A study of the impact of the initial reagent’s chemical nature on the mechanochemical synthesis of silver-substituted hydroxyapatite
- Authors: Makarova S.V.1, Borodulina I.A.1, Eremina N.V.1, Prosanov I.Y.1, Bulina N.V.1
-
Affiliations:
- Institute of State Chemistry and Mechanochemistry SB RAS
- Issue: Vol 70, No 2 (2025)
- Pages: 149-158
- Section: СИНТЕЗ И СВОЙСТВА НЕОРГАНИЧЕСКИХ СОЕДИНЕНИЙ
- URL: https://medbiosci.ru/0044-457X/article/view/289422
- DOI: https://doi.org/10.31857/S0044457X25020029
- EDN: https://elibrary.ru/IDJBUO
- ID: 289422
Cite item
Abstract
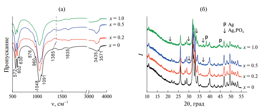
Samples of hydroxyapatite with the substitution of calcium ions for silver ions were obtained by the mechanochemical method using silver nitrate and silver phosphate substituent ions as sources. The samples were characterised using X-ray diffraction and FTIR spectroscopy. It was observed that the use of AgNO3 resulted in the presence of residual nitrate in the synthesis products. Conversely, the use of Ag3PO4 enabled the obtaining of single-phase silver-substituted carbonate-hydroxyapatite. The introduction of silver cations in the position of calcium cations was found to increase the parameters of the hydroxyapatite crystal lattice.
Full Text
About the authors
S. V. Makarova
Institute of State Chemistry and Mechanochemistry SB RAS
Author for correspondence.
Email: makarova@solid.nsc.ru
Russian Federation, Novosibirsk, 630090
I. A. Borodulina
Institute of State Chemistry and Mechanochemistry SB RAS
Email: makarova@solid.nsc.ru
Russian Federation, Novosibirsk, 630090
N. V. Eremina
Institute of State Chemistry and Mechanochemistry SB RAS
Email: makarova@solid.nsc.ru
Russian Federation, Novosibirsk, 630090
I. Yu. Prosanov
Institute of State Chemistry and Mechanochemistry SB RAS
Email: makarova@solid.nsc.ru
Russian Federation, Novosibirsk, 630090
N. V. Bulina
Institute of State Chemistry and Mechanochemistry SB RAS
Email: makarova@solid.nsc.ru
Russian Federation, Novosibirsk, 630090
References
- Habraken W., Habibovic P., Epple M. et al. // Mater. Today. 2016. V. 19. № 2. P. 69. https://doi.org/10.1016/j.mattod.2015.10.008
- Dorozhkin S.V. // Acta Biomater. 2012. V. 8. № 3. P. 963. https://doi.org/10.1016/j.actbio.2011.09.003
- Supova M. // Ceram. Int. 2015. V. 41. № 8. P. 9203. https://doi.org/10.1016/j.ceramint.2015.03.316
- Lim P.N., Chang L., San Thian E. // Nanomed.: Nano-technol., Biol., Med. 2015. V. 11. № 6. P. 1331. https://doi.org/10.1016/j.nano.2015.03.016
- Bellantone M., Williams H.D., Hench L.L. // Antimicrob. Agents Chemother. 2002. V. 46. № 6. P. 1940. https://doi.org/10.1128/aac.46.6.1940-1945.2002
- Bee S.L., Bustami Y., Ul-Hamid A. et al. // J. Mater. Sci.: Mater. Med. 2021. V. 32. № 106. P. 106. https://doi.org/10.1007/s10856-021-06590-y
- Spadaro J.A., Berger T.J., Barranco S.D. et al. // Antimicrob. Agents Chemother. 1974. V. 6. № 5. P. 637. https://doi.org/10.1128/aac.6.5.637
- Tite T., Popa A.C., Balescu L.M. et al. // Mater. 2018. V. 11. № 11. P. 2081. https://doi.org/10.3390/ma11112081
- Голованова О.А. // Журн. неорган. химии. 2023. Т. 68. № 3. С. 393. https://doi.org/10.31857/S0044457X22700155
- Денисова Л.Т., Молокеев М.С., Каргин Ю.Ф. и др. // Неорган. материалы. 2022. Т. 58. № 8. С. 861. https://doi.org/10.31857/S0002337X22070089
- Stanic V., Janackovic D., Dimitrijevic S. et al. // Appl. Surf. Sci. 2011. V. 257. № 9. P. 4510. https://doi.org/10.1016/j.apsusc.2010.12.113
- Kim T.N., Feng Q.L., Kim J.O. et al. // J. Mater. Sci.: Mater. in Med. 1998. V. 9. P. 129. https://doi.org/10.1023/A:1008811501734
- Rameshbabu N., Sampath Kumar T.S., Prabhakar T.G. et al. // J. Biomed. Mater. Res., Part A. 2007. V. 80. № 3. P. 581. https://doi.org/10.1002/jbm.a.30958
- Samani S., Hossainalipour S.M., Tamizifar M. et al. // J. Biomed. Mater. Res., Part A. 2013. V. 101. № 1. P. 222. https://doi.org/10.1002/jbm.a.34322
- Iconaru S.L., Chapon P., Le Coustumer P. et al. // Sci. World J. 2014. V. 2014. № 1. P. 165351. https://doi.org/10.1155/2014/165351
- Honda M., Kawanobe Y., Ishii K. et al. // Mater. Sci. Eng.: C. 2013. V. 33. № 8. P. 5008. https://doi.org/10.1016/j.msec.2013.08.026
- Fakharzadeh A., Ebrahimi-Kahrizsangi R., Nasiri-Tabrizi B. et al. // Ceram. Int. 2017. V. 43. № 15. P. 12588. https://doi.org/10.1016/j.ceramint.2017.06.136
- Makarova S.V., Borodulina I.A., Prosanov I.Yu. et al. // Ceram. Int. 2023. V. 49. № 23. P. 37957. https://doi.org/10.1016/j.ceramint.2023.09.125
- Chaikina M.V., Bulina N.V., Vinokurova O.B. et al. // Ceram. Int. 2019. V. 45. № 14. P. 16927. https://doi.org/10.1016/j.ceramint.2019.05.239
- Chaikina M.V., Bulina N.V., Vinokurova O.B. et al. // Ceram. 2022. V. 5. № 3. P. 404. https://doi.org/10.3390/ceramics5030031
- Никольский Б.П. Справочник химика. Т. 2. Основные свойства неорганических и органических соединений. Л.: Химия, 1971. 1168 с.
- Stahli C., Thuring J., Galea L. et al. // Acta Crystallogr., Sect. B: Struct. Sci., Cryst. Eng. Mater. 2016. V. 72. № 6. P. 875. https://doi.org/10.1107/S2052520616015675
- Макарова С.В., Булина Н.В., Просанов И.Ю. и др. // Журн. неорган. химии. 2020. Т. 65. № 12. С. 1626. https://doi.org/10.31857/S0044457X20120119
- Lafon J.P., Champion E., Bernache-Assollant D. // J. Eur. Ceram. Soc. 2008. V. 28. № 1. P. 139. https://doi.org/10.1016/j.jeurceramsoc.2007.06.009
- Chaikina M.V., Bulina N.V., Prosanov I.Y. et al. // Chem. Papers. 2023. V. 77. № 10. P. 5763. https://doi.org/10.1007/s11696-023-02895-0
- Lide D.R. CRC Handbook of Chemistry and Physics, 90th edition. Oxfordshire: Taylor & Francis, 2009. 2828 p.
- Kwon Y.S., Gerasimov K.B., Yoon S.K. // J. Alloys Compd. 2002. V. 346. № 1–2. P. 276. https://doi.org/10.1016/S0925-8388(02)00512-1
- Marques C.F., Olhero S., Abrantes J.C.C. et al. // Ceram. Int. 2017. V. 43. № 17. P. 15719. http://dx.doi.org/10.1016/j.ceramint.2017.08.133
- Лурье Ю.Ю. Справочник по аналитической химии. М.: Химия, 1971.
Supplementary files









