Synthesis of New Oxonine Series Macrolactones with Maphthopyrazine Fragments
- Authors: Ukhin L.Y.1, Kuzmina L.G.2, Podshibyakin V.A.1, Belousova L.V.1, Morkovnik A.S.1, Shepelenko E.N.3, Borodkin G.S.1, Chepurnoi P.B.1
-
Affiliations:
- Institute of Physical and Organic Chemistry, Southern Federal University
- N. S. Kurnakov Institute of General and Inorganic Chemistry of the Russian Academy of Sciences
- Southern Scientific Center of the Russian Academy of Sciences
- Issue: Vol 94, No 1 (2024)
- Pages: 92-97
- Section: Articles
- URL: https://medbiosci.ru/0044-460X/article/view/258261
- DOI: https://doi.org/10.31857/S0044460X24010071
- EDN: https://elibrary.ru/HKXRRO
- ID: 258261
Cite item
Full Text
Abstract
The reaction of 3-[(amino-2-naphthyl)amino]-5,5-dimethylcyclohex-2-en-1-one with o-quinones provided previously unknown macrolactones of the oxonine series with naphthopyrazine fragments.
Full Text
ВВЕДЕНИЕ
Ранее мы сообщили о новом методе синтеза макролактонов оксонинового ряда, в основе которого лежала дегидратационно-окислительная конденсация 3-[(амино-2-фенил)амино]-5,5-диметилциклогекс-2-ен-1-она с о-хинонами [1].
Известно, что производные хинонов могут обладать противопухолевой [2, 3] и противоинфекционной [4] активностями. Кроме того, некоторые, полученные другим методом из природного хинона лапохола и о-фенилендиамина макролактоны, проявили высокую активность против Mycobacterium tuberculosis [5]. Сходство структур этих макролактонов с нашими позволяет предполагать наличие биологической активности у некоторых из них. Перспективной в этом направлении представлялась замена в синтезе макролактонов о-фенилендиамина на 2,3-диаминонафталин – производное привилегированной нафталиновой структуры [6]. Оказалось, однако, что необходимый для синтеза исходный 3-[(амино-2-нафтил)амино]-5,5-диметилциклогекс-2-ен-1-он 1 в литературе не описан.
РЕЗУЛЬТАТЫ И ОБСУЖДЕНИЕ
Разработанный нами метод его синтеза [7] позволил получить новые макролактоны оксонинового ряда с нафтопиразиновыми фрагментами. Установлено, что кратковременное нагревание эквимолярной смеси 3-[(амино-2-нафтил)амино]-5,5-диметилциклогекс-2-ен-1-она 1 и 3,5-ди-трет-бутил-1,2-бензохинона 2 в MeOH с каталитическим количеством CF3COOH приводит к образованию 8,8-диметил-7,8,9-тригидро-2,4-ди-трет-бутилбензо[2, 3]оксонино[4,5-b][5,6-b]нафтопиразин-6-она 3а (схема 1). Строение соединения 3а доказано рентгеноструктурным анализом (рис. 1). Кристаллы выращены из ацетонитрила.
Схема 1
Рис. 1. Молекулярная структура соединения 3а
В ходе реакции происходит образование конденсированного 9-членного гетероцикла. Конформация этого цикла складчатая. В молекуле между трет-бутилзамещенным бензольным кольцом и трициклической g-бензохиноксалиновой системой сопряжение отсутствует, поскольку двугранный угол между их плоскостями составляет 93.2(3)°.
Аналогично синтезу соединения 3а из 3-[(амино-2-нафтил)амино]-5,5-диметилциклогекс-2-ен-1-она 1 и 1,2-нафтохинона 2б получен 10,10-диметил-9,10,11-тригидро[1,2-b]нафтооксонин[4,5-b][5,6-b]нафтопиразин-8-он 3б (схема 2). Строение полученного соединения также доказано рентгеноструктурным анализом (рис. 2). Чистота получаемого макролактона в этом случае зависит от чистоты используемого хинона 2б, являющегося соединением неустойчивым. Термически он достаточно стабилен только при температурах ниже 100°C [8]. При продолжительном хранении в нем накапливаются примеси темно-синего цвета. По данным справочника Beilstein [9], со ссылкой на работу[10], стехиометрия образующегося соединения С20H10(:O)2(OH)2 соответствует хингидронной структуре. В одном из экспериментов мы использовали долго хранившийся нафтохинон и получили кристаллы черного цвета. Однако рентгеноструктурное исследование показало, что их структура аналогична полученной для прозрачных желтых кристаллов соединения 3б. Это говорит о том, что хингидронная примесь имеет аморфный характер и располагается на поверхности кристаллов макролактона.
Схема 2
Рис. 2. Молекулярная структура соединения 3б
Молекула соединения 3б построена из трех крупных фрагментов – нафталинового, g-бензохиноксалинового и, занимающего центральное положение, оксонинового, точно так же, как и молекула соединения 3а. В этом случае в молекуле отсутствуют условия для сопряжения ароматического и g-бензохиноксолинового фрагментов, поскольку двугранный угол между плоскостями нафталиновой и g-бензохиноксалиновой системами тоже близок к прямому, 87.4(4)°. Кристаллографические параметры, а также параметры съемки эксперимента, расшифровки и уточнения структур для соединений 3а и 3б приведены в Дополнительных материалах.
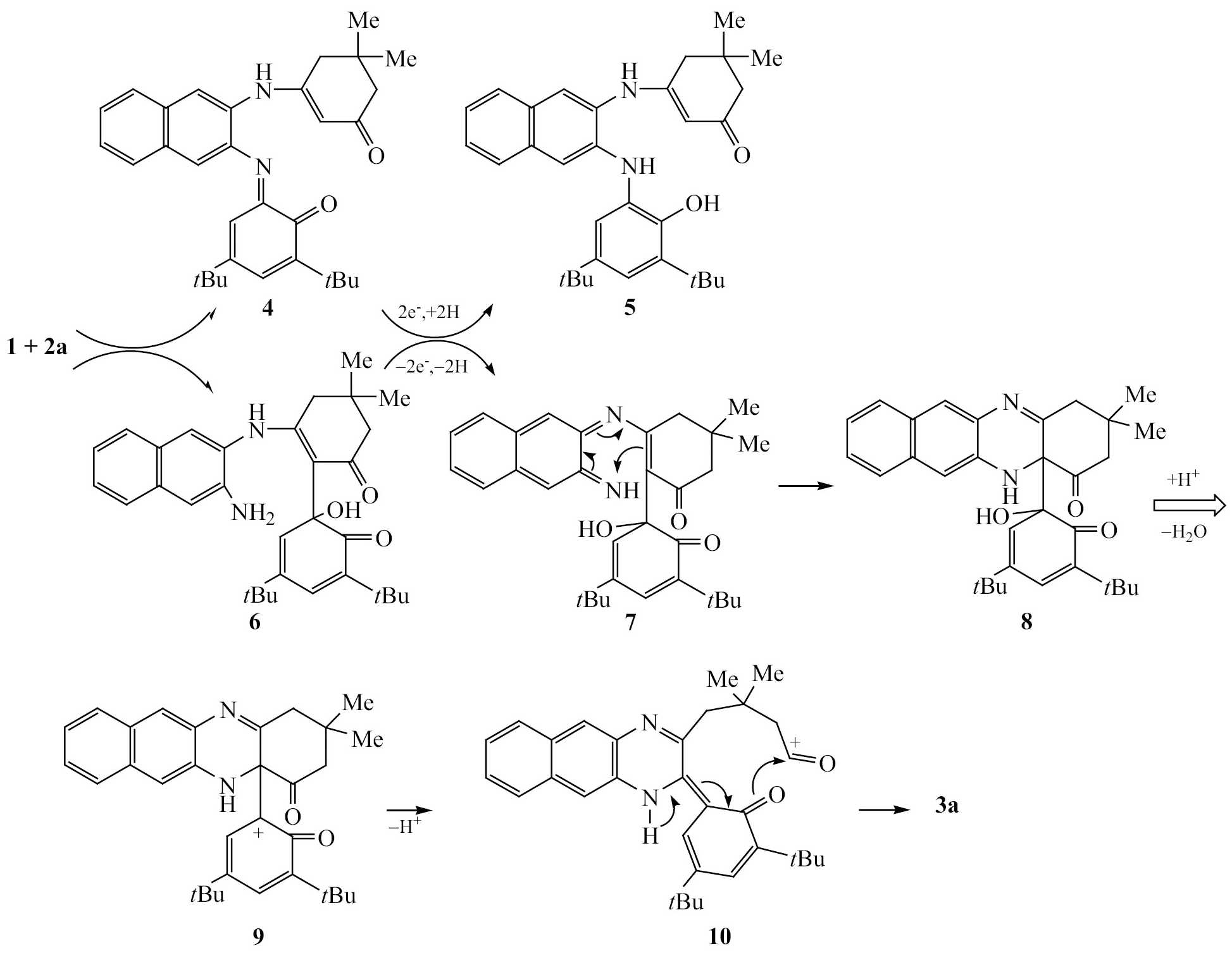
Предполагаемый механизм реакции аналогичен предложенному нами в работе [1]. Хинон реагирует одновременно по двум активным центрам молекулы 1 – аминогруппе и енаминному фрагменту. Образующийся в первом случае о-хинонимин 4 выступает в качестве окислителя продукта присоединения хинона к енаминному фрагменту 6, превращая его в соединение 7 – удобный объект перестройки в циклический изомер 8. Дегидратация последнего в карбкатион 9 создает движущую силу расширения циклогексенового кольца в девятичленный макроцикл (схема 3). Характерной особенностью описываемой реакции, согласующейся с предлагаемым механизмом, являются выходы макролактонов, которые всегда ниже 50%. Синтез хинониминов из хинона 2а и первичных ароматических аминов, протекающий в мягких условиях в присутствии НСООН, описан в работе [11].
Схема 3
ВЫВОДЫ
В заключение следует отметить, что синтез макролактонов 3а и 3б показывает возможность использования в этой реакции не только о-фенилендиамина, но и других ароматических диаминопроизводных, что в дальнейшем может быть использовано для получения новых, потенциально биологически активных структур.
ЭКСПЕРИМЕНТАЛЬНАЯ ЧАСТЬ
Спектры ЯМР 1Н, 13С, COSY, HSQC, HMBC получены на спектрометре Bruker AVANCE 600 (600 МГц) при 20°C, растворитель – CDCl3. Масс-спектр соединения 3a записан на спектрометре Finnigan MAT INCOS 50 с прямым вводом пробы (EI, энергия ионизации – 70 эВ). Масс-спектр соединения 3б записан приборе Agilent 6470 Triple Quadrupole Jetstream LC/MS. Колебательные спектры записаны на приборе FT/IR-6800 FTIR spectrometer (JASCO). Рентгеноструктурный анализ выполняли на дифрактометре Venture с приставкой CCD-area D8 (MoKα-излучение, λ = 0.71073) при 150 (3a) или 100 К (3б). Структуры расшифрованы с помощью программы Olex-2 и уточнены на основе алгоритма Гаусса–Ньютона [12–14].
8,8-Диметил-7,8,9-тригидро-2,4-ди-трет-бутилбензо[2, 3]оксоино[4,5-b]-g-бензохиноксалин-6-он (3а). Смесь 0.14 г (0.5 ммоль) соединения 1, 0.11 г (0.5 ммоль) хинона 2а, 5 мл CH3OH и 2 капли CF3COOH нагревали до кипения и полного растворения, затем оставляли на 12 ч. После охлаждения льдом осадок отфильтровывали, промывали петролейным эфиром и сушили. Выход 0.08 г (33%), желтые кристаллы, т. пл. 240–245°C. Для рентгеноструктурных и спектральных исследований соединение кристаллизовали из CH3CN. ИК-спектр, ν, см–1: 2968 с (t-Bu), 1751 с (C=O), 1195 с, 1172 с, 1095 ш. с (C–O). Спектр ЯМР 1Н (CDCl3), δ, м. д.: 1.13 с (3H, C23H3), 1.30 с (3H, C22H3), 1.37 с (9H, C21H3), 1.40 с (9H, 3C20H3), 2.14 д. д (1H, C7H2,2J 13.02,4J 1.2 Гц), 2.38 д (1H, C7H2,2J 13.00), 2.87 д. д (1H, C9H2,2J 12.8, 4J 1.2 Гц), 2.95 д (1H, C9H2,2J 12.8 Гц), 7.29 д (1H, C1H, J 2.3 Гц), 7.54 м (2H, CHAr), 7.60 д (1H, C3H, J 2.3 Гц), 8.07 м (2H, CHAr), 8.65 с (1H, C16H), 8.67 с (1H, C11H). Спектр ЯМР 13С (CDCl3), δС, м. д.: 24.37 (C22), 30.37 (C20), 31.48 (C21), 34.35 (C23), 34.99 (C18), 35.39 (C19), 36.43 (C8), 44.75 (C7), 48.79 (C9), 124.36 (C1), 125.91 (C3), 126.66 (C13), 126.86 (C14), 127.15 (C15), 127.98 (C11), 128.43 (C12), 128.61 (C15), 133.51 (C17b), 133.89 (C15a), 134.16 (C11a), 137.60 (C10a), 138.47 (C16a), 140.88 (C4), 147.21 (C4a), 149.21 (C2), 153.52 (C17a), 153.58 (C9a), 169.65 (C6). Масс-спектр (EI), m/z (Iотн., %): 480 (100) [M]+, 465 (6), 452 (12), 437 (22), 397 (57), 83 (27).
8,8-Диметил-7,8,9-тригидронафто[1,2-b]оксонино[4,5-b]-g-бензохиноксалин-8-он (3б). Смесь 0.14 г (0.5 ммоль) соединения 1, 0.1 г (0.66 ммоль) хинона 2б, 5 мл CH3OH и 2 капли CF3COOH нагревали до кипения и растворения. Уже через 5 мин начиналась кристаллизация. Смесь выдерживали на льду 1 ч. Осадок отфильтровывали, промывали петролейным эфиром и сушили. Выход 0.066 г (31%). После перекристаллизации из 6 мл CH3NO2 выход составил 0.054 г (26%), желтые кристаллы, т. пл. 275–280°C. ИК-спектр, ν, см–1: 1749 с (C=O), 1192 с, 1180 с, 1087 ш. с (C–O). Спектр ЯМР 1Н (CDCl3), δ, м. д.: 1.08 с (3H, C21H3), 1.40 с (3H, C20H3), 2.30 с (2H, C9H2), 2.83 д (1H, C11H2, J 12.6 Гц), 2.89 д (1H, C11H2, J 12.6 Гц), 7.56 т (1H, C16H, J 7.6 Гц), 7.57 т (1H, C15H, J 8.1 Гц), 7.59 д (1H, C1H, J 8.1 Гц), 7.64 т (1H, C5H, J 7.0 Гц), 7.65 т (1H, C4H, J 7.0 Гц), 7.96 д (1H, C2H, J 8.1 Гц), 8.00 д (1H, C6H, J 7.0 Гц), 8.01 д (1H, C3H, J 7.0 Гц), 8.08 д (1H, C17H, J 8.1 Гц), 8.11 д (1H, C14H, J 8.1 Гц), 8.68 с (1H, C18H), 8.69 c (1H, C13H). Спектр ЯМР 13С (CDCl3), δС, м. д.: 24.90 (C20), 34.27 (C21), 36.86 (C10), 44.79 (C11), 48.63 (C9), 121.76 (C3), 125.72 (C1), 126.76 (C16), 126.92 (C2a), 126.96 (C2), 127.03 (C15), 127.26 (C13), 127.70 (C5), 137.93 (C18), 127.97 (C4), 128.23 (C6), 128.47 (C14), 128.61 (C17), 128.93 (C6a), 133.96 (C17a), 134.26 (C13a), 135.02 (C19b), 137.56 (C18a), 138.47 (C12a), 146.14 (C6b), 152.70 (C19a), 153.78 (C11a), 169.31 (C8). Масс-спектр, m/z: 419.200 [M + H]+ (вычислено для C32H39N2O2+: 419.1749).
ФИНАНСОВАЯ ПОДДЕРЖКА
Работа выполнена при финансовой поддержке Министерства науки и высшего образования РФ в рамках государственного задания в сфере научной деятельности (FENW-2020–0031, № 0852–2020–0031).
КОНФЛИКТ ИНТЕРЕСОВ
Авторы заявляют об отсутствии конфликта интересов.
ДОПОЛНИТЕЛЬНЫЕ МАТЕРИАЛЫ
Дополнительные материалы для этой статьи доступны по doi 10.31857/S0044460X24010071 для авторизованных пользователей.
About the authors
L. Yu. Ukhin
Institute of Physical and Organic Chemistry, Southern Federal University
Author for correspondence.
Email: lyuhin@sfedu.ru
Russian Federation, Rostov-on-Don
L. G. Kuzmina
N. S. Kurnakov Institute of General and Inorganic Chemistry of the Russian Academy of Sciences
Email: lyuhin@sfedu.ru
Russian Federation, Moscow
V. A. Podshibyakin
Institute of Physical and Organic Chemistry, Southern Federal University
Email: lyuhin@sfedu.ru
Russian Federation, Rostov-on-Don
L. V. Belousova
Institute of Physical and Organic Chemistry, Southern Federal University
Email: lyuhin@sfedu.ru
Russian Federation, Rostov-on-Don
A. S. Morkovnik
Institute of Physical and Organic Chemistry, Southern Federal University
Email: lyuhin@sfedu.ru
ORCID iD: 0000-0002-9182-6101
Russian Federation, Rostov-on-Don
E. N. Shepelenko
Southern Scientific Center of the Russian Academy of Sciences
Email: lyuhin@sfedu.ru
Russian Federation, Rostov-on-Don
G. S. Borodkin
Institute of Physical and Organic Chemistry, Southern Federal University
Email: lyuhin@sfedu.ru
ORCID iD: 0000-0002-5886-7825
Russian Federation, Rostov-on-Don
P. B. Chepurnoi
Institute of Physical and Organic Chemistry, Southern Federal University
Email: lyuhin@sfedu.ru
Russian Federation, Rostov-on-Don
References
- Ukhin L.Yu., Suponitsky K.Yu., Shepelenko E.N., Belousova L.V., Borodkin G.S. // Tetrahedron Lett. 2012. N 53. P. 67. doi: 10.1016/j.tetlet.2011.10.147
- Mancini I., Vigna J., Sighel D., Defant A. // Molecules. 2022. N 27. P. 4948. doi: 10.3390/molecules27154948
- Rahman Md M., Islam Md R., Akash S., Shohag S., Ahmed L., Supti F. A., Rauf A., Aljohani A.S.M., Abdulmonem W. Al, Khalil A.A., Sharma R., Thiruvengadam M. // Chem. Biol. Interact. 2022. Vol. 368. P. 110198. doi: 10.1016/j.cbi.2022.110198.
- Ortiz-Pérez E., Rivera G., Salas C.O., Zarate-Ramos J.J., Trofymchuk O.S., Hernandez-Soberanis L., Perales-Flores J.D., Vázquez K. // Curr. Top. Med. Chem. 2021. Vol. 21. P. 2046. doi: 10.2174/1568026621666210915121348
- Silva R.S.F., Pinto M.C.F.R., Goulart M.O.F., de Souza Filho J.D., Neves I., Jr., Lourenço M.C.S., Pinto A.V. // Eur. J. Med. Chem. 2009. Vol. 44. N 5. P. 2334. doi: 10.1016/j.ejmech.2008.06.014
- Makar S., Saha T., Singh S.K. // Eur. J. Med. Chem. 2019. Vol. 161. P. 252. doi: 10.1016/j.ejmech.2018.10.018
- Ukhin L.Yu., Kuz’mina L.G., Gribanova T.N., Borodkin G.S., Belousova L.V., Shepelenko E.N., Podshibyakin V.A., Chepurnoia P.B. // Mendeleev Commun. 2023. Vol. 33. P. 115. doi: 10.1016/j.mencom.2023.01.036
- Sousa E.T., da Silva M.M., de Andrade S.J., Cardoso M.P., Silva L.A., de Andrade J.B. // Thermochim. Acta. 2012. Vol. 529. P. 1. doi: 10.1016/j.tca.2011.11.012
- Beilstein. 1925. Vol. 7. P. 709.
- Siegmund W. // Monatsheft. 1908. Vol. 29. P. 1087. doi: 10.1007/BF01518745
- Abakumov G.A., Druzhkov N.O., Kurskii Y.A., Shavyrin A.S. // Russ. Chem. Bull. 2003. Vol. 52. P. 712. doi: 10.1023/A:1023979311368
- Dolomanov O.V., Bourhis L.J., Gildea R.J., Howard J.A.K., Puschmann H. // Appl. Cryst. 2009. Vol. 42. P. 339. doi: 10.1107/S0021889808042726
- Sheldrick G.M. // Acta Crystallogr. (A). 2015. Vol. 71. P. 3. doi: 10.1107/S2053273314026370
- Sheldrick G.M. // Acta Crystallogr. (A). 2015. Vol. 64. P. 122. doi: 10.1107/S0108767307043930
Supplementary files







