Size-morphological structure and ecological strategies of prokaryotoplankton in a large mountain lake Sevan (Armenia)
- Authors: Kuznetsova E.V.1, Kosolapov D.B.1, Kosolapova N.G.1, Skopina M.Y.1
-
Affiliations:
- Papanin Institute for Biology of Inland Waters, RAS
- Issue: Vol 84, No 4 (2023)
- Pages: 243-262
- Section: Articles
- URL: https://medbiosci.ru/0044-4596/article/view/148101
- DOI: https://doi.org/10.31857/S0044459623040048
- EDN: https://elibrary.ru/ANBXFD
- ID: 148101
Cite item
Full Text
Abstract
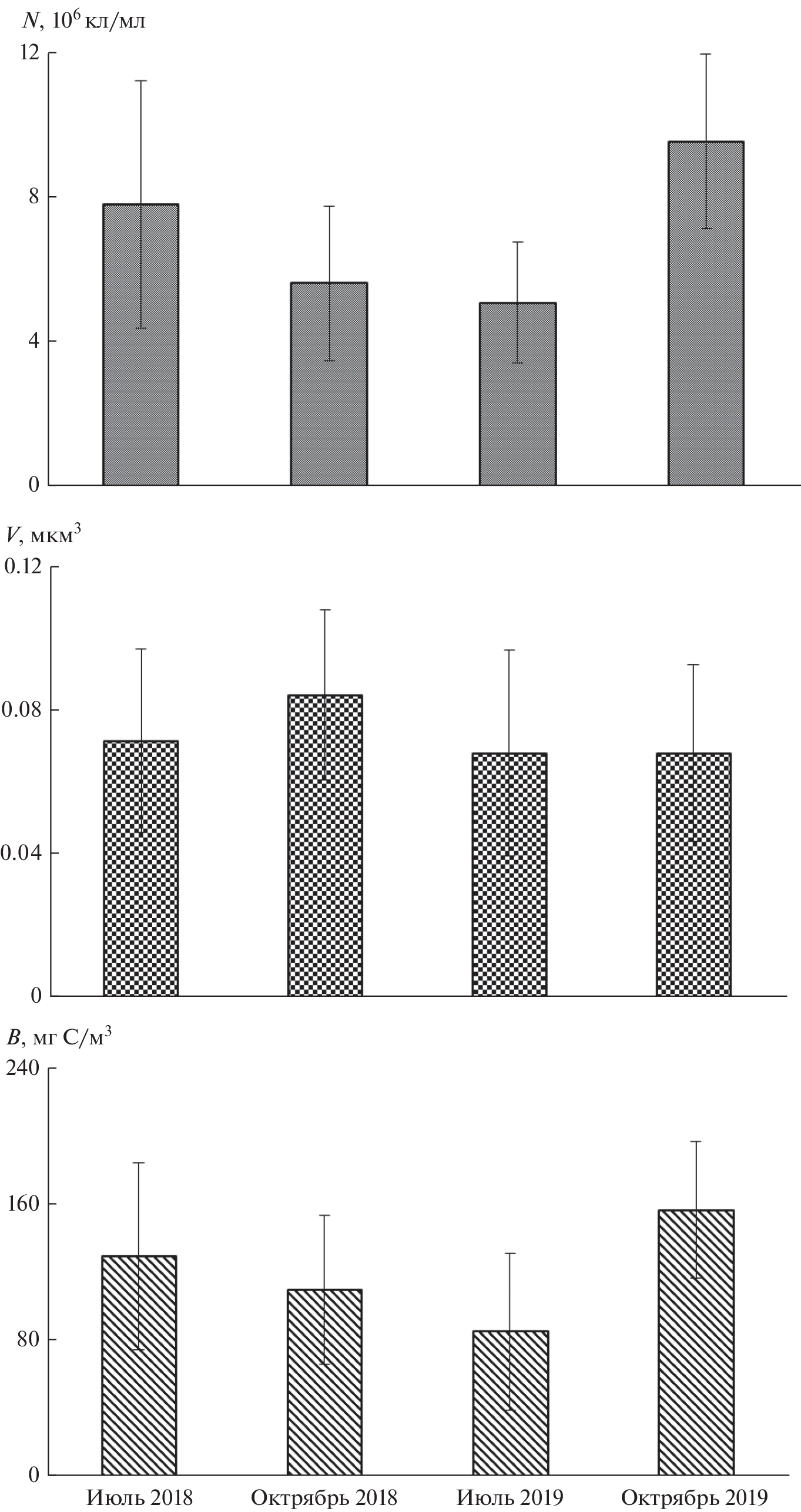
The dynamics of the size-morphological groups of heterotrophic prokaryotoplankton of the largest freshwater reservoir in the Caucasus, Lake Sevan (Armenia) has been studied, which makes it possible to explain its spatio-temporal organization and succession. The lake is characterized by an alternation of stable and unstable periods of existence of hydrobionts due to abrupt changes in environmental conditions, mainly caused by anthropogenic impacts. In the community of planktonic prokaryotes of the lake, the following size-morphological groups were distinguished: small cocci and coccobacilli, small rods and vibrios, medium-sized cocci and coccobacilli, large rods and vibrios, filaments, as well as cells associated with detrital particles. The main contribution (on average 55.5%) to the formation of the prokaryotoplankton biomass of the lake was made by small rods and vibrios. The biomass of each of the groups fluctuated in time and space within relatively narrow limits, and the development of the groups occurred in close relationship with each other. Apparently, different size-morphological groups of prokaryotes are adapted to exist within similar ecological and phylogenetic niches, and jointly and consistently perform common functions in the mineralization of organic matter and trophic interactions in the lake. At the same time, these groups implement various ecological strategies that can be successful at different periods of the ecosystem’s existence.
About the authors
E. V. Kuznetsova
Papanin Institute for Biology of Inland Waters, RAS
Author for correspondence.
Email: kuzel@ibiw.ru
Russia, 152742, Nekouzsky Distr.,Yaroslavl Region, Borok,
D. B. Kosolapov
Papanin Institute for Biology of Inland Waters, RAS
Email: kuzel@ibiw.ru
Russia, 152742, Nekouzsky Distr.,Yaroslavl Region, Borok,
N. G. Kosolapova
Papanin Institute for Biology of Inland Waters, RAS
Email: kuzel@ibiw.ru
Russia, 152742, Nekouzsky Distr.,Yaroslavl Region, Borok,
M. Yu. Skopina
Papanin Institute for Biology of Inland Waters, RAS
Email: kuzel@ibiw.ru
Russia, 152742, Nekouzsky Distr.,Yaroslavl Region, Borok,
References
- Косолапов Д.Б., 2016. Бактериопланктон озера Севан // Озеро Севан. Экологическое состояние в период изменения уровня воды. Ярославль: Филигрань. С. 79–92.
- Крылов А.В., Айрапетян А.О., Овсепян А.А., Сабитова Р.З., Габриелян Б.К., 2021. Межгодовые изменения весеннего зоопланктона пелагиали озера Севан (Армения) в ходе повышения ихтиомассы // Биология внутр. вод. № 1. С. 95–98. https://doi.org/10.31857/S032096522101006X
- Озеро Севан. Экологическое состояние в период изменения уровня воды, 2016 / Отв. ред. Крылов А.В. Ярославль: Филигрань. 328 с.
- Павлова М.Д., Асатурова А.М., Козицын А.Е., 2021. Форма клеток бактерий. Некоторые особенности ультраструктуры, эволюции и экологии // Журн. общ. биологии. Т. 82. № 4. С. 270–282. https://doi.org/10.31857/S0044459621040047
- Сахарова Е.Г., Крылов А.В., Сабитова Р.З., Цветков А.И., Гамбарян Л.Р. и др., 2020. Горизонтальное и вертикальное распределение фитопланктона высокогорного озера Севан (Армения) в период летнего цветения цианопрокариот // Сиб. экол. журн. № 1. С. 76–88. https://doi.org/10.15372/SEJ20200106
- Andrews J.H., Harris R.F., 1986. r- and K-selection and microbial ecology // Advances in Microbial Ecology. N.-Y.: Springer Science+Business Media. P. 99–147.
- Asatryan V., Stepanyan L., Hovsepyan A., Khachikyan T., Mamyan A., Hambaryan L., 2022. The dynamics of phytoplankton seasonal development and its horizontal distribution in Lake Sevan (Armenia) // Environ. Monit. Assess. V. 194. Art. 757. https://doi.org/10.1007/s10661-022-10446-5
- Batani G., Pérez G., Martínez de la Escalera G., Piccini C., Fazi S., 2016. Competition and protist predation are important regulators of riverine bacterial community composition and size distribution // J. Freshwat. Ecol. V. 31. № 4. P. 609–623. https://doi.org/10.1080/02705060.2016.1209443
- Bergeijk D.A., van, Terlouw B.R., Medema M.H., Wezel G.P., van, 2020. Ecology and genomics of Actinobacteria: new concepts for natural product discovery // Nat. Rev. Microbiol. V. 18. P. 546–558. https://doi.org/10.1038/s41579-020-0379-y
- Beveridge T.J., 1988. The bacterial surface: General considerations towards design and function // Can. J. Microbiol. V. 34. № 4. P. 363–372. https://doi.org/10.1139/m88-067
- Borsheim K.Y., 1993. Native marine bacteriophages // FEMS Microbiol. Ecol. V. 102. P. 141–159. https://doi.org/10.1016/0378-1097(93)90197-A
- Caron D.A., 1983. Technique for enumeration of heterotrophic and phototrophic nanoplankton, using epifluorescence microscopy, and comparison with other procedures // Appl. Environ. Microbiol. V. 46. № 2. P. 491–498. https://doi.org/10.1128/aem.46.2
- Caron D.A., Dam H.G., Kremer P., Lessard E.J., Madin L.P. et al., 1995. The contribution of microorganisms to particulate carbon and nitrogen in surface waters of the Sargasso Sea near Bermuda // Deep Sea Res. V. 42. P. 943–972. https://doi.org/10.1016/0967-0637(95)00027-4
- Comte J., Jacquet S., Viboud S., Fontvieille D., Millery A. et al., 2006. Microbial community structure and dynamics in the largest natural French lake (Lake Bourget) // Microb. Ecol. V. 52. P. 72–89. https://doi.org/10.1007/s00248-004-0230-4
- Corno G., Caravati E., Callieri C., Bertoni R., 2008. Effects of predation pressure on bacterial abundance, diversity, and size-structure distribution in an oligotrophic system // J. Limnol. V. 67. № 2. P. 107–119. https://doi.org/10.4081/jlimnol.2008.107
- Falkowski P.G., Fenchel T., Delong E.F., 2008. The microbial engines that drive Earth’s biogeochemical cycles // Science. V. 320. № 5879. P. 1034–1039. https://doi.org/10.1126/science.1153213
- Fischer U.R., Velimirov B., 2000. Comparative study of the abundance of various bacterial morphotypes in an eutrophic freshwater environment determined by AODC and TEM // J. Microbiol. Methods. V. 39. № 3. P. 213–224. https://doi.org/10.1016/S0167-7012(99)00121-9
- Foster K.R., Bell T., 2012. Competition, not cooperation, dominates interactions among culturable microbial species // Curr. Biol. V. 22. № 19. P. 1845–1850. https://doi.org/10.1016/j.cub.2012.08.005
- Fuhrman J.A., Noble R.T., 1995. Viruses and protists cause similar bacterial mortality in coastal seawater // Limnol. Oceanogr. V. 40. P. 1236–1242. https://doi.org/10.4319/lo.1995.40.7.1236
- Garcia A., Goñi P., Cieloszyk J., Fernandez M.T., Calvo-Beguería L. et al., 2013. Identification of free-living amoebae and amoeba-associated bacteria from reservoirs and water treatment plants by molecular techniques // Environ. Sci. Technol. V. 47. № 7. P. 3132–3140. https://doi.org/10.1021/es400160k
- Gasol J.M., Giorgio P.A., del Massana R., Duarte C.M., 1995. Active versus inactive bacteria: Size-dependence in a coastal marine plankton community // Mar. Ecol. Prog. Ser. V. 128. P. 91–97. https://doi.org/10.3354/meps128091
- Hahn M.W., 2003. Isolation of strains belonging to the cosmopolitan Polynucleobacter necessarius cluster from freshwater habitats located in three climatic zones // Appl. Environ. Microbiol. V. 69. P. 5248–5254. https://doi.org/10.1128/AEM.69.9.5248-5254.2003
- Hahn M.W., Hofle M.G., 1999. Flagellate predation on a bacterial model community: Interplay of size-selective grazing, specific bacterial cell size, and bacterial community composition // Appl. Environ. Microbiol. V. 65. P. 4863–4872. https://doi.org/10.1128/AEM.65.11.4863-4872.1999
- Hahn M.W., Hofle M.G., 2001. Grazing of protozoa and its effect on populations of aquatic bacteria // FEMS Microbiol. Ecol. V. 35. P. 113–121. https://doi.org/10.1111/j.1574-6941.2001.tb00794.x
- Hambaryan L.R., Stepanyan L.G., Mikaelyan M.V., Gyurjyan Q.G., 2020. The bloom and toxicity of cyanobacteria in Lake Sevan // Proc. YSU B: Chem. Biol. Sci. V. 54. № 2. P. 168–176. https://doi.org/10.46991/PYSU:B/2020.54.2.168
- Jia Yu., Whalen J.K., 2020. A new perspective on functional redundancy and phylogenetic niche conservatism in soil microbial communities // Pedosphere. V. 30. № 1. P. 18–24. https://doi.org/10.1016/S1002-0160(19)60826-X
- Jurgens K., Matz C., 2002. Predation as a shaping force for the phenotypic and genotypic composition of planktonic bacteria // Antonie van Leeuwenhoek. V. 81. P. 413–434. https://doi.org/10.1023/a:1020505204959
- Jurgens K., Pernthaler J., Schalla S., Amann R., 1999. Morphological and compositional changes in a planktonic bacterial community in response to enhanced protozoan grazing // Appl. Environ. Microbiol. V. 65. № 3. P. 1241–1250. https://doi.org/10.1128/AEM.65.3.1241-1250.1999
- Kirschner A.K.T., Velimirov B., 1997. Seasonal study of bacterial community succession in a temperate backwater system indicated by variation in morphotype numbers, biomass and secondary production // Microb. Ecol. V. 34. P. 27–38. https://www.jstor.org/stable/4251501
- Krambeck C., Krambeck H.-J., Overbeck J., 1981. Microcomputer-assisted biomass determination of plankton bacteria on scanning electron micrographs // Appl. Environ. Microbiol. V. 42. № 1. P. 142–149. https://doi.org/10.1128/aem.42.1
- La Ferla R., Azzaro F., Azzaro M., Caruso G., Decembrini F. et al., 2005. Microbial contribution to carbon biogeochemistry in the Central Mediterranean Sea: Variability of activities and biomass // J. Mar. Syst. V. 57. № 1–2. P. 146–166. https://doi.org/10.1016/j.jmarsys.2005.05.001
- Lampert W., 2011. Daphnia: Development of a Model Organism in Ecology and Evolution. Oldendorf; Luhe: IEI Publishers. 250 p.
- Langenheder S., Jurgens K., 2001. Regulation of bacterial biomass and community structure by metazoan and protozoan predation // Limnol. Oceanogr. V. 46. P. 121–134. https://doi.org/10.4319/lo.2001.46.1.0121
- Lebaron P., Servais P., Agogue H., Courties C., Joux F., 2001. Does the high nucleic acid content of individual bacterial cells allow us to discriminate between active cells and inactive cells in aquatic systems? // Appl. Environ. Microbiol. V. 67. P. 1775–1782. https://doi.org/10.1128/AEM.67.4.1775-1782.2001
- Martiny A.C., Treseder K., Pusch G., 2013. Phylogenetic conservatism of functional traits in microorganisms // ISME J. V. 7. P. 830–838. https://doi.org/10.1038/ismej.2012.160
- Newton R.J., Jones S.E., Eiler A., McMahon K.D., Bertilsson S., 2011. A guide to the natural history of freshwater lake bacteria // Microbiol. Mol. Biol. Rev. V. 75. № 1. P. 14–49. https://doi.org/10.1128/MMBR.00028-10
- Newton R.J., Shade A., 2016. Lifestyles of rarity: Understanding heterotrophic strategies to inform the ecology of the microbial rare biosphere // Aquat. Microb. Ecol. V. 78. P. 51–63. https://doi.org/10.3354/ame01801
- Norland S., 1993. The relationship between biomass and volume of bacteria // Handbook of Methods in Aquatic Microbial Ecology. Boca Raton: Lewis Publishers. P. 303–308.
- Pernthaler A., Pernthaler J., Amann R., 2004. Sensitive multi-color fluorescence in situ hybridization for the identification of environmental microorganisms // Molecular Microbial Ecology Manual. Dordrecht; Boston; London: Kluwer Academic Press. P. 711–726.
- Pernthaler J., 2005. Predation on prokaryotes in the water column and its ecological implications // Nat. Rev. Microbiol. V. 3. P. 537–546. https://doi.org/10.1038/nrmicro1180
- Pernthaler J., Glockner F.-O., Unterholzner S., Alfreider A., Psenner R., Amann R., 1998. Seasonal community and populations dynamics of pelagic bacteria and Archaea in a high mountain lake // Appl. Environ. Microbiol. V. 64. P. 4299–4306. https://doi.org/10.1128/AEM.64.11.4299-4306.1998
- Pernthaler J., Posch T., Simek K., Vrba J., Pernthaler A. et al., 2001. Predator-specific enrichment of Actinobacteria from a cosmopolitan freshwater clade in mixed continuous culture // Appl. Environ. Microbiol. V. 67. № 5. P. 2145–2155. https://doi.org/10.1128/AEM.67.5.2145-2155
- Pernthaler J., Sattler B., Simek K., Schwarzenbacher A., Psenner R., 1996. Top-down effects on the size biomass distribution of a freshwater bacterioplankton community // Aquat. Microb. Ecol. V. 10. P. 255–263. https://doi.org/10.3354/ame010255
- Porter K.G., Feig Y.S., 1980. The use of DAPI for identifying and counting aquatic microflora // Limnol. Oceanogr. V. 25. № 5. P. 943–948. https://doi.org/10.4319/lo.1980.25.5.0943
- Posch T., Franzoi J., Prader M., Salcher M.M., 2009. New image analysis tool to study biomass and morphotypes of three major bacterioplankton groups in an alpine lake // Aquat. Microb. Ecol. V. 54. P. 113–126. https://doi.org/10.3354/ame01269
- Pradeep Ram A.S., Mari X., Brune J., Torréton J.P., Chu V.T. et al., 2018. Bacterial-viral interactions in the sea surface microlayer of a black carbon-dominated tropical coastal ecosystem (Halong Bay, Vietnam) // Elem. Sci. Anth. V. 6. Art. 13. https://doi.org/10.1525/elementa.276
- Pradeep Ram A.S., Nishimura Y., Tomaru Y., Nagasaki K., Nagata T., 2010. Seasonal variation in viral-induced mortality of bacterioplankton in the water column of a large mesotrophic lake (Lake Biwa, Japan) // Aquat. Microb. Ecol. V. 58. P. 249–259. https://doi.org/10.3354/ame01381
- Rothhaupt K.O., 1997. Nutrient turnover by freshwater bacterivorous flagellates: Differences between a heterotrophic and mixotrophic chrysophyte // Aquat. Microb. Ecol. V. 12. P. 65–70. https://doi.org/10.3354/ame012065
- Salcher M.M., 2014. Same but different: Ecological niche partitioning of planktonic freshwater prokaryotes // J. Limnol. V. 73. P. 74–87. https://doi.org/10.4081/jlimnol.2014.813
- Salcher M.M., Hofer J., Hornák K., Jezbera J., Sonntag B. et al., 2007. Modulation of microbial predator-prey dynamics by phosphorus availability. Growth patterns and survival strategies of bacterial phylogenetic clades // FEMS Microbiol. Ecol. V. 60. P. 40–50. https://doi.org/10.1111/j.1574-6941.2006.00274.x
- Sanders R.W., Porter K.G., Bennett S.J., DeBiase A.E., 1989. Seasonal patterns of bacteriovory by flagellates, ciliates, rotifers and cladocerans in freshwater planktonic community // Limnol. Oceanogr. V. 34. P. 673–687. https://doi.org/10.4319/lo.1989.34.4.0673
- Schauer M., Hahn M.W., 2005. Diversity and phylogenetic affiliations of morphologically conspicuous large filamentous bacteria occurring in the pelagic zones of a broad spectrum of freshwater habitats // Appl. Environ. Microbiol. V. 71. № 4. P. 1931–1940. https://doi.org/10.1128/AEM.71.4.1931-1940.2005
- Schuech R., Hoehfurtner T., Smith D.J., Humphries S., 2019. Motile curved bacteria are Pareto-optimal // Proc. Natl. Acad. Sci. USA. V. 116. № 29. P. 14440–14447. https://doi.org/10.1073/pnas.1818997116
- Schulz H.N., Jørgensen B.B., 2001. Big bacteria // Annu. Rev. Microbiol. V. 55. P. 105–137. https://doi.org/10.1146/annurev.micro.55.1.105
- Siefert J.L., Fox G.E., 1998. Phylogenetic mapping of bacterial morphology // Microbiology. V. 144. P. 2803–2808. https://doi.org/10.1099/00221287-144-10-2803
- Simon M., Grossart H.-P., Schweitzer B., Ploug H., 2002. Microbial ecology of organic aggregates in aquatic ecosystems // Aquat. Microb. Ecol. V. 28. P. 175–211. https://doi.org/10.3354/ame028175
- Thingstad T.F., 2000. Element of a theory for the mechanisms controlling abundance, diversity, and biogeochemical role of lytic bacterial viruses in aquatic system // Limnol. Oceanogr. V. 45. P. 1320–1328. https://doi.org/10.4319/lo.2000.45.6.1320
- Walsby A.E., 2005. Stratification by cyanobacteria in lakes: A dynamic buoyancy model indicates size limitations met by Planktothrix rubescens filaments // New Phytol. V. 168. P. 365–376. https://doi.org/10.1111/j.1469-8137.2005.01508.x
- Weinbauer M.G., 2004. Ecology of prokaryotic viruses // FEMS Microbiol. Rev. V. 28. P. 127– 181. https://doi.org/10.1016/j.femsre.2003.08.001
- Weinbauer M.G., Hornák K., Jezbera J., Nedoma J., Dolan J.R., Simek K., 2007. Synergistic and antagonistic effects of viral lysis and protistan grazing on bacterial biomass, production and diversity // Environ. Microbiol. V. 9. P. 777–788. https://doi.org/10.1111/j.1462-2920.2006.01200.x
- Young K.D., 2006. The selective value of bacterial shape // Microbiol. Mol. Biol. Rev. V. 70. № 3. P. 660–703. https://doi.org/10.1128/MMBR.00001-06
Supplementary files









