The influence of the position of double bonds of unsaturated carboxylic acids on the type of the resulting coordination polymers of palladium(I)
- Authors: Efimenko I.A.1, Ivanova N.A.1, Erofeeva O.S.1, Efimov N.N.1, Demina L.I.2, Averin A.A.2, Simonenko N.P.1
-
Affiliations:
- Kurnakov Institute of General and Inorganic Chemistry of the Russian Academy of Sciences
- Frumkin Institute of Physical chemistry and Electrochemistry of the Russian Academy of Sciences
- Issue: Vol 70, No 1 (2025)
- Pages: 54–62
- Section: КООРДИНАЦИОННЫЕ СОЕДИНЕНИЯ
- URL: https://medbiosci.ru/0044-457X/article/view/286262
- DOI: https://doi.org/10.31857/S0044457X25010067
- EDN: https://elibrary.ru/IAYZVS
- ID: 286262
Cite item
Abstract
For the first time in the coordination chemistry of palladium, a new class of palladium(I) polymers with unsaturated monocarboxylic acids obtained by the interaction of palladium(II) acetate Pd3(μ-MeCO2)6 with monocarboxylic 3-pentenoic and 4-pentenoic acids with a double bond not conjugated with the carboxyl group, cinnamic and crotonic acids with a double bond conjugated with the carboxyl group was isolated, and the interaction with a dicarboxylic acid (itaconic) with a double bond conjugated with only one carboxyl group, similar to cinnamic and crotonic acids, was studied. Analysis of the composition of eight newly synthesized compounds, as well as their IR, Raman and EPR spectra showed that the obtained coordination polymers of Pd(I) [Pd(RCOO)6]n with 3-pentenoic {[Pd(π-C5H7O2)] ∙ H2O}n and 4-pentenoic [Pd(π-C5H7O2) ∙ C5H8O2)]n acids are diamagnetic, and with cinnamic [Pd(C9H7O2)]n, crotonic {[Pd(C4H5O2)]H2O}n and itaconic {[Pd(C5H4O4)H2O] ∙ 2H2O}n acids they are paramagnetic. The backbone of the obtained polymers is formed by bridging carboxylate groups and Pd–Pd bonds. The completion of the coordination polyhedron in the case of complexes with 3- or 4-pentenoic acid is carried out by coordinating their double bond with palladium, in polymer complexes with cinnamic and crotonic acids - by the formed agostic bond, in complexes with itaconic acid - by a coordinated water molecule. According to EPR spectroscopy, the polymer with itaconic acid contains paramagnetic centers characterized by a content of 1018 spin/g of unpaired electrons stable for a year, which allows it to be considered as a precursor for the creation of heterogeneous catalysts with increased catalytic activity.
Full Text
Введение
Среди большого числа металлов с карбоновыми кислотами особое место занимают ненасыщенные карбоксилаты. Ненасыщенные карбоновые кислоты потенциально являются полидентатными лигандами, поскольку помимо карбоксильных групп имеют в своем составе реакционноспособные ненасыщенные связи. Эти особенности могут быть использованы при дальнейшей функционализации комплексов для конструирования новых перспективных материалов. Например, карбоксилатные кластеры переходных металлов рассматриваются как основа наноструктурных фрагментов органо-неорганических пленок [1–4]. В качестве микропористых материалов, способных окклюдировать N2, O2, Ar и Хе, исследуются не только моно- и дикарбоксилаты переходных металлов с ненасыщенными заместителями в карбоксилатном лиганде, но и содержащими N-, P-, S-донорные фрагменты [5–9].
Особое внимание последние десятилетия уделяется исследованию строения и свойств полиядерных комплексов с агостической связью. Изучение влияния промежуточных комплексов с агостической связью, ускоряющих каталитические процессы [10] в органических реакциях, открывает новые возможности металлоорганической химии и металлоорганического катализа.
Анализ большого числа комплексов металлов со связью М–Н позволил выделить в отдельный класс агостические связи как трехцентровые двухэлектронные связи, изображаемые М…Н–С. Поскольку значения параметров агостической связи М…Н–С составляют для Pd…H 1.83–1.88 , Pd–C 2.352 , C···H 1.144 [11], агостическая связь была отнесена к группе сильных связей [12–18], тогда как слабые водородные связи М···Н в комплексах Pd(II) и Ru(II) характеризуются величиной 2.81 и 2.70 соответственно [19, 20].
Другим направлением, успешно развивающимся в настоящее время при изучении каталитических процессов, является исследование систем переходных металлов с неспаренными электронами. В первых работах на примере димеризации этилена в бутен показано существенное ускорение этого процесса неспаренными электронами, появляющимися при облучении в обменных цеолитах NaPd-X и CaPd-X, допированных аминатными комплексами палладия [21]. Такое же влияние неспаренных электронов в палладий-обменных цеолитах зафиксировано и при гидрогенизации СО [22–24], восстановлении NO [23], пиридина и ацетонитрила [25]. В результате анализа большого числа исследований влияния неспаренных электронов на скорость каталитических процессов сформирован новый тип катализа – спиновый катализ [26].
Представленные ниже экспериментальные результаты исследования соединений палладия с ненасыщенными моно- и дикарбоновыми кислотами показывают возможность образования координационных полимеров Pd(I) с агостическими связями и неспаренными электронами в их полимерной матрице.
Первые соединения с ненасыщенными монокарбоновыми кислотами – трехъядерные комплексы Pd(II) [Pd3(μ-RCOО)6] – были описаны в работах [27, 28] и получены взаимодействием ацетата Pd(II) с кротоновой, 1-метилкротоновой и циннамовой кислотами с двойными связями, сопряженными с карбоксильной группой, в ароматическом растворителе. Согласно данным элементного анализа, ИК- и КР-спектроскопии, координационный полимер в них формируется мостиковыми карбоксилатными группами. Двойные связи в образовании комплексов не участвуют.
Наши исследования взаимодействия ацетата Pd(II) с 4-пентеновой и сорбиновой кислотами с двойными связями, не сопряженными с карбоксильной группой, в метаноле при соотношении реагентов 1 : 1 показали, что образуются парамагнитные координационные полимеры Pd(I) {[Pd(C5H7O2)]H2O}n. Остов полученных полимеров сформирован мостиковыми карбоксилатными группами, связями Pd–Pd и координированными двойными связями кислот [29].
Экспериментальная часть
Для синтеза ненасыщенных карбоксилатов палладия в качестве исходного соединения использовали ацетат палладия Pd3(μ-MeCO2)6, полученный по разработанной нами методике [28], (С6H5CN)2PdCl2 и кислоты: 3-пентеновую СН3–СН=СН–CH2–COOH (3-пент), 4-пентеновую СН2=СН–СН2–CH2–COOH (4-пент), циннамовую С6Н5CH=CHCOOH (цин), кротоновую СН3–СН=СН–COOH (крот), итаконовую НООС–СН2–С(=СН2)–СООН (итак) фирмы Sigma-Aldrich. Растворителями служили метиловый спирт, ацетон, бензол, толуол, гексан, бензонитрил, петролейный эфир фирмы Химмед.
Элементный анализ проводили на анализаторе фирмы Carlo Erba Instruments CHNSO EA 1108.
ИК-спектры кристаллических образцов регистрировали в интервале 4000–550 см–1 методом НПВО на ИК-Фурье-спектрометре NEXUS фирмы Nicolet (однолучевой, сканирующий, светоделитель CsI, детектор TGS-CsI, фотометрическая точность 0.1%, разрешение 2 см–1) с использованием приставки MIRacle фирмы PIKETechnologies с алмазным кристаллом. Образцы наносили непосредственно на алмазный кристалл без дополнительной пробоподготовки.
КР-спектры регистрировали на приборе in Via Reflex Renishaw: объектив 100×, облучаемая площадка 10 мкм в диаметре, мощность источника возбуждения 100 мкВт. В качестве источника использовали He–Ne-лазер с длиной волны 633 нм. Для детектирования сигнала применяли CCD-матрицу с Пельтье-охлаждением, спектральное разрешение 2 см–1.
Cпектры ЭПР соединений регистрировали с помощью спектрометра ЭПР Elexsys E680X фирмы Bruker в X-диапазоне (рабочая частота ~9.8 ГГц) при комнатной температуре. Исследуемые вещества помещали в кварцевые ампулы и хранили в ампулах в течение всего времени эксперимента. Нагревание до 40°С проводили непосредственно в ампулах. Спектры исследуемых соединений корректировали с учетом спектра пустого резонатора. Концентрацию неспаренных электронов определяли двойным интегрированием спектров ЭПР и последующим анализом результатов с помощью функции Spin-Count ЭПР-спектрометра, калиброванного эталоном Alanine Spin Concentration Sample фирмы Bruker с концентрацией неспаренных электронов 1.75 × 1017 (±10%).
Дифференциальный термический анализ проводили на синхронном термоанализаторе SDT Q600 (TA Instruments) при скорости нагревания образцов 5 град/мин в интервале температур от 30 до 400 или 800°С в аргоне.
Синтез {[Pd(π-C5H7O2)] ∙ H2O}n (1). В раствор 224 мг (1 ммоль) Pd(CH3COO)2 в 20 мл метанола вводили 0.1 мл (1 ммоль) 3-пент. После перемешивания при 20–25°С в течение 2 ч реакционную смесь выдерживали 20 ч при +6°С до образования осадка светло-коричневого цвета, который отфильтровывали через фильтр Шотта №16, промывали бензолом (3 × 10 мл) и высушивали в вакууме при 0.7 мм рт. ст. до постоянной массы. Выход составил 82%.
Найдено, %: С 27.12; H 3.60.
Для C5H9O3Pd вычислено, %: С 26.86; Н 3.43.
ИК-спектр (ν, см–1): 1565, 1555 νas(COO–), 1394 νs(COO–), 3400–3200 ν(НОН).
КР-спектр (ν, см–1): 1518 ν(C=С), 366 ν(Pd–Pd).
Синтез [транс-PdCl2 (π-C5H8O2)(H2O)] (2). К раствору 383 мг (1 ммоль) (C6H5CN)2PdCl2 в 20 мл бензола при перемешивании добавляли 0.3 мл (3 ммоль) 3-пент. Синтез проводили в течение 30 ч при 20–25°С до образования осадка желтого цвета. Далее по методике синтеза 1. Выход 65%.
Найдено, %: С 23.34; Н 2.80.
Для C5H10O3Cl2Pd вычислено, %: С 20.32; Н 3.41.
ИК-спектр (ν, см–1): 1678 ν(C=O), 1519 ν(C=С), 338 ν(Pd–Cl), 3400–3200 ν(HОН).
Синтез {[Pd(π-C5H7O2)] ∙ C5H8O2}n (3). В раствор 224 мг (1 ммоль) Pd(CH3COO)2 в смеси 20 мл толуола + 20 мл гексана при перемешивании вводили 0.2 мл (2 ммоль) 4-пент. Синтез осуществляли в течение 4 ч при 20–25°С до образования осадка светло-коричневого цвета. Далее по методике синтеза 1. Выход 82%.
Найдено, %: С 39.22; Н 4.78.
Для C10H15O4Pd вычислено, %: С 39.43; Н 4.63.
ИК-спектр (ν, см–1): 1545 νas(COO–), 1417 νs(COO–), 1756 ν(C=O).
КР-спектр (ν, см–1): 1518 ν(C=С), 335 ν(Pd–Pd).
Синтез [PdCl2(π-C5H8O2)]2 (4). В раствор 383 мг (1 ммоль) (C6H5CN)2PdCl2 в 20 мл бензола приливали 0.5 мл (5 ммоль) 4-пент при перемешивании. Синтез проводили в течение 3 ч до образования осадка темно-оранжевого цвета, который отфильтровывали, промывали бензолом и петролейным эфиром. Далее по методике синтеза 1. Выход составил 83%.
Найдено, %: С 21.47; Н 2.69.
Для C10H16O4Cl2Pd2, вычислено, %: С 21.64; Н 2.90.
ИК-спектр (ν, см–1): 1697 ν(C=O); 1520 ν(C=С); 350, 319, 302 ν(Pd–Cl).
Синтез [Pd(C9H7O2)]n (5). В раствор 224 мг (1 ммоль) Pd3(CH3CO2)6 в 20 мл метанола добавляли 148 мг (1 ммоль) цин. Реакционную смесь перемешивали при 20–25°С в течение 24 ч до образования осадка оранжевого цвета. Далее по методике синтеза 1. Выход 57%.
Найдено, %: C 42.06; H 3.59.
Для C9H7O2Pd вычислено, %: C 42.69; H 2.77.
ИК-спектр (ν, см–1): 1566, 1538 νas(COO–); 1386 νs(COO–); 1634 ν(С=С).
КР-спектр (ν, см–1): 1636 ν(С=С), 360 ν(Pd–Pd).
Синтез {[Pd(C4H5O2)] · H2O}n (6). В раствор 224 мг (1 ммоль) Pd(CH3CO2)2 в 20 мл метанола вносили 86 мг (1 ммоль) крот. Далее по методике синтеза 1. Выход 45%.
Найдено, %: C 22.64; H 2.42.
Для C4H7O3Pd вычислено, %: C 22.97; H 3.35.
ИК-спектр (ν, см-1): 1575, 1533 νas(COO–); 1385 νs(COO–); 1640 ν(С=С); 3400–3100 ν(НОН).
КР-спектр (ν, см–1): 1646 ν(С=С), 323 ν(Pd–Pd).
Синтез {[Pd(C5H4O4)H2O] ∙ 2H2O}n (7). В раствор 224 мг (1 ммоль) Pd(CH3COО)2 в 20 мл метанола при перемешивании добавляли 148 мг (1 ммоль) итак. Синтез комплекса проводили при 20–25°С в течение 24 ч до образования осадка оранжевого цвета. Далее по методике синтеза 1. Выход 57%.
Найдено, %: C 20.32; H 3.27.
Для C5H10O7Pd вычислено, %: С 20.82; Н 3.47.
ИК-спектр (ν, см–1): 1528 νas(COO–); 1390 νs(COO–); 3400–3000 ν(НОН).
Синтез [Pd3(C5H5O4)6] (8). В круглодонную колбу помещали раствор 224 мг (1 ммоль) Pd(CH3COО)2 в 20 мл бензола и 260 мг (2 ммоль) итак. Синтез комплекса осуществляли при 45°С в течение 6 ч до образования осадка оранжевого цвета. Далее по методике синтеза 1. Выход 48%.
Найдено, %: C 33.48; H 3.80.
Для C30H30O24Pd3 вычислено, %: C 33.15; H 2.22.
ИК-спектр (ν, см–1): 1696 ν(С=О); 1594 νas(COO–); 1412, 1395 νs(COO–).
Результаты и обсуждение
Для выяснения влияния положения двойных связей в ненасыщенных монокарбоновых кислотах и условий синтеза на характер образующихся соединений были синтезированы и изучены восемь новых координационных полимеров Pd(I) и комплексов Pd(II): с 3-пент и 4-пент с одной двойной связью, не сопряженной с карбоксильной группой; с цин и крот с двойной связью, сопряженной с карбоксильной группой, и итак с двойной связью, сопряженной только с одной карбоксильной группой, c фрагментом, подобным в цин и крот.
Взаимодействие 3-пент (СН3–СН=СН–CH2–COOH) с ацетатом Pd(II) в метаноле сопровождается образованием координационного полимера Pd(I) {[Pd(π-C5H7O2)] ∙ H2O}n (1) (рис. 1), что подтверждается результатами микроанализа, ИК- и КР-спектроскопии, а также данными ТГА. ИК-спектр 1 содержит полосы νas(COO–) при 1565, 1555 см–1 и νs(COO–) при 1394 см–1, свидетельствующие о формировании мостиковых карбоксильных групп 3-пент в 1.
Рис. 1. Вид бесконечно развивающегося в двух направлениях строительного блока координационного полимера Pd(I) c 3-пент (1).
В КР-спектре 1 фиксируется полоса при 366 см–1, которая относится к валентным колебаниям связи Pd(I)–Pd(I), а также полоса при 1518 см–1, соответствующая координированной палладием(I) двойной связи.
Присутствие сольватной молекулы воды в 1 отмечается в ИК-спектре широкой полосой при 3400–3700 см–1. По данным ТГА, эндотермический процесс при 100°С сопровождается потерей сольватной молекулы воды с потерей массы 6.5%. Полная потеря молекулы воды соответствует потере 8.4% массы, однако этот процесс перекрывается экзотермическим процессом разложения 1, который начинается при 115°С.
Для подтверждения правильности отнесения в ИК-спектре 1 полосы координированной двойной связи С=С при 1518 см–1 лежащей в области частот валентного колебания мостиковых карбоксилатных групп в области 1500–1565 см–1, был применен известный метод замещения бензонитрильного лиганда в (C6H5CN)2PdCl2 ненасыщенным лигандом. Этот метод будет применяться в статье и далее, так как в присутствии иона хлора исключается ошибка выбора частоты колебаний координированной двойной связи в случае присутствия частот мостиковых карбоксилатных групп. В реакции 3-пент с (C6H5CN)2PdCl2 образуется моноядерный комплекс [PdCl2(π-C5H8O2)(H2O)] (2) (рис. 2). В ИК-спектре 2 наблюдается полоса координированной двойной связи ν(С=С) при 1518 см–1, подтверждающая правильность отнесения этой полосы к координированной двойной связи в координационном полимере 1. Полоса ν(ОН) при 3188 см–1 свидетельствует о присутствии в 2 координированной молекулы воды. Широкая полоса 3100–2600 см–1 в 1 характеризует межмолекулярные водородные связи свободных карбоксильных групп –СООН двух соседних комплексов 1.
Рис. 2. Строение комплекса Pd(II) с 3-пент (2).
Исследование координационного полимера 1 выявило его идентичность (по составу и строению) координационному полимеру Pd(I) с 4-пент [29], что свидетельствует об отсутствии влияния положения двойной связи в углеводородном радикале на состав координационного полимера.
Сравнительное изучение ЭПР-спектров 1 и упомянутого выше полимера с 4-пент показывает, что оба они парамагнитны. Уширение ЭПР-спектров обоих полимеров является следствием взаимодействия парамагнитных ионов Pd(I), свидетельствующим о незавершенности формирования связей Pd–Pd в этих полимерах. Оба координационных полимера содержат практически одинаковое количество неспаренных электронов: 1.06 × 1017 спин/г в 1 и 3.03 × 1017 спин/г в полимере с 4-пент. Приведенные выше данные свидетельствуют о том, что сдвиг двойной связи в 3-пент на одну углеродсодержащую группу к карбоксильной группе не влияет на скорость формирования связей Pd–Pd в них.
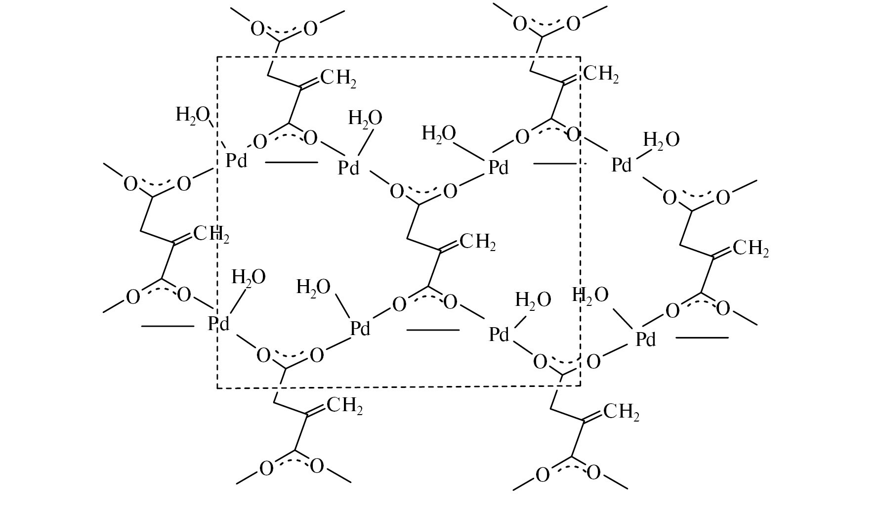
При взаимодействии 4-пент (СН2=СН–СН2–CH2–COOH) с ацетатом Pd(II) в смеси толуола с гексаном при соотношении реагентов 2 : 1 формируется координационный полимер Pd(I) {[Pd(π-C5H7O2)] ∙ C5H8O2}n (3). В ИК-спектре 3 фиксируются полосы колебаний мостиковых карбоксильных групп при 1545 см–1 νas(COO–) и 1415 см–1 νs(COO–). В КР-спектре 3 присутствуют полосы колебаний связи Pd–Pd при 336 см–1 и полоса колебаний координированной двойной связи в 4-пент при 1518 см–1, формирующей координационный полимер 3. Сольватную молекулу 4-пент характеризует полоса ν(С=О) при 1765 см–1, близкая по значению к ν(C=O) при 1789 см–1 для газообразной 4-пент.
Для уточнения правильности отнесения полосы νкоорд(С=С) при 1518 см–1 в 3 был синтезирован хлоридный комплекс [PdCl2(π-C5H8O2)]2 (4). Положение полосы νкоорд(С=С) при 1518 см–1 в 3 совпадает с ее положением при 1520 см–1 в ИК-спектре синтезированного биядерного комплекса [PdCl2(π-C5H8O2)]2 (4). Полоса некоординированной карбоксильной группы ν(С=О) при 1697 см–1 несколько занижена по сравнению с ее положением в димере 4 (1704 см–1), что является следствием образования сильных межмолекулярных водородных связей между двумя карбоксильными группами соседних молекул 4. Димерное строение 4 подтверждается присутствием в его ИК-спектре полос двух типов связей Pd–Cl: ν(Pd–Cl)конц при 350 см–1 и ν(Cl–Pd–Cl)мостик при 319 и 302 см–1 (рис. 3).
Рис. 3. Строение комплекса Pd(II) с 4-пент (4).
Сольватный характер молекулы 4-пент в 3 подтверждают и данные ТГА. Процесс потери массы 3 начинается при температуре 84°С, идентичной температуре кипения свободной 4-пент. Повышение температуры до 117–135°С сопровождается экзотермическим процессом разложения 3 с общей потерей массы 60.4%. Анализ остатка после разложения 3 показал в нем содержание углерода 10.16%, что соответствует теоретическому содержанию углерода в карбиде палладия PdС 10.14%. Однако этот результат требует дальнейшего исследования, поскольку ранее при термическом разложении полимеров Pd(II) в качестве остатка образовывалась окись Pd или металлический Pd.
Сравнительное исследование методом ЭПР 3 с сольватной молекулой 4-пент и его аналога {[Pd(C5H7O2)] ∙ H2O} с сольватной молекулой воды [29] показало, что оба полимера Pd(I) содержат парамагнитные центры, характеризующиеся разным содержанием неспаренных электронов. Содержание неспаренных электронов в 3 (2.14 × 1015 спин/г) на три порядка ниже, чем в его аналоге с сольватной молекулой воды (3.03 × 1018 спин/г), что свидетельствует об ускорении формирования связей Pd–Pd в полимере 3 в присутствии сольватной молекулы 4-пент. Следует отметить, что превращение 3 из парамагнитного в диамагнитный происходит в течение 4 мес. при его хранении при комнатной температуре, т.е. достраивание связей Pd–Pd возможно и в твердой фазе.
В результате взаимодействия ацетата Pd(II) с ненасыщенными монокарбоновыми кислотами цин (С6Н5CH=CHCOOH) и крот (СН3–СН=СН–COOH), имеющими в своем составе двойные связи, сопряженные с карбоксильной группой, при соотношении реагентов 1 : 1 в метаноле были выделены диамагнитные координационные полимеры Pd(I) с цин [Pd(C9H7O2)] (5) и крот {[Pd(C4H7O2)]H2O} (6). Полимерные цепочки формируются мостиковыми карбоксилатными группами, которые характеризуются в ИК-спектрах полосами νs(COO) при 1386 см–1 и νas(COO), лежащими в диапазоне частот 1575–1500 см–1. В отличие от ИК-спектров координационных полимеров Pd(I) 1 и 3 с монокарбоновыми кислотами 3-пент и 4-пент, полосы νas(COO) в спектрах 5 и 6 расщепляются на три полосы: 1571, 1555, 1511 см–1 в 5 и 1575, 1537, 1505 см–1 в 6. Расщепление можно объяснить влиянием на карбоксильные группы сильных транс-расположенных агостических связей Pd…H–C, образуемых в 5 терминальной СН-группой бензольного кольца цин, а в 6 – протоном СН3-группы крот. Образование в 5 агостической связи Pd…H–C CH-группой бензольного кольца цин вызывает исчезновение в спектре 5 полосы ν(Ph) при 1599 см–1, проявляющейся в ИК-спектре свободной цин. Изменения положения полос в ИК-спектрах крот также наблюдаются при формировании координационного полимера 6 с агостической связью. Так, присутствующая в ИК-спектре крот синглетная полоса δ(СН3) при 1428 см–1 в спектре 6 расщепляется на три полосы: при 1443, 1435 и 1421 см–1, что вызвано участием одного из атомов водорода метильной группы крот в образовании агостической связи Pd…H–C в координационном полимере.
Образование агостических связей в комплексах 5 и 6 приводит к изменениям в спектрах в диапазоне частот 3100–2800 см–1, где фиксируются характеристичные полосы ν(СН). Так, в ИК-спектре комплекса 5 полоса валентного колебания С–Н бензольного кольца смещена в низкочастотную область до 3050 см–1 по сравнению с ее значением в спектре цин при 3067 см–1. Аналогично в спектре 6 полосы νas(CH3) (2955 см–1) и νs(CH3) (2813 см–1) смещены в низкочастотную область относительно соответствующих полос (2976 и 2895 см–1) в спектре крот.
По данным ИК-спектроскопии, двойные связи С=С цин и крот не участвуют в образовании 5 и 6. Об этом свидетельствуют как полосы колебаний двойных связей С=С при 1634 (5) и 1647 см–1 (6) в ИК-спектрах, так и полосы ν(С=С) при 1634 (5) и 1647 см–1 (6) в КР-спектрах, идентичные полосам колебаний двойных связей ν(С=С) при 1627 см–1 (цин) и 1653, 1636 см–1 (крот) в ИК-спектрах. Аналогичное положение полос колебаний двойных связей выявлено в спектрах трехъядерных комплексов Pd(II) с цин (1632 см–1) и крот (1646 см–1) [28].
Остовы координационных полиэдров 5 и 6 формируются также связями Pd–Pd, проявляющимися в спектрах КР полосами ν(Pd–Pd) при 323 (5) и 360 см–1 (6) (рис. 4).
Рис. 4. Вид бесконечно развивающегося в двух направлениях строительного блока координационных полимеров Pd(I): а – c цин (5), б – фрагмент строения агостической связи в координационном полимере Pd(I) с крот (6) при идентичности его строения с 5.
Присутствие сольватной молекулы воды в 6 подтверждается в ИК-спектре широкой полосой ν(OH) при 3400–3200 см–1, а также данными ТГА. При 70°С в 6 фиксируется потеря массы ~7%, отвечающая потере одной молекулы воды. Дальнейшее нагревание 6 до 125°С приводит к разложению 6, сопровождаемому на термограмме экзотермическим эффектом при 120–140°С. Сравнительное рассмотрение термической стабильности (по данным ТГА) координационных полимеров 1, 3, 5 и 6 свидетельствует о более высокой термической устойчивости 5 и 6 (с агостической связью) по сравнению с 1 и 4 (с координированной двойной связью), термический распад которых начинается уже при 84–115°С соответственно.
Для сравнения характера координационных полимеров 5 и 6, образуемых монокарбоновыми кислотами с двойной связью, сопряженной с карбоксильной группой, было изучено взаимодействие ацетата палладия с итак (НООС–СН2–С(=СН2)–СООН) – дикарбоновой кислотой, в которой двойная связь сопряжена только с одной карбоксильной группой подобно фрагменту в цин и крот. Вместе с тем присутствие в итак второй карбоксильной группы может повлиять на состав и свойства образуемого итак координационного полимера Pd(I).
При взаимодействии итак с ацетатом Pd(II) в метаноле при соотношении реагентов 1 : 1 образуется координационный полимер Pd(I) {[Pd(C5H4O4)H2O] ∙ 2H2O}n (7). В ИК-спектре 7 наблюдаются полосы только карбоксилатных групп νas(COO–) при 1525 см–1 и νs(COO–) при 1394 см–1, что свидетельствует об участии обеих карбоксилатных групп в формировании 7 аналогично координационным полимерам Pd(I) с малеиновой, фумаровой и цитраконовой кислотами [30]. В координационном полимере двойная связь итак не участвует в формировании 7, о чем свидетельствуют идентичность полос колебаний двойной связи и частота колебаний двойной связи ν(C=С) 1628 см–1 в спектрах 7 и итак. Присутствие молекул воды в 7 характеризуется широкой полосой ν(ОН) в области 3400–3000 см–1 (рис. 5).
Рис. 5. Вид бесконечно развивающегося в двух направлениях блока координационного полимера Pd(I) с итак (7).
Потеря двух сольватных молекул воды в 7 составляет 13%, однако на термограмме фиксируется только потеря массы 9%, так как при дальнейшем нагревании этот эндотермический эффект перекрывается экзотермическим процессом разложения 7 при 130°С. Потеря массы 7 при нагревании до 500°С составляет 48.3%, что соответствует образованию остатка, содержащего только Pdмет.
Взаимодействие итак с ацетатом Pd(II) в бензоле сопровождается образованием трехъядерного комплекса Pd(II) [Pd3(C5H4O4)6] (8), в котором координируется только одна карбоксильная группа, что подтверждается наличием в его ИК-спектре полос колебаний νas(COO) при 1594 см–1 и νs(COO) при 1412 см–1. Присутствие некоординированной карбоксильной группы подтверждается в ИК-спектре 8 колебаниями ν(C=O) при 1696 см–1 и νas(COO) при 1395 см–1 (рис. 6).
Рис. 6. Строение трехъядерного комплекса Pd(II) с итак (8).
Координационный полимер Pd(I) с итак характеризуется присутствием диамагнитных центров, содержащих 5.88 × 1018 спин/г неспаренных электронов, количество которых остается стабильным более года хранения полимера при комнатной температуре, что представляет несомненный интерес для использования их в качестве прекурсоров гетерогенных катализаторов для органических реакций.
Заключение
Таким образом, в работе показано, что при взаимодействии ацетата Pd(II) с ненасыщенными монокарбоновыми кислотами 3-пент, 4-пент и дикарбоновой кислотой итак в метаноле образуются координационные полимеры Pd(I), формируемые мостиковыми карбоксильными группами и связями Pd–Pd. Достраивание координационных полимеров 1 и 3 с монокарбоновыми кислотами с двойными связями, не сопряженными с карбоксильной группой, осуществляется координированными палладием двойными связями. В случае монокарбоновых кислот с двойными связями, сопряженными с карбоксильной группой, координационные полимеры 5 и 6 дополняются агостическими связями. В случае дикарбоновой кислоты c двойной связью, сопряженной только с одной карбоксильной группой, координационный полимер 7 формируется обеими карбоксилатными группами и достраивается координированной палладием молекулой воды.
Финансирование работы
Работа выполнена в рамках государственного задания ИОНХ РАН и ИФХЭ РАН в области фундаментальных научных исследований. Исследования частично проведены на оборудовании ЦКП ФМИ ИОНХ РАН и ЦКП ИФХЭ РАН.
Конфликт интересов
Авторы заявляют, что у них нет конфликта интересов.
About the authors
I. A. Efimenko
Kurnakov Institute of General and Inorganic Chemistry of the Russian Academy of Sciences
Author for correspondence.
Email: ines@igic.ras.ru
Russian Federation, Moscow, 119991
N. A. Ivanova
Kurnakov Institute of General and Inorganic Chemistry of the Russian Academy of Sciences
Email: ines@igic.ras.ru
Russian Federation, Moscow, 119991
O. S. Erofeeva
Kurnakov Institute of General and Inorganic Chemistry of the Russian Academy of Sciences
Email: ines@igic.ras.ru
Russian Federation, Moscow, 119991
N. N. Efimov
Kurnakov Institute of General and Inorganic Chemistry of the Russian Academy of Sciences
Email: ines@igic.ras.ru
Russian Federation, Moscow, 119991
L. I. Demina
Frumkin Institute of Physical chemistry and Electrochemistry of the Russian Academy of Sciences
Email: ines@igic.ras.ru
Russian Federation, Moscow, 119991
A. A. Averin
Frumkin Institute of Physical chemistry and Electrochemistry of the Russian Academy of Sciences
Email: ines@igic.ras.ru
Russian Federation, Moscow, 119991
N. P. Simonenko
Kurnakov Institute of General and Inorganic Chemistry of the Russian Academy of Sciences
Email: ines@igic.ras.ru
Russian Federation, Moscow, 119991
References
- Robin A., From K.M. // Coord. Chem. Rev. 2006. V. 250. P. 2127.
- Jams S. // Chem. Soc. Rev. 2003. V. 32. P. 276.
- Moulton B., Zaworotko M. // Chem. Rev. 2001. V. 101. P. 1296.
- Moulton B., Zaworotko M., Opin C. // Solid State Mater. Sci. 2002. V. 6. P. 117.
- Takamizawa S., Yamaguchi K., Mori W. // Inorg. Chem. Commun. 1998. V. 1. P. 177.
- Mori W., Hoshino H., Nishimoto Y. et al. // Chem. Lett. 1999. V. 331. P. 123.
- Mori W., Takamizawa S. // J. Solid State Chem. 2000. V. 152. P. 120.
- Mori W., Sato T., Ohmura T. et al. // J. Solid State Chem. 2005. V. 178. P. 2555.
- Sherchnev P., Kudryavtsev E. еt al. // Mater. Today: Proceeding. 2021. V. 34. P. 235.
- Brooknart M., Green M.L.H., Parkin G. // PNAS. 2007. V. 104. P. 6909.
- Sajjad M.A., Chistensen K.E., Rels N.M. et al. // Chem. Commun. 2017. V. 53. P. 4187.
- Cotton F.A., Jacour T., Stanislovski A.G. // J. Am. Chem. Soc. 1974. V. 96. P. 5074.
- Trofimenko S. // Inorg. Chem. 1970. V. 9. P. 2493.
- Sajjad M., Schwerdtfeger P., Harrison J. et al. // Polyhedron. 2018. V. 151. P. 68.
- Harrison Y., Nielson A., Sajjad A. et al. // Organomet. Chem. 2019. V. 38. P. 1903.
- Lin X., Wu W., Mo Y. // Coord. Chem. Rev. 2020. V. 419. P. 213401.
- Maggioni D., Tunzi D., Ylliano P. et al. // Inorg. Chim. Acta. 2022. V. 529. P. 120641.
- Efremenko I., Montag M. // Organometallics. 2022. V. 41. P. 2022.
- Baily N., Jenkins J., Mason R. et al. // Chem. Commun. 1965. V. 11. P. 237.
- Ibeis Y. // Abst. Am. Cryst. Assoc. 1965. V. 10. P. 34.
- Ghosh A.K., Kevan L. // J. Am. Soc. 1988. V. 110. P. 8044.
- Prakash A., Waswicz T., Kevan L. // J. Phys. Chem. 1997. V. 101. P. 11985.
- Stokes L., Murphy D., Farley P. et al. // Phys. Chem. Chem. Phys. 1999. V. 1. P. 621.
- Kikuzuno Y., Kagami S., Nauto S. et al. // Chem. Lett. 1981. V. P. 1249.
- Descorme C., Gelin P., Lewyer C. et al. // J. Catal. 1998. V. 177. P. 352.
- Бучаченко А.Л., Бердинский В.Л. // Успехи химии. 2004. Т. 73. С. 1123.
- Stromnova T.A., Monakhov K.Yu., Campora J. et al. // Inorg. Chim. Acta. 2007. V. 360. P. 4111.
- Efimenko I.A., Ankudinova P.V., Kuz’mina L.G. et al. // Russ. J. Inorg. Chem. 2015. V. 60. P. 848.
- Efimenko I.A., Erofeeva O.S., Ugolkova E.A. et al. // Mendeleev Commun. 2018. V. 28. P. 632.
- Ефименко И.А., Ефимов Н.Н., Ерофеева О.С. и др. // Коорд. химия. 2021. Т. 47. № 10. С. 640.
Supplementary files








