутствие которых регистрируется ИК-спектроскопией.
Рис. 5. ТГ-, ДСК- и МС-кривые для h-W0.95Fe0.05O3 (а) и h-W0.94Fe0.06O3 (б), синтезированных при рН 1.7 и 2.3 соответственно
Структура кристаллической решетки h-WO3 характеризуется наличием довольно широких каналов, интеркаляция которых оксониевыми катионами и обусловливает ее стабилизацию [13]. Теоретически, такие каналы могли бы быть интеркалированы и примесными катионами, например Fe3+. Для исследования конкуренции между процессами замещения и интеркаляцией решетки катионами Fe3+ нами были привлечены квантово-химические расчеты. В качестве модельной матрицы h-WO3 использовали ячейку состава (NH4)0.33WO3 ⋅ 0.33H2O (или по числу атомов W18O54(NH4)6(H2O)6), которая соответствует одному из наиболее термодинамически устойчивых вариантов [13]. Модель замещенной или интеркалированных решеток была построена соответственно замещением одного катиона W6+ на катион Fe3+ или размещением аммиаката Fe3+ внутри канала, что соответствовало молярной концентрации ионов железа, экспериментально достигнутой в образцах h-W1–xFexO3, где x ~ 0.05. Для сохранения электронейтральности решетки зарядовую компенсацию осуществляли добавлением или устранением протонов у катионов аммония. Сравнительную устойчивость замещенной и интеркалированной таким образом решеток h-WO3 оценивали на основе рассчитанной методом DFT энтальпии ∆Hтеор формальных реакций замещения (реакция (1)) и интеркалирования (реакция (2)):
, (1)
. (2)
Полученные таким образом эндотермические величины ∆Hтеор = +0.16 эВ/атом Fe для реакции замещения и ∆Hтеор = +4.30 эВ/атом Fe для реакции интеркалирования однозначно свидетельствуют о том, что практически все катионы Fe3+ будут замещать именно W6+ в решетке h-WO3.
Выполненные квантово-химические расчеты позволяют обсудить и возможное изменение реакционной способности h-WO3 в результате допирования. Исходные соединения h-WO3 являются полупроводниками в широком диапазоне содержания и воды [13]. Для модельного состава (NH4)0.33WO3 · 0.33H2O в потолке основной валентной зоны при –1.5 эВ ниже уровня Ферми доминируют O2p-состояния, а на дне зоны проводимости у +0.4 эВ выше уровня Ферми — W5d-состояния (рис. 6а). В запрещенной зоне обнаруживаются хорошо локализованные занятые и свободные W5d-состояния, ответственные за окислительно-восстановительные свойства решетки h-WO3 и обеспечивающие электронное допирование. Появление железа в подрешетке вольфрама и соответствующего количества интеркалирующих катионов аммония не приводит к существенной реорганизации профиля плотности состояний матрицы h-WO3 (рис. 6б). Прифермиевские примесные Fe3d-состояния располагаются преимущественно в диапазонах –1...–1.5 и 0.3–1.0 эВ и, следовательно, не будут активными участниками в химических реакциях. Какое-либо изменение реакционной способности матрицы h-WO3 при допировании железом обусловлено, по-видимому, реорганизацией преимущественно W5d-состояний на уровне Ферми: наблюдается спиновая поляризация с уменьшением полной плотности α-состояний до 1.5 сост/эВ и увеличением полной плотности β-состояний до 7.3 сост/эВ по сравнению с 5.2 сост/эВ для недопированного соединения.
Рис. 6. Плотности электронных состояний (ПС), рассчитанные методом DFT, для h-WO3 и h-W1–xFexO3 с модельными составами (NH4)0.33WO3 · 0.33H2O (а) и (NH4)0.50W0.95Fe0.05O3 · 0.33H2O (б) соответственно
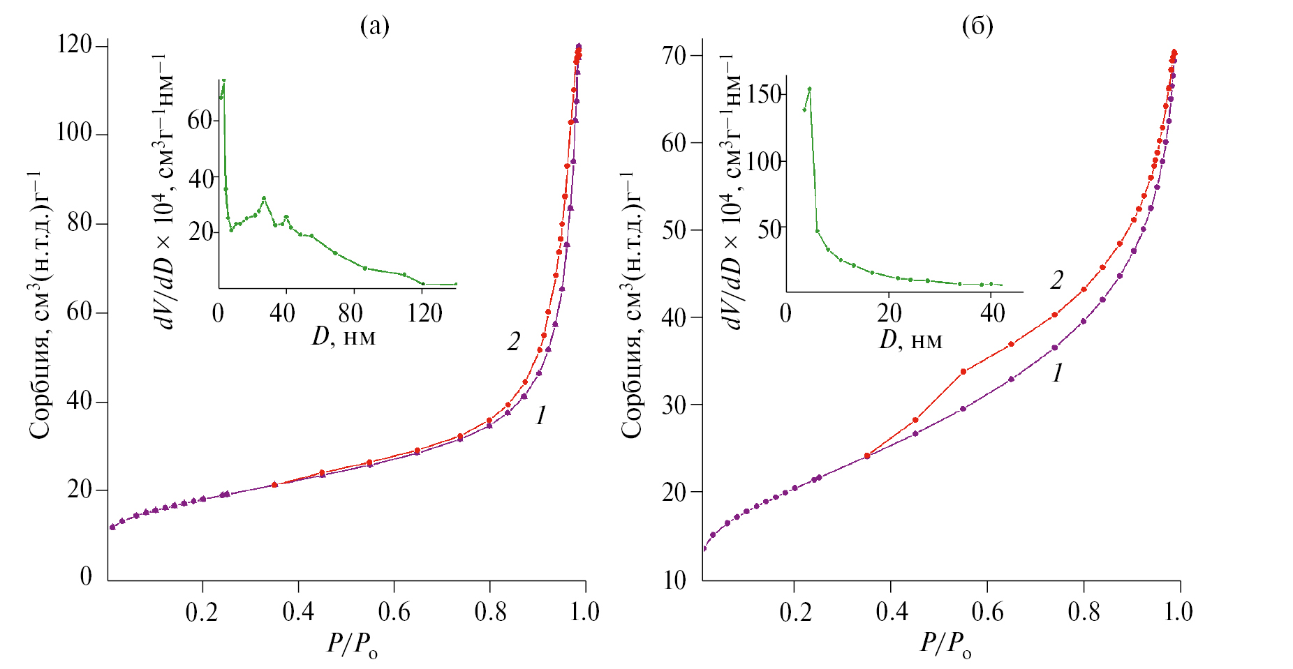
На рис. 7 представлены изотермы сорбции образцов h-W1–xFexO3 с максимальным содержанием допанта, синтезированных гидротермальной обработкой реакционных растворов при рН 1.7 и 2.3. Согласно классификации ИЮПАК [41], полученные кривые сорбции относятся к IV типу с петлей гистерезиса Н3. Тип петли Н3 свидетельствует о наличии в образцах узких щелевидных пор с почти плоскопараллельными стенками. Удельная поверхность h-W0.95Fe0.05O3 и h-W0.94Fe0.06O3, синтезированных при пограничных значениях кислотности растворов, равна 63 и 108 м2/г соответственно. Полученные значения удельной поверхности для h-W1–xFexO3 в ~1.5−2 раза выше, чем для образцов, формирующихся на основе m-WO3 [25, 31]. Для h-W0.94Fe0.06O3, синтезированного при рН 2.3, наблюдается мономодальное распределение микропор с преимущественным размером ~3.7 нм. Увеличение кислотности рабочего раствора до рН 1.7 приводит к изменению пористости образцов, характеризующейся полимодальным распределением пор с преимущественным размером 4, 28 и 40 нм. Очевидно, что текстурные свойства h-W1–xFexO3 определяются условиями синтеза образцов, в частности, зависят от кислотности рабочих растворов. Влияние содержания Fe3+ на величину удельной поверхности заметно проявляется лишь в образцах, синтезированных при кислотности рабочего раствора 2.3, для которых наблюдается увеличение удельной поверхности от 49 до 108 м2/г. Для образцов, полученных в более кислых растворах, величина удельной поверхности практически не зависит от содержания ионов железа.
Рис. 7. Изотермы сорбции (1 — адсорбция, 2 — десорбция) и кривые распределения пор по размерам (вставки) h-W0.95Fe0.05O3 (a) и h-W0.94Fe0.06O3 (б), полученных при рН 1.7 и 2.3 соответственно
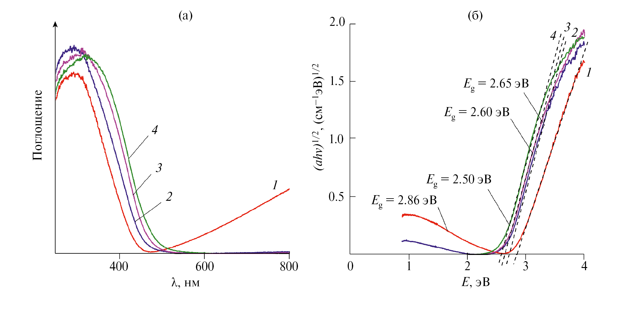
Исследование оптических свойств было проведено на серии образцов состава h-W1–xFexO3 (0.01 ≤ x ≤ 0.06), синтезированных при кислотности исходного раствора 2.3 и имеющих более развитую удельную поверхность. Спектры поглощения указанных соединений характеризуются длинноволновым смещением максимума поглощения (красное смещение) по сравнению с недопированным h-WO3 (рис. 8а). Интенсивная полоса поглощения соответствует переносу электронов из валентной зоны О2р-состояний в зону проводимости W5d-состояний (O2p → W5d). Измерения спектральных характеристик в УФ- и видимой областях спектра позволили определить край полосы поглощения, формирующегося непрямыми разрешенными переходами, и рассчитать оптическую ширину запрещенной зоны синтезированных образцов (рис. 8б). Установлено, что оптическая ширина запрещенной зоны h-WО3, h-W0.09Fe0.01O3, h-W0.97Fe0.03O3 и h-W0.94Fe0.06O3 составляет 2.86, 2.65, 2.60 и 2.50 эВ соответственно. Уменьшение оптической ширины запрещенной зоны при допировании кристаллической решетки h-WO3 ионами Fe3+ обусловлено появлением дополнительных дефектов (дислокация, дефекты упаковки, кислородные вакансии и др.), а также реорганизацией прифермиевских донорных состояний [31], обнаруживаемой в наших квантово-химических расчетах. Полученные результаты позволяют рассматривать твердые растворы внедрения общей формулы h-W1–xFexO3 как потенциальные фотокатализаторы.
Рис. 8. Спектры поглощения в УФ- и видимом диапазонах (а), зависимости (αhv)1/2 от энергии фотона (Е) в области края поглощения (б) для h-WO3 (1), h-W0.99Fe0.01O3 (2), h-W0.97Fe0.03O3 (3) и h-W0.94Fe0.06O3 (4), синтезированных при рН 2.3
В качестве объекта фотолитической деструкции в присутствии h-W1–xFexO3 как катализаторов использовали 1,2,4-ТХБ в метаноле. Поскольку для 1,2,4-ТХБ характерен максимум оптического поглощения в УФ-области [42], исследования фотодеградации указанного хлорарена проводили в диапазоне длин волн 240–320 нм. Ранее было показано, что h-WO3 и кобальтсодержащие твердые растворы на его основе, синтезированные гидротермальным методом, несколько превосходят коммерческий m-WO3 в фотодеструкции 1,2,4-ТХБ с использованием облучателя ОКН-11 М мощностью 950 Вт [13, 19]. Результаты УФ-фотолиза 1,2,4-ТХБ в присутствии твердых растворов на основе оксидов h-WO3 и m-WO3 с максимальным содержанием допанта представлены в сравнении с безкатализной фотодеструкцией хлорарена (табл. 1). Наибольшую каталитическую активность проявляет h-W0.94Fe0.06O3. Самую низкую способность к фотокатализу хлорарена даже в сравнении с холостым опытом показал m-W0.94Fe0.06O3. Для всех трех экспериментов, по результатам ГХ-МС, наблюдался одинаковый набор продуктов разложения 1,2,4-ТХБ. В реакционных массах обнаружены три изомера дихлорбензола (1,2-, 1,3-, 1,4-) с преимущественным вкладом 1,4-дихлорбензола, что совпадает с данными работ [13, 19], и один из изомеров дихлорбензилового спирта.
Таблица 1. Конверсия 1,2,4-ТХБ в результате фотолиза в присутствии катализаторов на основе WO3 в зависимости от времени УФ-облучения, %
Фотокатализатор | Время УФ-облучения, ч | |
25 | 50 | |
Холостой опыт | 3.55 | 6.83 |
h-W0.94Fe0.06O3 | 12.40 | 14.70 |
m-W0.94Fe0.06O3* | 2.13 | 4.38 |
* Фотокатализатор получен прокаливанием h-W0.94Fe0.06O3 на воздухе при температуре 600°С в течение 1 ч (рис. S2).
Для объяснения низкой фотокаталитической активности твердого раствора на основе моноклинной структуры оксида вольфрама была рассчитана концентрация дефектов в фотокатализаторах h-W0.94Fe0.06O3 и m-W0.94Fe0.06O3. Оценку дефектности кристаллической решетки проводили по методике [43], используя результаты определения рентгеновской и пикнометрической плотности. Наибольшая концентрация дефектов (1.7 × 1021) наблюдается в образце h-W0.94Fe0.06O3. Очевидно, что структурные дефекты кристаллической решетки индуцированы гидротермальными условиями синтеза. При гидротермальном синтезе зародышеобразование и рост наночастиц WO3, допированного ионами железа, происходят в условиях высокого пересыщения из-за избыточной концентрации компонентов реакционной смеси в ростовой зоне. Это позволяет увеличить скорость синтеза, однако повышается дефектность конечного продукта. Прокаливание h-W0.94Fe0.06O3 при 600°С с образованием m-W0.94Fe0.06O3 приводит к частичному структурному упорядочению и сопровождается уменьшением концентрации дефектов до 8.05 × 1020. Полученные данные позволяют сделать вывод о том, что структурные дефекты катализатора положительным образом влияют на его фотокаталитическую эффективность под действием УФ.
ЗАКЛЮЧЕНИЕ
Впервые гидротермальным методом синтеза при рН реакционных растворов 1.6 и 2.3 получены твердые растворы замещения на основе WO3 гексагональной сингонии общей формулы h-W1–xFexO3, где 0.01 ≤ x ≤ 0.06. Установлено, что на величину удельной поверхности образцов, синтезированных при рН 2.3, заметное влияние оказывает содержание Fe3+, это позволяет целенаправленно получать образцы с заданной удельной поверхностью. Методами ИК-спектроскопии и ТГ−ДСК−МС-анализа показано присутствие в кристаллической решетке синтезированных соединений катионов и H3O+, стабилизирующих гексагональную структуру сложного оксида. Удаление -групп в интервале температур 450−470°С приводит к разрушению кристаллической структуры соединений с образованием твердых растворов замещения на основе моноклинной фазы m-WO3. Согласно теоретическому моделированию, допирующие катионы Fe3+ действительно выступают как примесь замещения в подрешетку вольфрама, а не интеркалируют решетку h-WO3. Такое допирование не изменяет фундаментальный механизм реакционноспособности, в том числе каталитической активности матрицы h-WO3, приводя лишь к количественным изменениям. Исследования фотоактивности синтезированных катализаторов показали, что скорость фотодеструкции 1,2,4-ТХБ в присутствии h-W1–xFexO3 является более высокой по сравнению с фотораспадом хлорарена при использовании m-W1–xFexO3. Возможной причиной разницы скоростей фотодеструкции 1,2,4-ТХБ является наличие структурных дефектов гексагональной кристаллической решетки WO3, появление которых обусловлено особенностями синтеза образцов.
ФИНАНСИРОВАНИЕ РАБОТЫ
Работа выполнена в соответствии с госзаданием и планами НИР ИХТТ УрО РАН (№ 124020600024-5). Фотолитические исследования проведены в рамках госзадания (№ 124020200028-7) с использованием оборудования ЦКП “Спектроскопия и анализ органических соединений”.
ДОПОЛНИТЕЛЬНАЯ ИНФОРМАЦИЯ
Онлайн-версия содержит дополнительные материалы, доступные по адресу https://doi.org/10.31857/ S0044457X24080046.
КОНФЛИКТ ИНТЕРЕСОВ
Авторы заявляют об отсутствии конфликта интересов.
About the authors
G. S. Zakharova
Institute of Solid State Chemistry of the Ural Branch of the Russian Academy of Sciences
Author for correspondence.
Email: volkov@ihim.uran.ru
Russian Federation, Ekaterinburg
N. V. Podvalnaya
Institute of Solid State Chemistry of the Ural Branch of the Russian Academy of Sciences
Email: volkov@ihim.uran.ru
Russian Federation, Ekaterinburg
T. l. Gorbunova
Postovsky Institute of Organic Synthesis of the Ural Branch of the Russian Academy of Sciences
Email: volkov@ihim.uran.ru
Russian Federation, Ekaterinburg
M. G. Реrvоva
Postovsky Institute of Organic Synthesis of the Ural Branch of the Russian Academy of Sciences
Email: volkov@ihim.uran.ru
Russian Federation, Ekaterinburg
A. N. Enyashin
Institute of Solid State Chemistry of the Ural Branch of the Russian Academy of Sciences
Email: volkov@ihim.uran.ru
Russian Federation, Ekaterinburg
References
- Cole B., Marsen B., Miller E. et al. // J. Phys. Chem. C. 2008. V. 112. № 13. P. 5213. https://doi.org/10.1021/ jp077624c
- Huang Z.-F., Song J., Pan L. et al. // AdV. Mater. 2015. V. 27. № 36. P. 5309. https://doi.org/10.1002/adma.201501217
- Филиппова А.Д., Румянцев А.А., Баранчиков А.Е. и др. // Журн. неорган. химии. 2022. Т. 67. № 6. С. 706.
- Zeng F., Wang J., Liu W. et al. // Electrochim. Acta. 2020. V. 334. P. 135641. https://doi.org/10.1016/j.electacta.2020.135641
- Ueda T., Maeda T., Huang Z. // Sens. Actuators, B: Chem. 2018. V. 273. P. 826. https://doi.org/10.1016/j.snb.2018.06.122
- Wen R., Granqvist C.G., Niklasson G.A. // Nature Mater. 2015. V. 14. № 10. P. 996. https://doi.org/10.1038/nmat4368
- Purushothaman K.K., Muralidharan G., Vijayakumar S. // Mater. Lett. 2021. V. 296. P. 129881. https://doi.org/10.1016/j.matlet.2021.129881
- Razali N.A.M., Salleh W.N.W., Aziz F. et al. // J. Clean. Prod. 2021. V. 309. P. 127438. https://doi.org/10.1016/j.jclepro.2021.127438
- Peleyeju M.G., Viljoen E.L. // J. Water Process Eng. 2021. V. 40. P. 101930. https://doi.org/10.1016/j.jwpe.2021.101930
- Desseignea M., Dirany N., Chevallier V., Arab M. // Appl. Surf. Sci. 2019. V. 483. P. 313. https://doi.org/10.1016/j.apsusc.2019.03.269
- Liang Y., Yang Y., Zou C. et al. // J. Alloys Compd. 2019. V. 783. P. 848. https://doi.org/10.1016/j.jallcom.2018.12.384
- Hernandez-Uresti D.B., Sánchez-Martínez D., Martínez-de la Cruz A. et al. // Ceram. Int. 2014. V. 40. № 3. P. 4767. https://doi.org/10.1016/j.ceramint.2013.09.022
- Zakharova G.S., Podval’naya N.V., Gorbunova T.I. et al. // J. Alloys Compd. 2023. V. 938. P. 168620. https://doi.org/10.1016/j.jallcom.2022.168620
- Dutta V., Sharma S., Raizada P. et al. // J. Environ. Chem. Eng. 2021. V. 9. № 1. P. 105018. https://doi.org/10.1016/j.jece.2020.10501
- Yuju S., Xiujuan T., Dongsheng S. et al. // Ecotoxicol. Environ. Saf. 2023. V. 259. P. 114988. https://doi.org/10.1016/j.ecoenv.2023.114988
- Козлов Д.А., Козлова Т.О., Щербаков А.Б. и др. // Журн. неорган. химии. 2020. Т. 65. № 7. С. 1088.
- Kozlov D.A., Kozlova T.O, Shcherbakov A.B. et al. // Russ. J. Inorg. Chem. 2020. V. 65. № 7. P. 1003. https://doi.org/10.1134/S003602362007013X
- Govindaraj T., Mahendran C., Marnadu R. et al. // Ceram. Int. 2021. V. 47. № 3. P. 4267. https://doi.org/10.1016/j.ceramint.2020.10.004
- Govindaraj T., Mahendran C., Chandrasekaran J. et al. // J. Phys. Chem. Solids. 2022. V. 170. P. 110908. https://doi.org/10.1016/j.jpcs.2022.110908
- Захарова Г.С., Подвальная Н.В., Горбунова Т.И., Первова М.Г. // Журн. неорган. химии. 2023. Т. 68. № 4. С. 435.
- Shandilya P., Sambyal S., Sharma R. et al. // J. Hazard. Mater. 2022. V. 428. P. 128218. https://doi.org/10.1016/j.jhazmat.2022.128218
- Samuel O., Othman M.H.D., Kamaludin R. et al. // Ceram. Int. 2022. V. 48. № 5. P. 5845. https://doi.org/10.1016/j.ceramint.2021.11.158
- Murillo-Sierra J.C., Hernández-Ramírez A., Hinojosa-Reyes L., Guzmán-Mar J.L. // Chem. Eng. J. AdV. 2021. V. 5. P. 100070. https://doi.org/10.1016/j.ceja.2020.100070
- Shannow R.D. // Acta Crystallogr., Sect. A: Found. Crystallogr. 1976. V. 32. № 5. P. 751. https://doi.org/10.1107/S0567739476001551
- Renitta А., Vijayalakshmi K. // Catal. Commun. 2016. V. 73. P. 58. https://doi.org/10.1016/j.catcom.2015.10.014
- Sheng C., Wang C., Wang H. et al. // J. Hazard. Mater. 2017. V. 328. P. 127. https://doi.org/10.1016/j.jhazmat.2017.01.018
- Shen Y., Shou J., Chen L. et al. // Appl. Catal., A: General. 2022. V. 643. P. 118739. https://doi.org/10.1016/j.apcata.2022.118739
- Zhang Z., Had M., Wen Z. et al. // Appl. Surf. Sci. 2018. V. 434. P. 891. https://doi.org/10.1016/j.apsusc.2017.10.074
- Ilager D., Seo H., Shetti N.P., Kalanur S.S. // J. Environ. Chem. Eng. 2020. V. 8. № 6. P. 104580. https://doi.org/10.1016/j.jece.2020.104580
- Rajalakshmi R., Sivaselvam S., Ponpandian N. // Mater. Lett. 2021. V. 304. P. 130664. https://doi.org/10.1016/j.matlet.2021.130664
- Ma G., Chen Z., Chen Z. et al. // Mater. Today Eng. 2017. V. 3. P. 45. http://dx.doi.org/10.1016/j.mtener.2017.02.003
- Laxmi V., Kumar А. // Mater. Sci. Semicond. Process. 2019. V. 104. P. 104690. https://doi.org/10.1016/j.mssp.2019.104690
- Mehmood F., Iqbal J., Jan T., Mansoor Q. // J. Alloys Compd. 2017. V. 728. P. 1329. http://dx.doi.org/10.1016/j.jallcom.2017.08.234
- Gao H., Zhu L., Peng X. et al. // Appl. Surf. Sci. 2022. V. 592. P. 153310. https://doi.org/10.1016/j.apsusc.2022.153310
- Song H., Li Y., Lou Z. et al. // Appl. Catal. B: Environ. 2015. V. 166−167. P. 112. http://dx.doi.org/10.1016/j.apcatb.2014.11.020
- Merajin M.T., Nasiri M., Abedini E., Sharifnia S. // J. Environ. Chem. Eng. 2018. V. 6. № 5. P. 6741. https://doi.org/10.1016/j.jece.2018.10.037
- Ordejón P., Artacho E., Soler J.M. // Phys. Rev. B. 1996. V. 53. № 16. P. R10441(R). https://doi.org/10.1103/PhysRevB.53.R10441
- García A., Papiore N., Akhtar A. et al. // J. Chem. Phys. 2020. V. 152. № 20. P. 204108. https://doi.org/10.1063/5.0005077
- Patterson A.L. // Phys. Rev. Lett. 1939. V. 56. P. 978.
- Al-Kuhaili M.F., Drmosh Q.A. // Mater. Chem. Phys. 2022. V. 281. P. 125897. https://doi.org/10.1016/j.matchemphys.2022.125897
- Wang H., Zhang L., Zhou Y. et al. // Appl. Catal. B: Environ. 2020. V. 263. P. 118331. https://doi.org/10.1016/j.apcatb.2019.118331
- Sing K.S.W., Everett D.H., Haul R.A.W. et al. // Pure Appl. Chem. 1985. V. 57. № 4. P. 603. https://doi.org/10.1351/pac198557040603
- Thöny A., Rossi M.J. // J. Photochem. Photobiol. A. 1997. V. 104. № 1−3. P. 25. https://doi.org/10.1016/S1010-6030(96)04575-3
- Фаттахова З.А., Вовкотруб Э.Г., Захарова Г.С. // Журн. неорган. химии. 2021. Т. 66. № 1. С. 41.
- Fattakhova Z.A., Vovkotrub E.G., Zakharova G.S. // Russ. J. Inorg. Chem. 2021. V. 66. № 1. P. 35. https://doi.org/10.1134/S0036023621010022
Supplementary files










