Novel Catalytic Systems for Condensation of Monoterpene Compounds with Aldehydes (A Review)
- Authors: Sidorenko A.Y.1, Agabekov V.E.1
-
Affiliations:
- Institute of Chemistry of New Materials of the National Academy of Sciences of Belarus
- Issue: Vol 94, No 2 (2024)
- Pages: 225-244
- Section: Articles
- URL: https://medbiosci.ru/0044-460X/article/view/260326
- DOI: https://doi.org/10.31857/S0044460X24020087
- EDN: https://elibrary.ru/GUZBFQ
- ID: 260326
Cite item
Full Text
Abstract
New catalysts for the Prins condensation of renewable monoterpene compounds with aldehydes were considered. Effective catalytic systems were functionalized zeolites, oxides, clays, halloysite and carbon nanotubes, organometallic structures and heteropolyacids, which make it possible to obtain target products with high selectivity. A number of compounds synthesized using such systems are used in perfumery, have high pharmaceutical potential and are platform molecules for further synthesis.
Full Text
- Общая характеристика рассматриваемых превращений
- Реакция Принса монотерпеновых углеводоров с альдегидами 226
- Реакция монотерпеноидов с альдегидами: синтез гетероциклических соединений 232
- Каскадные превращения терпеноидов 238
- Заключение 241
1. ОБЩАЯ ХАРАКТЕРИСТИКА РАССМАТРИВАЕМЫХ ПРЕВРАЩЕНИЙ
Кислотно-катализируемая реакция конденсации ненасыщенных углеводородов с карбонильными соединениями была открыта в 1919 г. голландским химиком Х. Принсом [1] и до настоящего времени является инструментом в синтезе соединений различного функционального назначения, используемых, например, в парфюмерии, медицине, обладающих биологической активностью [1–3]. Реакция Принса представляет собой универсальный способ получения кислородсодержащих гетероциклических соединений, ключевой стадией которого является образование иона оксокарбения, который реагирует с алкеновым фрагментом межмолекулярным (схема 1, а) или внутримолекулярным путем (схема 1, б) [2].
Схема 1.
Основным источником возобновляемых углеводородов является скипидар, который ежегодно производится в количестве около 360 000 т и в основном содержит α-пинен (40–85%), β-пинен (до 35%) и 3-карен (до 40%) [4]. Конденсация терпеновых углеводородов с формальдегидом позволяет получать соединения, содержащие гидроксиметильный фрагмент, которые используются в парфюмерии и в качестве молекул-платформ для дальнейшего синтеза различных соединений [1, 3, 5]. Реакции непредельных терпеновых спиртов с альдегидами приводят к соединениям, содержащим тетрагиропирановые, тетрагидрофурановые и др. фрагменты [3].
В последние годы опубликован ряд обзоров, посвященных реакциям терпеновых соединений с альдегидами и кетонами в контексте органической [1–3], медицинской [3], либо парфюмерной химии [1]. Высокоэффективными катализаторами таких реакций зачастую являются новые гетерогенные системы, которые позволяют существенно увеличить выходы целевых продуктов. В данном обзоре рассматриваются, главным образом, недавние результаты исследований конденсации монотерпенов с карбонильными соединениями в присутствии гетерогенных катализаторов на основе алюмосиликатов, цеолитов, циркония, металлоорганических каркасов, углерода, гетерополикислот и др.
2. РЕАКЦИЯ ПРИНСА МОНОТЕРПЕНОВЫХ УГЛЕВОДОРОВ С АЛЬДЕГИДАМИ
При каталитической конденсации β-пинена с формальдегидом (в форме параформальдегида) образуется нопол (схема 2, а), который имеет древесный аромат, применяется в парфюмерно-косметической продукции и производится в промышленных масштабах [1, 5]. Традиционным катализатором этой реакции является ZnCl2, однако в последние годы опубликован ряд статей, посвященных разработке новых гетерогенных каталитических систем для этой реакции [6–17]. Так, в присутствии индийской монтмориллонитовой глины (MMT), импрегнированной ZnCl2, в оптимизированных условиях селективность по нополу достигала 97.0% при конверсии β-пинена 75.0%, что сопоставимо с результатами для ZnCl2 (93.0%). Исходная монтмориллонитовая глина практически не проявляла каталитической активности [6].
Схема 2.
Методом осаждения Zr(OH)4 с последующей пропиткой серной кислотой получены катализаторы на основе сульфатированного циркония (SZ), которые содержали различное количество серы [7]. Наиболее активным (конверсия β-пинена >99%) является катализатор, приготовленный пропиткой гидроксида циркония 2.0 н. раствором H2SO4, а селективность по нополу составила до 99.0% в ацетонитриле. Показано, что его можно использовать до пяти раз с незначительной потерей активности и неизменной селективностью. Предложенный механизм образования нопола, включает участие как льюисовских (L), так и бренстедовских (B) кислотных центров на поверхности SZ. Селективность снижалась при использовании толуола, тогда как без растворителя целевой продукт практически не образовывался [7].
Об использовании ряда ионообменных цеолитов в качестве активных и селективных катализаторов для синтеза нопола сообщалось в работе [8]. Наибольший выход этого продукта (86.0%) наблюдался на цеолите Zn-Beta. Скорость реакции коррелировала с количеством цинка и кислотностью Zn-Beta. Увеличение количества Zn в цеолите Beta с 0.14 до 0.57 ммоль/г приводило к уменьшению соотношения B/L от 0.45 до 0.07, что приводило к росту селективности по нополу до 94.0%. При малом количестве Zn (0.14 ммоль/г) селективность уменьшалась до 78.0% за счет образования продуктов изомеризации β-пинена, по-видимому, происходящей на бренстедовских кислотных центров [8].
Эффективным катализатором получения нопола также является нанесенный на γ-Al2O3 оксид молибдена (MoOx), который был синтезирован методом импрегнации с различным содержанием Мо [9]. Общая кислотность MoOx/γ-Al2O3 повышалась с ростом количества молибдена до 20.0 мас%, что приводило к увеличению конверсии β-пинена и селективности по целевому продукту до 83.5 и 90.0% соответственно, а количество продуктов изомеризации уменьшалось до 7.0%. При этом такие растворители, как ацетонитрил и бензонитрил, способствуют протеканию реакции конденсации. Авторы [9] предположили, что слабая бренстедовская и льюисовская кислотность на поверхности катализатора способствует образованию нопола, а на сильных центрах бренстеда происходит изомеризация β-пинена [9].
Каталитические свойства ряда металлоорганических каркасов (MOF) с типами кристаллической структуры CuBTC, FeBTC, MIL-100(Fe), MIL-100(Cr), ZIF-8 и MIL-53(Al) изучены в реакции β-пинена с формальдегидом [10]. Активность MOF возрастала с увеличением концентрации доступных кислотных центров Льюиса, будучи наибольшей для MIL-100(Fe). В присутствии ультрастабильного цеолита типа Y (USY) и Beta, содержащих сильные центры Бренстеда, выход нопола не превышал 35.0% за счет изомеризации субстрата, что аналогично выводам, сделанным в работах [8, 9]. Система MIL-100(Fe) обладала селективностью 87.0% и стабильностью в течение трех циклов без потери активности.
Ряд твердых катализаторов получен методом пропитки диоксида кремния солями Mo, W и Zn в работе [11]. Системы, содержащие 25.0 мас% MoO3 или ZnO, обладали высокой активностью в реакции β-пинена с формальдегидом с селективностью по нополу до 99.0%. Показана возможность повторного использования этих систем.
Конденсация β-пинена изучена в присутствии силиката Sn-МСМ-41 (Mobil Composition of Matter № 41), полученного с использованием в качестве источников кремния тетраэтилортосиликата (TEOS), либо более доступного силиката натрия [12]. Структура и текстурные свойства материалов, синтезированных с Na2SiO3 (Sn/MCM-41-S), были близки к таковым у катализаторов на основе TEOS (Sn/MCM-41-T). В присутствии этих систем наблюдалась конверсия реагента до 65.0% за 2.0 ч реакции с селективностью по нополу до 98.0%. Установлено, что более высокая степень полимеризации параформальдегида обуславливает его меньшую активность в реакции [12].
Кинетика взаимодействия β-пинена с формальдегидом в присутствии Sn-MCM-41 в этилацетате и толуоле изучена в работе [13]. Более высокое значение константы адсорбции нопола по сравнению с таковыми для реагентов позволили объяснить его сильный ингибирующий эффект в исследованной реакции. С другой стороны, бо́льшая селективность по нополу в этилацетате связана с лучшей растворимостью параформальдегида в этом растворителе по сравнению с толуолом. Реакция протекала с кажущейся энергией активации 98.0 кДж/моль.
Недавно [14] показана возможность получения нопола в присутствии катализатора Sn-MCM-41, иммобилизованном на стенках микрореактора, с использованием формальдегида, генерируемого ex situ. Предложена кинетическая модель реакции, основанная на теории Ленгмюра–Хиншелвуда и предполагающая десорбцию продукта в качестве лимитирующей стадии [14].
При оценке экологического воздействия синтеза нопола установлено, что влияние растворителя наиболее существенно, а использование этилацетата оптимально. Углеродный след этого процесса составил 13.0 кг СО2-экв для системы с рециркуляцией растворителя и 37.4 кг без таковой [15]. Нопол можно также получить из скипидара, содержащего β-пинен [16, 17]. Так, реакцию Принса проводили с использованием сырья, содержащего 11.0% необходимого терпена в присутствии Sn-MCM-41 [16]. Проведение многофакторной оптимизации с использованием графиков поверхности отклика позволило установить условия реакции, обеспечивающие селективность до 96.0%. Следует отметить, что другие углеводороды, входящие в состав скипидара (α-пинен, 3-карен, камфен) не вступали в реакцию с формальдегидом. При использовании сырья с содержанием β-пинена 40.0% на аналогичном катализаторе также наблюдалась высокая селективность (93.0%) по целевому продукту. Использование скипидара позволяет существенно сократить количество используемого растворителя [17].
α-Пинен, в отличие от β-изомера, содержит эндоциклическую двойную связь (схема 2, б), которая малоактивна в реакции Принса, поскольку в условиях кислотного катализа она подвергается прямому протонированию с последующим раскрытием цикла, либо перегруппировке Вагнера–Меервейна, приводящей к расширению бициклического каркаса [4, 5]. Эти структурные особенности α-пинена, по-видимому, являются причиной отсутствия прогресса в синтезе его гидроксиметильных производных [18].
Недавно [18] изучена каталитическая конденсация (–)-α-пинена с формальдегидом, получен новый терпеноид 8-ацетокси-6-гидроксиметиллимонен (схема 3). Показано, что традиционные кислоты Льюиса и Бренстеда катализируют реакцию в уксусной кислоте, однако селективность по этому соединению не превышает 24.0% из-за протекания побочных превращений. Так, на слабокислотных галлуазитовых нанотрубках (45.0 мкмоль/г) преимущественно образуются продукты прямого протонирования α-пинена (терпинилацетат и др).
Схема 3.
В присутствии сильнокислотного цеолита H-Beta-25 (301.0 мкмоль/г) и фосфорной кислоты селективность по продуктам конденсации α-пинена с формальдегидом и его протонирования сопоставима [18]. При этом в присутствии H3PO4 образуется наименьшее количество продуктов перегруппировки Вагнера–Меервейна (W-M), что обуславливает наибольшую селективность по 8-ацетокси-6-гидроксиметиллимонену (24.0%). Этот терпеноид можно рассматривать как новую хиральную платформу для дальнейшего синтеза, в том числе биологически активных соединений [18].
В реакции 3-карена с формальдегидом в качестве одного из продуктов образуется транс-4-гидроксиметил-2-карен (вальтерол, схема 2, в) [19, 20]. Классический двухстадийный синтез вальтерола включает кипячение исходного реагента с параформом в уксусной кислоте без катализатора и последующее омыление полученного ацетата с выходом целевого продукта около 30.0% [19]. Вальтерол имеет цветочный запах с фруктовыми «нотками», его промышленное производство было освоено парфюмерной компанией Dragoco [20]. Важно отметить, что вальтерол является базовым соединением для получения целого ряда хиральных гетероциклических продуктов [21–23], некоторые из которых обладают высокой цитотоксической активностью [22].
Для разработки эффективного одностадийного метода получения вальтерола проведено систематическое исследование каталитической конденсации 3-карена с формальдегидом [24]. Традиционные кислоты Бренстеда и Льюиса, а также алюмосиликаты способны катализировать эту реакцию в уксусной кислоте, однако селективность по транс-4-гидроксиметил-2-карену относительно невелика (до 50.0%), что обусловлено дальнейшим ацетилированием, а также присоединением второй молекулы формальдегида к этому продукту (схема 4).
Схема 4.
Последовательная реакция конденсация вальтерола с формальдегидом преимущественно протекает в присутствии кислот Льюиса (ZnCl2, LiClO4), а на слабо и умеренно кислых (45.0–104.0 мкмоль/г) алюмосиликатах (монтмориллонит, галлуазит) наблюдается низкая конверсия (24.0–34.0%) 3-карена с преобладанием продуктов ацетилирования [24]. Наибольшая селективность по транс-4-гидроксиметил-2-карену (50.0%) наблюдается при использовании фосфорной кислоты. Показано, что выход этого продукта увеличивается до 66.0% при избытке формальдегидом или катализатора, поскольку количество активной формы формальдегида является ключевым фактором в протекании реакции. Квантово-химические расчеты методом теории функционала плотности (DFT) показали, что дальнейшие превращения вальтерола термодинамически выгодны, что подтверждается экспериментально. Реакция масштабировалась до 25 г, показана возможность выделения и повторного использования непрореагировавшего 3-карена [24].
Лимонен также вступает в реакцию Принса с формальдегидом по двойной связи его изопропиленового фрагмента, в результате чего образуется гомолимонелол (схема 2, г) [25–27]. Это соединение используется в парфюмерно-косметической продукции, а также органическом синтезе [25]. Предложен ряд методов его получения, включая термическую конденсацию при 180°С [26], или в присутствии SnCl4 в хлористом метилене [27].
В работе [25] для получения гомолимонелола при 90°C в этилацетате использовали Sn-модифицированные мезопористые силикаты MCM-41, SBA-15 и KIT-6, которые содержали преимущественно Льюисовские кислотные центры ввиду присутствия на их поверхности Sn4+. Наиболее активной оказалась система Sn-SBA-15 (конверсия лимонена 26.0%) с селективностью по целевому продукту 90.0%, которую использовали пять раз без потери активности [25].
Лимонен также способен вступать в реакцию конденсации с алифатическими и ароматическими альдегидами (схема 5, а) с участием его обеих двойных связей, что приводит к образованию гетероциклических соединений со структурой 3-оксабицикло[3.1.1]нонана [28–31]. Впервые синтез этого соединения описан в присутствии природной бентонитовой (монтмориллонитовой) глины [28].
Схема 5.
Реакция лимонена с кротоновым альдегидом в присутствии вольфрамофосфорной гетерополикислоты H3PW12O40 (HPW) на кремнеземе и ее кислой соли Cs2,5H0,5PW12O40 (CsPW) в качестве твердых катализаторов в дихлорэтане приводит к образованию 3-оксабицикло[3.3.1]ноненовых продуктов со сравнительно высокой (86.0–90.0%) селективностью [29]. При использовании α- и β-пиненов в качестве исходных реагентов на HPW/SiO2 образуются аналогичные продукты. Это указывает на то, что протонирование этих соединений приводит к образованию одинакового п-ментенильного катиона 6 в качестве промежуточного продукта, который далее реагирует с альдегидом (схема 6).
Схема 6.
Помимо α- и β-пиненов 1 и 2 и лимонена 3 для синтеза 3-оксабицикло[3.3.1]ноненов также могут быть использованы терпеноиды α-терпинеол 5, нерол 4 (схема 6), а в качестве альдегидов – куминовый, транс-коричный и бензальдегид. Реакция протекает с HPW/SiO2 и CsPW в «зеленых» растворителях, в частности 2-метилтетрагидрофуране, диметилкарбонате и диэтилкарбонате с образованием 3-оксабицикло[3.3.1]ноненовых продуктов 7 с выходами до 85.0% [30].
Известны также примеры участия некоторых терпеноидов, в частности мирцена, вербенола, транс-собрерола, эпоксидов α- и β-пиненов и др. в реакциях с альдегидами, приводящих к образованию соединений со структурой 3-оксабицикло[3.3.1]нонена, что детально описанно в обзоре [3].
Конденсация лимонена с бензальдегидом (схема 5, а) в присутствии HPW, нанесенной на оксиды SiO2, TiO2, SBA-15 и P-25, изучена в работе [31]. Наиболее активной оказалась система HPW/P-25 с селективностью по оксабицикло[3.3.1]нонену 72.0%. В оптимизированных условиях реакции (50°С, 1.0 ммоль лимонена, 3.0 ммоль альдегида, 30.0 мг катализатора, без растворителя) выход продукта составил 80.0%, синтез масштабировали до 10 г.
Терпеновый углеводород 2-карен в присутствии монтмориллонита К-10 реагирует с альдегидами (схема 5, б) с образованием гексагидроизобензофурана, а также 3-оксабицикло[3.3.1]ноненовых соединений [32]. В образовании изобензофуранового фрагмента участвует циклопропановое кольцо этого терпена, по-видимому, за счет его сопряжения с двойной связью. В случае конденсации 3-карена с формальдегидом бензофурановая структура формируется за счет присоединения второй молекулы формальдегидом (схема 4) [24].
Конденсация 2-карена с 4-метоксибензальдегидом изучена в качестве модели получения биоактивных хиральных гексагидроизобензофуранов в присутствии ряда кислотных алюмосиликатов [33]. Селективность по этим продуктам увеличивается с уменьшением концентрации кислотных центров на поверхности катализатора, достигая 71.0% на модифицированных HCl галлуазитовых нанотрубках (HNT-HCl). В то же время, на сильных кислотах Бренстеда и Льюиса (Amberlyst-15, трифлат скандия) выход изобензофуранов не превышает 16.0%, что связано с образованием преимущественно продуктов изомеризации 2-карена [33].
Отметим, что 2-карен является труднодоступным реагентом [33], но может быть получен в количестве до 15.0% в результате изомеризации 3-карена на иллитовых и монтмориллонитовых глинах [34, 35]. Предложен метод каталитического синтеза изобензофуранов реакцией 2-каренсодержащей смеси (изомеризата) с ванилином на различных глинах с выходами до 60.0% [34]. Еще более высокая селективность по этим продуктам (71%) наблюдалась на HNT-HCl [33].
Путем взаимодействия 2-каренсодержащей смеси с различными альдегидами в присутствии коммерческого монтмориллонита К-10 получен ряд новых изобензофуранов и оксабицикло[3.3.1]ноненов [36]. В работе [36] показано, что соединения, содержащие 5-бром-тиофен-2-ильный и тиофен-3-ильный фрагменты, обладают наиболее высокой способностью ингибировать фермент TDP1, что может быть перспективно в комплексной терапии онкологических заболеваний [36]. Аналогичной активностью обладали и некоторые вещества с 3-оксабицикло[3.3.1]ноненовой структурой, полученные в результате взаимодействия лимонена с ароматическими и фталевыми альдегидами на катализаторе К-10 с выходами до 89.0% [37].
3. РЕАКЦИЯ МОНОТЕРПЕНОИДОВ С АЛЬДЕГИДАМИ: СИНТЕЗ ГЕТЕРОЦИКЛИЧЕСКИХ СОЕДИНЕНИЙ
Реакция Принса является эффективным способом получения кислородсодержащих гетероциклических соединений с различной структурой [2, 3]. Так, конденсация терпеновых спиртов, содержащих ненасыщенную связь, с альдегидами приводят к образованию замещенных хроменовых (бензопирановых) соединений [3]. Интерес к каталитическому синтезу таких продуктов обусловлен их разнообразной и мощной биологической активностью [3, 38–40].
Ненасыщенный спирт изопулегол является наиболее распространенным и коммерчески доступным терпеноидом [3]. Он находит применение в качестве промежуточного продукта при синтезе ментола, а также рассматривается как хиральная платформа для получения большого количества биологически активных веществ [41].
Возможность конденсации (–)-изопулегола с ароматическими и алифатическими альдегидами (схема 7) в присутствии гетерогенного катализатора (монтмориллонита К-10) при микроволновом излучении показана в работе [42]. Продуктами реакции являются замещенные октагидро-2Н-хромен-4-олы в виде 4R- и 4S-изомеров, общие выходы которых составляли до 86.0% в случае 4-метил- и 4-метоксизамещенных бензальдегидов.
Схема 7.
Образование октагидро-2Н-хромен-4-олов в качестве основных продуктов, а также октагидро-2Н-хроменов наблюдается в реакции Принса изопулегола с бензальдегидом на цеолитах Beta и мезопористых силикатах MCM-41 (схема 5) [43]. Наиболее селективной по хроменолам (93.0%) является каталитическая система Ce-MCM-41 с относительно низкой кислотностью Льюиса и Бренстеда (147.0 мкмоль/г). Показано, что образование хроменов происходит при дегидратации соответствующих спиртов на катализаторах с высокой бренстедовской кислотностью [43].
Эффективными катализаторами синтеза октагидро-2Н-хромен-4-олов являются глины, в частности активированные соляной кислотой монтмориллониты России и Казахстана [44]. Установлено, что увеличение концентрации HCl, используемой для обработки глин, приводит к росту их кислотности, уменьшению общей селективности по хроменолам и соотношения образующихся 4R- и 4S-изомеров (4R/4S) [44].
Каталитические свойства предварительно обработанных соляной кислотой монтмориллонита (M-HCl), каолинита (K-HCl) и метакаолина (МК-HCl) российского происхождения в конденсации изопулегола с ванилином изучены в работе [45]. Наибольшая конверсия терпеноида за 2.0 ч реакции (76.0 %) наблюдалась на M-HCl, что значительно выше, чем на каолиновых катализаторах (до 30.0 %), а селективность по октагидро-2H-хромен-4-олу составляла от 74.0 до 90.0%.
Ряд новых хиральных октагидро-2Н-хромен-4-олов с выходами от 50.0 до 86.0% получен при взаимодействии (–)-изопулегола с фуран-2-карбальдегидом, тиофен-2-карбальдегидом, а также их производными на монтмориллоните К-10 [39]. Установлено, что большинство из них проявляют анальгетическую активность. Наиболее перспективным для разработки лекарственного агента является продукт, полученный в реакции с тиофен-2-карбальдегидом (выход 78.0%, 4R/4S = 5.0) поскольку его 4R-изомер проявляет высокий и длительный (24.0 ч) анальгетический эффект и низкую токсичность [39].
Результаты систематического исследования каталитической конденсации (–)-изопулегола с тиофен-2-карбальдегидом изложены в работах [46–48]. Установлено, что в присутствии кислотно-модифицированной иллитовой глины белорусского месторождения Лукомль-1 выход 4R-изомера увеличивается с уменьшением кислотности катализатора и температуры реакции, ростом соотношения катализатор/реагенты, а также начальной концентрации реагентов, достигая 70.0% [46]. Показано, что образование побочных продуктов, октагидро-2Н-хроменов, происходит как непосредственно из реагентов, так и за счет дегидратации 4R-диастереомера октагидро-2Н-хромен-4-ола [46].
Существенным прогрессом в стереоселективном синтезе хроменолов при конденсации (–)-изопулегола с альдегидами (схема 7) стало применение в качестве катализаторов обработанных HCl галлуазитовых нанотрубок (HNT-HCl, рис. 1), так как в их присутствии целевые продукты образуются с беспрецедентно высоким соотношением 4R/4S-изомеров (до 14.5) [47]. Увеличение значения 4R/4S при понижении температуры сушки галлуазита, либо кислотности катализатора четко указывает на образование 4R-диастереомера на слабых бренстедовских центрах. Cелективность по 4R-изомеру тиофенил-замещенного октагидро-2Н-хромен-4-ола на HNT-HCl составляет до 80.0% [47].
Рис. 1. Изображение галлуазитовых нанотрубок, обработанных 5.0 н. HCl (а, б), и их спектр ЯМР 29Si (в). Воспроизведено из [52] с разрешения.
Влияние кислотной обработки галлуазитовых нанотрубок на их физико-химические свойства и механизм каталитического действия в реакции (–)-изопулегола с тиофен-2-карбальдегидом детально изучено в работе [48]. Морфология HNT практически не меняется при их обработке 1.0–10.0%-ной HCl, при этом, согласно данным спектроскопии ЯМР 29Si, происходит разрушение до 45.0% исходных элементов структуры Si(OSi)3OAl2 (Q3) с образованием около 30.0% аморфного кремнезема (Q4). Воздействие же 20.0 и 30.0%-ной HCl на галлуазит приводит к значительному разрушению нанотрубок, сохраняется не более 15.0% единиц Q3 [48].
На обработанном 5.0%-ной HCl галлуазите при конверсии (–)-изопулегола 99.0% в циклогексане, селективность по 4R-изомеру тиофенилзамещенного хроменола составляет 80.0%, будучи близкой к таковой для обоих изомеров на коммерческом монтмориллоните К-10. Существенная разница в порядке по катализатору для высушенной смолы Amberlyst-15 (1.1±0.12) и воздушно-сухого галлуазита (1.95±0.09) в реакции образования 4R-изомера четко указывает на ключевую роль воды в его образовании. Предложен «кооперативный» механизм действия галлуазита, предполагающий образование из реагентов циклического интермедиата с дальнейшим переносом к нему воды с поверхности нанотрубок, что приводит к образованию 4R-диастереомера [48]. Энергия активации образования этого изомера составляет 55.0 кДж/моль, что значительно ниже, чем на иллитовой глине (82.0 кДж/моль [46]).
Кислотную функционализацию алюмосиликатов можно осуществить путем прикрепления сульфоновых групп (SO3H) к их поверхности (рис. 2). Так, монтмориллонит К-10 и галлуазит предварительно обрабатывали хлорсульфоновой кислотой (CSA) или 2-(4-хлорсульфонилфенил)этилтриметоксисиланом (CSP) и тестировали в реакции (–)-изопулегола с бензальдегидом, используя последний в качестве реагента и растворителя [49]. Высокая селективность по образующемуся октагидро-2H-хроменолу (95.0%, 4R/4S = 5.5) наблюдалась в присутствии K10-CSP, при этом функциональные группы на поверхности этого катализатора не подвергались «смыванию» (личингу) в ходе реакции. На обработанном CSP галлуазите соотношение образующихся 4R- и 4S-изомеров составляло 11.5, однако общий выход хроменола не превышал 35.0% [49].
Рис. 2. Схематическая иллюстрация функционализации алюмосиликатов группами SO3H.
Серия цеолитов Beta получена в работе [50] при систематическом варьировании параметров их синтеза, таких как время и температура процесса, состав геля и способ его созревания. Наиболее активным в реакции изопулегола с бензальдегидом (схема 7) был катализатор, который обладал хорошо развитыми текстурными свойствами, а также умеренной кислотностью (285.0 мкмоль/г) с наибольшим соотношением центров Бренстеда и Льюиса (10.0). При этом селективность по октагидро-2Н-хромен-4-олу составляла 90.0%.
Конденсация (–)-изопулегола с кетонами протекает менее избирательно, чем в случае альдегидов. Так, при использовании алифатических и циклических кетонов в присутствии катализатора Н+-К-10 получен ряд новых октагидро-2Н-хромен-4-олов с выходами до 57.0% [51]. Показано, что при использовании ацетона образующийся 4R-изомер проявляет высокую активность против вирусов гриппа H1N1 и H2N2. Учитывая фармацевтический потенциал этого продукта, проведены дальнейшие исследования по созданию селективных катализаторов реакции Принса с участием кетонов [52–54]. Так, галлуазитовые нанотрубки, обработанные 5.0%-ным раствором HCl, использовались в качестве катализаторов в реакции конденсации (–)-изопулегола с ацетоном [52]. В мягких условиях (30°С, без использования растворителя) отмечалась сравнительно высокая селективность по хроменолам (до 77.0%, 4R/4S = 8.2) с препаративным выходом 4R-изомера 66.0%. Показано, что механизм реакции более сложен, чем в случае с альдегидами (схема 8) и включает образование хроменолов за счет присоединения воды к циклическому интермедиату, а также его дальнейшее взаимодействие с изопулеголом, приводящему к образованию эфира, который после гидролиза преимущественно дает продукты дегидратации, что, по-видимому, является причиной относительно низкой селективности по хроменолам [52].
Схема 8.
Конденсация (–)-изопулегола с ацетоном также исследована на алюмосиликатах, включая галлуазит и монтмориллонит, модифицированные группами SO3H путем обработки хлорсульфоновой кислотой (CSA) и 2-(4-хлорсульфонилфенил)этилтриметоксисиланом (CSP) [53]. Показано, что высокой эффективностью обладает сильнокислотный (294.0 мкмоль/г) катализатор K10-CSA, в присутствии которого селективность по октагидро-2Н-хроменолу составляет до 88.0% с соотношением 4R/4S до 7.6.
Ряд иерархических цеолитов Beta (HB), полученных гидротермальным методом изучен в той же реакции при 30°С [54]. Наибольшая конверсия (–)-изопулегола за 4.0 ч (52.0%) наблюдалась на цеолите НВ-4, состоящем из агломератов наночастиц, что обуславливало наличие развитой системы мезопор (Smeso = 230 м2/г, Vmeso = 0.81 см3/г) с относительно высокой концентрацией доступных кислотных центров (202.0 мкмоль/г). Селективность по октагидро-2Н-хроменолу составляла до 69.0% при высоком соотношении образующихся стереоизомеров (до 11.1).
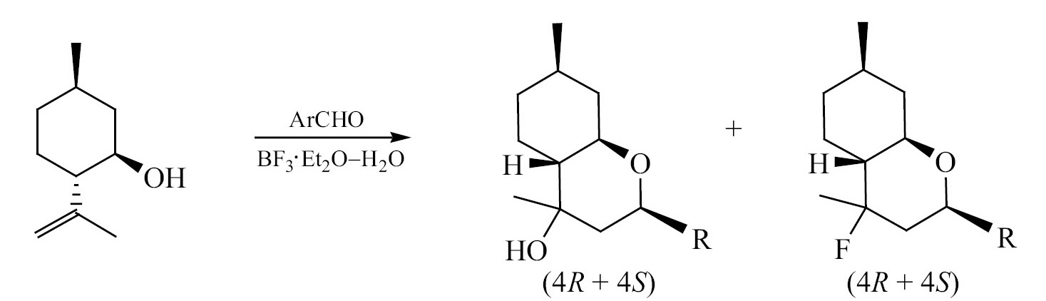
Показано, что выраженной противовирусной активностью также обладают октагидро-2H-хромены, содержащие F- и OH-группы (схема 9), которые образуются при реакции (–)-изопулегола с рядом ароматических альдегидов в присутствии системы BF3∙Et2O–H2O [55].
Схема 9.
Базисным терпеноидом для получения ряда гетероциклических соединений, перспективных для фармацевтического применения, является п-мента-1,8-диен-5,6-диол (диол), который может быть синтезирован из α-пинена в несколько стадий, ключевой из которых является изомеризация эпоксида вербенола, приводящая к образованию новой гидроксильной группы [3].
Конденсация диола с ароматическими [56] и алифатическими [57] альдегидами приводит к образованию замещенных гексагидро-2Н-хромен-4,8-диолов (схема 10, а), некоторые из которых проявляют значительную анальгетическую [56, 57] или противовирусную [3] активность. Синтез этих гетероциклов проводился на монтмориллонитовой глине К-10 без растворителя с выходами целевых продуктов от 14.0 до 80.0%. В отличие от реакции с участием (–)-изопулегола, конденсация диола протекает с образованием эквивалентных количеств диастереомеров, либо с преобладанием 4S-изомера с соотношением 4S/4R до 3.0 [56, 57].
Схема 10.
При использовании эпоксида вербенола в реакции с альдегидами, исключая стадию его изомеризации в диол (схема 10, б), помимо хромендиолов, наблюдалось образование продуктов с бензодиоксиновой структурой [56].
В работе [43] H- и Fe-формы цеолитов Beta, а также мезопористый силикат Ce-MCM-41, применяли в качестве катализаторов конденсации диола с бензальдегидом. Практически полная конверсия исходного терпеноида была достигнута за 2.0 ч с селективностью по гексагидро-2Н-хромен-4,8-диолу 64.0–67.0%. Диол является менее реакционноспособным соединением, чем (–)-изопулегол в реакции с альдегидами, по-видимому, из-за уменьшения электронной плотности в реагирующей гидроксильной группе за счет влияния соседней. Более низкие значения селективности по хромендиолам по сравнению с хроменолами обусловлены протеканием побочных превращений, включая дегидратацию и бензодиоксиновую перегруппировку [43, 58, 59].
Конденсация диола с деканалем на кислотно-модифицированных галлуазитовых нанотрубках, иллите и монтмориллоните, а также с традиционными гомогенными катализаторами изучена в [58]. Выбор альдегида связан с тем, что образующийся гексагидро-2Н-хромен-4,8-диол обладает высокой анальгетической активностью. Общая селективность по этому продукту составила 76.0–80.0 % и практически не зависит от типа алюмосиликата, при этом соотношение 4S/4R уменьшалось с увеличением кислотности катализатора. Так, что наибольший выход 4S-изомера (48.1%) на галлуазите связан со слабой кислотностью нанокатализатора (45.0 мкмоль/г). Моделирование структуры ключевого интермедиата методом теории функционала плотности показало, что атака нуклеофила происходит в экваториальное положение с образованием 4S-диастереомера, как на HNT-HCl. В присутствии сильных кислот Бренстеда (Amberlyst-15) и Льюиса (трифлат скандия) выход целевого продукта не превышал 37.0% из-за его дегидратации [58].
При конденсации диола с циклогексаноном на К-10 образуется гексагидро-2Н-хромен-4,8-диол (выход 51.0%, 4S/4R = 2.0), который обладает анальгетическим эффектом, значительно большим, чем у диклофенака натрия [60]. На галлуазитовых нанотрубках селективность увеличивалась до 67.0%, а соотношение 4S/4R резко возрастало до 21.0 [58].
При взаимодействии эпоксида вербенола с ароматическими альдегидами, в том числе бензальдегидом, в присутствии цеолитов H- и Fe-Beta образуются соединения с бензодиоксиновым каркасом (схема 10, б). Протекают две параллельные реакции: изомеризация эпоксида в диол и образование бензодиоксина из реагентов, которое более выражено при избытке альдегида [59]. Наиболее высокая селективность по этому продукту (46.0%) при полной конверсии эпоксида наблюдалась на Fe-H-Beta-150, содержащем кислотные центры Льюиса и Бренстеда.
Синтез бензодиоксинов в две стадии: конденсации изопулегола с бензальдегидом на Се-МСМ-41 в октагиро-2Н-хромен-4-ол (93.0%) и перегруппировки полученного продукта в присутствии мезопористого Ce-содержащего композитного катализатора, который обладает слабыми кислотными и основными свойствами, осуществляли в работе [61]. Реакция протекает с селективностью 36.0%.
В работе [62] сообщается о синтезе новых соединений со структурой оксабицикло[3.2.1]октена путем конденсации (–)-терпинен-4-ола с альдегидами, либо эпоксидами в присутствии сульфаминовой кислоты (схема 11) с выходами целевых продуктов до 97.0%.
Схема 11.
4. КАСКАДНЫЕ ПРЕВРАЩЕНИЯ ТЕРПЕНОИДОВ
Основным преимуществом каскадных (тандемных) реакций является последовательное образование нескольких химических связей в одном реакционном пространстве, что исключает необходимость выделения и очистки промежуточных продуктов [3, 63–65].
Одной из молекул-платформ для получения гетероциклических соединений является транс-4-гидроксиметил-2-карен (вальтерол) [21–23], который синтезируют из 3-карена [19, 24]. При реакции вальтерола с бензальдегидом (или п-метоксибензальдегидом) на глине К-10 образуются изобензофураны (схема 12, а), а при наличии гидроксильной группы в о-положении альдегида протекает каскадная реакция Принса с образованием продукта с ксантеновой структурой (схема 12, б) [22].
Схема 12.
При наличии трех электронодонорных заместителей в положениях 3, 4 и 5 бензольного кольца возможна каскадная реакция Принса–Фриделя–Крафтса (схема 12, в) [22, 66], в результате которой образуются тетрациклические соединения, некоторые из которых обладают цитотоксической активностью [22]. Конденсация транс-4-гидроксиметил-2-карена с тиофен-2-карбальдегидом на глине К-10 приводит к образованию производных тиенобензофурана также за счет участия в реакции ароматической системы альдегида (схема 12, г) [21].
Реакция транс-4-гидроксиметил-2-карена с салициловым и 3,4,5-тризамещенными альдегидами изучена в присутствии ряда кислотных алюмосиликатов, включая монтмориллониты, иллит и галлуазит [23]. Скорость реакции, а также и селективность по полициклическим соединениям (схема 12, б, в) увеличивается с ростом кислотности глин и температуры их сушки. Это свидетельствует о том, что относительно сильные кислотные центры Бренстеда и Льюиса катализируют образование этих соединений. Увеличение выхода продуктов реакции Принса–Фриделя–Крафтса также наблюдалось при уменьшении начальной концентрации реагентов, что связано с изомеризационными превращениями побочных продуктов в целевые [23]. В оптимизированных условиях на монтмориллоните К-10 с кислотностью 104.0 мкмоль/г селективность по тетрациклическим соединениям (схема 12, в) достигала 97.0%. Показано, что наличие электронодонорного заместителя в м-положении бензальдегида, а также мезопор в алюмосиликатном катализаторе, являются ключевыми условиями эффективного протекания реакций этого типа [23].
Катализируемый цезиевой солью вольфрамофосфорной кислоты (CsPW) однореакторный процесс получения полициклических соединений, предполагающий конденсацию фенилацетальдегида с доступными монотерпенами (лимонен, α- и β-пинены), разработан в работе [67] (схема 13). Хотя в подобных процессах, как правило, образуются соединения со структурой 3-оксабицикло[3.3.1]нонена, наблюдается формирование продукта реакции Принса–Фриделя–Крафтса с конденсированной тетрациклической структурой и выходами до 78.0%. Процесс протекает в мягких условиях и «зеленых» растворителях, а катализатор CsPW является устойчивым к личингу [67].
Схема 13.
Известно [68], что полученные из (–)-изопулегола октагидро-2Н-хромены, содержащие амидные фрагменты, являются мощными ингибиторами фермента TDP1 и перспективны для комплексной противораковой терапии. Согласно работе [69], синтез 4-амидотетрагидропирановых соединений (в виде 4R- и 4S-изомеров) на основе этого терпеноида можно осуществить по тандемной реакции Принса–Риттера в присутствии избытка (2.0–3.0 экв.) трифторметансульфоновой кислоты и при низких температурах (от –50 до –25°С), поскольку в более мягких условиях процесс неселективен.
Углеродные нанотрубки (CNT) и монтмориллонит К-10, функционализированные хлорсульфоновой кислотой (CSA), использовали в качестве катализаторов реакции Принса–Риттера (–)-изопулегола с бензальдегидом в ацетонитриле (схема 14) [70]. Обнаружено необычно сильное влияние количества воды в системе на общую селективность по амидам и соотношение их стереоизомеров (рис. 3) в случае как гетерогенного, так и гомогенного (п-толуолсульфокислота) катализа [70]. Образование 4S-амида термодинамически предпочтительно при 30°C, что подтверждается расчетами методом DFT и экспериментальными данными [70]. Введение воды приводит к резкому увеличению скорости реакции и селективности по 4R-амиду из-за перехода к кинетическому контролю реакции, что приводит к инверсии стереоселективности и резкому увеличению общего выхода амидов (рис. 3), достигающем 83.0% на CNT-CSA, что выше, чем в присутствии трифторметансульфоновой кислоты (62.0%).
Рис. 3. Зависимость селективности по амидам октагидро-2Н-хроменов от количества добавляемой воды на катализаторе K10-CSA.
Методом гидротермальной обработки обрезков виноградной лозы с последующей активацией CO2 получен биоуголь, который функционализировали SO3H-группами и исследовали в реакции Принса–Риттера с участием (–)-изопулегола [71] (схема 14). В случае модификации биоугля CSA после добавления воды наблюдалась высокая селективность по амидам, которая достигала 84.0% (4R/4S = 5.7). При этом на катализаторах, функционализированных 2-(4-хлорсульфонилфенил)этилтриметоксисиланом (CSP), образовывалось существенное количество хроменолов (до 31.0 %). Тогда как конденсация Принса эффективно протекает на слабых кислотных центрах [46–48], для реакции Принса–Риттера необходимы катализаторы, функционализированные SO3H-группами с сильной (0.33–5.8 ммоль/г) бренстедовской кислотностью. Установлено, что системы, содержащие фрагменты CSP, стабильны, а в случае их модификации CSA наблюдалось «вымывание» SO3H-групп в раствор [71].
Схема 14.
5. ЗАКЛЮЧЕНИЕ
Каталитическая конденсация терпеновых соединений с альдегидами в присутствии гетерогенных катализаторов позволяют получать ряд продуктов различного функционального назначения. Так, взаимодействие β-пинена с формальдегидом на модифицированных оксидах, цеолитах и металлоорганических структурах с льюисовской кислотностью приводит к селективному (до 99.0%) образованию нопола, используемого в парфюмерии. Конденсация α-пинена и 3-карена с формальдегидом в присутствии каталитической системы H3PO4–AcOH позволяет получить в одну стадию их гидрокиметильные производные (вальтерол, 8-ацетокси-6-гидроксиметиллимонен), которые рассматриваются в качестве базовых соединений для дальнейшего синтеза. Эффективными катализаторами взаимодействия 2-карена и лимонена с ароматическими альдегидами являются монтмориллонит и галлуазитовые нанотрубки. Продукты этих реакций (изобензофураны, 3-оксабицикло[3.1.1]нонаны) являются перспективными в комплексной терапии онкологических заболеваний. Конденсация терпеновых спиртов (изопулегол, п-мента-1,8-диен-5,6-диол) с карбонильными соединениями приводит к образованию продуктов с хроменовой и бензодиоксиновой структурой, некоторое из которых проявляют высокую анальгетическую и противовирусную активность, что делает их перспективными для разработки новых фармацевтических препаратов. Эффективными катализаторами этих реакций являются функционализированные цеолиты и глины, при этом высокая стереоселективность реакции (соотношение 4R/4S до 14.5) наблюдается на обработанных HCl галлуазитовых нанотрубках со слабой (45.0 мкмоль/г) бренстедовской кислотностью. Использование терпеноидов в каскадных реакциях позволяет получить в одном реакционном сосуде сложные соединения (ксантены, полициклы, амиды и др). Эти процессы селективно (до 97.0%) протекают на твердых модифицированных катализаторах (глины, биоуголь, соли ГПК) с относительно высокой концентрацией кислотных центров (104.0–294.0 мкмоль/г), а отдельные продукты обладают противоопухолевой активностью.
ФИНАНСОВАЯ ПОДДЕРЖКА
Работа выполнена в рамках Государственной программы научных исследований (подпрограмма «Лесохимия-2», задание 2.4.1), финансируемой Национальной академией наук Беларуси.
КОНФЛИКТ ИНТЕРЕСОВ
Авторы заявляют об отсутствии конфликта интересов.
About the authors
A. Yu. Sidorenko
Institute of Chemistry of New Materials of the National Academy of Sciences of Belarus
Author for correspondence.
Email: sidorenko@ichnm.by
ORCID iD: 0000-0003-1238-2184
Belarus, Minsk, 220084
V. E. Agabekov
Institute of Chemistry of New Materials of the National Academy of Sciences of Belarus
Email: sidorenko@ichnm.by
Belarus, Minsk, 220084
References
- Doro F., Akeroyd N., Schiet F., Narula A. // Angew. Chem. Int. Ed. 2019. Vol. 58. N 22. P. 7174. doi: 10.1002/anie.201814470
- Reyes E., Prieto L., Uria U., Carrillo L., Vicario J.L. // ACS Omega. 2022. Vol. 7. N 36. P. 31621. doi: 10.1021/acsomega.2c04765
- Патрушева О.С., Волчо К.П., Салахутдинов Н.Ф. // Усп. хим. 2018. Т. 87. № 8. С. 771; Patrusheva O.S., Volcho K.P., Salakhutdinov N.F. // Russ. Chem. Rev. 2018. Vol. 87. N 8. P. 771. doi: 10.1070/RCR4810
- Golets M., Ajaikumar S., Mikkola J.P. // Chem. Rev. 2015. Vol. 115. N 9. P. 3141. doi: 10.1021/cr500407m
- Nyamwihura R.J., Ogungbe I.V. // RSC Adv. 2022. Vol. 12. P. 11346. doi: 10.1039/D2RA00423B
- Yadav M.K., Jasra R.V. // Catal. Commun. 2006. Vol. 7. N 11. P. 889. doi: 10.1016/j.catcom.2006.04.002
- Jadhav S.V., Jinka K.M., Bajaj H.C. // Appl. Catal. (A). 2010. Vol. 390. N 1–2. P. 158. doi: 10.1016/j.apcata.2010.10.005
- Marakatti V.S., Halgeri A.B., Shanbhag G.V. // Catal. Sci. Technol. 2014. Vol. 4. P. 4065. doi: 10.1039/C4CY00596A
- Marakatti V.S., Mumbaraddi D., Shanbhag G.V., Halgeri A.B., Maradur S.P. // RSC Adv. 2015. Vol. 5. P. 93452. doi: 10.1039/C5RA12106J
- Opanasenko M., Dhakshinamoorthy A., Hwang Y.K., Chang J., Garcia H., Čejka J. // ChemSusChem. 2013. Vol 6. N 5. P. 865. doi: 10.1002/cssc.201300032
- Vrbková E., Šteflová B., Vyskočilová E., Červený L. // React. Kinet. Mech. Catal. 2020. Vol. 131. P. 213. doi: 10.1007/s11144-020-01858-w
- Gallego-Villada L.A., Alarcón E.A., Villa A.L. // Catal. Today. 2021. Vol. 372. P. 36. doi 1016/j.cattod.2020.10.040
- Casas-Orozco D., Alarcón E., Villa A. // Fuel. 2014. Vol. 149. P. 130. doi: 10.1016/j.fuel.2014.08. 067.
- García D.C., Sánchez J.H., Martínez J.D., Alarcón E.A., Villa A.L. // ChemCatChem. 2023. Vol. 15. N. 12. P. e202300209. doi: 10.1002/cctc.202300209
- Gallego-Villada L.A., Hasenstab C., Alarcón E.A., Villa A.L. // Sustain. Prod. Consum. 2021. Vol. 27. P. 23. doi: 10.1016/j.spc.2020.10.017
- Gallego-Villada L.A., Alarcón E.A., Villa A.L. // Mol. Catal. 2020. Vol. 498. Article ID 111250. doi 10.1016/ j.mcat.2020.111250
- Aguas I., Alarcón E., Villa A.L. // Heliyon. 2020. Vol. 6. N 5. P. E03887. doi: 10.1016/j.heliyon.2020.e03887
- Sidorenko A.Yu., Kurban Yu.M., Il’ina I.V., Li-Zhulanov N.S., Patrusheva O.S., Goltsova V.V., Bei M.P., Aho A., Wärnå J., Heinmaa I., Kouznetsova T.F., Volcho K.P., Salakhutdinov N.F., Murzin D.Yu., Agabekov V.E. // J. Catal. 2024 Vol. 430. Article ID 115306. doi 10.1016/ j.jcat.2024.115306
- Ohloff G., Farnow H., Philipp W. // Lieb. Ann. Chem. 1958. Vol. 613. N 1. P. 43. doi: 10.1002/jlac.19586130105
- Sadowska B.H., Gora J. // Perfumer & Flavorist. 1982. Vol. 7 P. 52.
- Li-Zhulanov N.S., Il’ina I.V., Sidorenko A.Yu., Korchagina D.V., Volcho K.P., Agabekov V.E., Salakhutdinov N.F. // Mendeleev Commun. 2022. Vol. 32. N 4. P. 443. doi: 10.1016/j.mencom.2022.07.005
- Kurbakova S.Y., Il’ina I.V., Mikhalchenko O.S., Pokrovsky M.A., Korchagina D.V., Volcho K.P., Pokrovsky A.G., Salakhutdinov N.F. // Bioorg. Med. Chem. 2015. Vol. 23. N 7. P. 1472. doi: 10.1016/j.bmc.2015.02.013
- Sidorenko A.Yu., Kurban Y.M., Kravtsova A.V., Il’ina I.V., Li-Zhulanov N.S., Korchagina D.V., Sánchez-Velandia J.E., Aho A., Volcho K.P., Salakhutdinov N.F., Murzin D.Yu., Agabekov V.E. // Appl. Catal. (A). 2022. Vol. 629. Article ID 118395. doi: 10.1016/j.apcata.2021.118395
- Sidorenko A.Yu., Kurban Y.M., Khalimonyuk T.V., Il’ina I.V., Li-Zhulanov N.S., Patrusheva O.S., Goltsova V.V., Bei M.P., Ihnatovich Z.V., Wärnå J., Volcho K.P., Salakhutdinov N.F., Murzin D.Yu., Agabekov V.E. // Mol. Catal. 2024. Vol. 552. Article ID 113627. doi 10.1016/ j.mcat.2023.113627
- Aguas I., Hidalgo M.J., Villa A.L., Alarcón E.A. // Catal. Today. 2022. Vol. 394–396. P. 403. doi: 10.1016/j.cattod.2021.07.025
- Blomquist A.T., Verdol J., Adami C.L., Wolinsky J., Phillips D.D. // J. Am. Chem. Soc. 1957. Vol. 79. N 18. P. 4976. doi: 10.1021/ja01575a040
- Blomquist A.T., Himics R.J. // J. Org. Chem. 1968. Vol. 33. N 3. P. 1156. doi: 10.1021/jo01267a050
- Salakhutdinov N.F., Volcho K.P., Il’ina I.V., Korchagina D.V., Tatarova L.E., Barkhash V.A. // Tetrahedron. 1998. Vol. 54. N 51. P. 15619. doi: 10.1016/S0040-4020(98)00977-6
- Costa V.V., da Silva Rocha K.A., Mesquita R.A., Kozhevnikova E.F., Kozhevnikov I.V., Gusevskaya E.V. // ChemCatChem. 2013. Vol. 5. N 10. P. 3022. doi: 10.1002/cctc.201300208
- Cotta R.F., da Silva Rocha K.A., Kozhevnikova E.F., Kozhevnikov I.V., Gusevskaya E.V. // Appl. Catal. (B). 2017. Vol. 217. P. 92. doi: 10.1016/j.apcatb.2017.05.055
- Sánchez-Velandia J.E., Baldoví H.G., Sidorenko A.Yu., Becerra J.A., Martínez O.F. // Mol. Catal. 2022. Vol. 528. Article ID 112511. doi: 10.1016/j.mcat.2022.112511
- Il’ina I.V., Volcho K.P., Korchagina D.V., Salnikov G.E., Genaev A.M., Karpova E.V, Salakhutdinov N.F. // Helv. Chim. Acta. 2010. Vol. 93 N 11. P. 2135. doi: 10.1002/hlca.201000145
- Sidorenko A.Yu., Kravtsova A.V., Mäki-Arvela P., Aho A., Sandberg T., Il’ina I.V., Li-Zhulanov N.S., Korchagina D.V., Volcho K.P., Salakhutdinov N.F., Murzin D.Yu., Agabekov V.E. // Mol. Catal. 2020. Vol. 490. Article ID 110974. doi: 10.1016/j.mcat.2020.110974
- Sidorenko A.Yu., Il’ina I.V., Kravtsova A.V., Aho A., Ardashov O.V., Li-Zhulanov N.S., Volcho K.P., Salakhutdinov N.F., Murzin D.Yu., Agabekov V.E. // Mol. Catal. 2018. Vol. 459. P. 38. doi: 10.1016/j.mcat.2018.07.025
- Sidorenko A.Yu., Aho A., Ganbaatar J., Batsuren D., Utenkova D.B., Sen’kov G.M., Wärnå J., Murzin D.Yu., Agabekov V.E. // Mol. Catal. 2017. Vol. 443. P. 193. doi: 10.1016/j.mcat.2017.10.014
- Il’ina I.V., Dyrkheeva N.S., Zakharenko A.L., Sidorenko A.Yu., Li-Zhulanov N.S., Korchagina D.V., Chand R., Ayine-Tora D.M., Chepanova A.A., Zakharova O.D., Ilina E.S., Reynisson J., Malakhova A.A., Medvedev S.P., Zakian S.M., Volcho K.P., Salakhutdinov N.F., Lavrik O.I. // Molecules. 2020. Vol. 25. N 15. P. 3496. doi: 10.3390/molecules25153496
- Дырхеева Н.С., Ильина И.В., Волчо К.П., Салахутдинов Н.Ф., Лаврик О.И. // Усп. хим. 2023. Т. 72. С. 2525; Dyrkheeva N.S., Ilyina I.V., Volcho K.P., Salakhutdinov N.F., Lavrik O.I. // Russ. Chem. Bull. 2023. Vol. 72. P. 2525. doi: 10.1007/s11172-023-4055-z
- Majumdar N., Paul N.D., Mandal S., de Bruin B., Wulff W.D. // ACS Catal. 2015. Vol. 5. N 4. P. 2329. doi: 10.1021/acscatal.5b00026
- Nazimova E., Pavlova A., Mikhalchenko O., Il’ina I., Korchagina D., Tolstikova T., Volcho K., Salakhutdinov N. // Med. Chem. Res. 2016. Vol. 25. P. 1369. doi: 10.1007/s00044-016-1573-3
- Slater S., Lasonkar P.B., Haider S., Alqahtani M.J., Chittiboyina A.G., Khan I.A. // Tetrahedron Lett. 2018. Vol. 59. N 9. P. 807. doi: 10.1016/j.tetlet.2018.01.040
- Minh Le T., Szakonyi Z. // Chem. Rec. 2022. Vol. 22. N 1. doi: 10.1002/tcr.202100194
- Baishya G., Sarmah B., Hazarika N. // Synlett. 2013. Vol. 24. N 9. P. 1137. doi: 10.1055/s-0032-1316915
- Stekrova M., Mäki-Arvela P., Kumar N., Behravesh E., Aho A., Balme Q., Volcho K.P., Salakhutdinov N.F., Murzin D.Yu. // J. Mol. Catal. (A). 2015. Vol. 410 P. 260. doi: 10.1016/j.molcata.2015.09.021
- Timofeeva M.N., Volcho K.P., Mikhalchenko O.S., Panchenko V.N., Krupskaya V.V., Tsybulya S.V., Gil A., Vicente M.A., Salakhutdinov N.F. // J. Mol. Catal. (A). 2015. Vol. 398. P. 26. doi: 10.1016/j.molcata.2014.11.016
- Timofeeva M.N., Panchenko V.N., Gil A., Zakusin S.V., Krupskaya V.V., Volcho K.P., Vicente M.A. // Catal. Commun. Vol. 69. P. 234. doi: 10.1016/j.catcom.2015.07.005
- Sidorenko A.Yu., Kravtsova A.V., Wärnå J., Aho A., Heinmaa I., Il’ina I.V., Ardashov O.V., Volcho K.P., Salakhutdinov N.F., Murzin D.Yu., Agabekov V.E. // Mol. Catal. 2018. Vol. 453 P.139. doi: 10.1016/j.mcat.2018.05.007
- Sidorenko A.Yu., Kravtsova A.V., Aho A., Heinmaa I., Volcho K.P., Salakhutdinov N.F., Agabekov V.E., Murzin D.Yu. // ChemCatChem. 2018. Vol. 10. P. 3950. doi: 10.1002/cctc.201800974
- Sidorenko A.Yu., Kravtsova A.V., Aho A., Heinmaa I., Wärnå J., Pazniak H., Volcho K.P., Salakhutdinov N.F., Murzin D.Yu., Agabekov V.E. // J. Catal. 2019. Vol. 374. P. 360. doi: 10.1016/j.jcat.2019.05.009
- Li-Zhulanov N., Mäki-Arvela P., Laluc M., Peixoto A.F., Kholkina E., Sandberg T., Aho A., Volcho K., Salakhutdinov N., Freire C., Sidorenko A.Yu., Murzin D.Yu. // Mol. Catal. 2020. Vol. 478. Article ID 110569. doi 1016/j.mcat.2019.110569
- Zaykovskaya A.O., Kumar N., Kholkina E.A., Li-Zhulanov N.S., Mäki-Arvela P., Aho A., Peltonen J., Peurla M., Heinmaa I., Kusema B.T., Streiff S., Murzin D.Yu. // Micropor. Mesopor. Mater. 2020. Vol. 302. Article ID 110236. doi: 10.1016/j.micromeso.2020.110236
- Ilyina I.V., Zarubaev V.V., Lavrentieva I.N., Shtro A.A., Esaulkova I.L., Korchagina D.V., Borisevich S.S., Volcho K.P., Salakhutdinov N.F. // Bioorg. Med. Chem. Lett. 2018. Vol. 28. N 11. P. 2061. doi: 10.1016/j.bmcl.2018.04.057
- Sidorenko A.Yu., Kravtsova A.V., Il’ina I.V., Wärnå J., Korchagina D.V., Gatilov Y.V., Volcho K.P., Salakhutdinov N.F., Murzin D.Yu., Agabekov V.E. // J. Catal. 2019. Vol. 380. P. 145. doi: 10.1016/j.jcat.2019.10.015
- Laluc M., Mäki-Arvela P., Peixoto A.F., Li-Zhulanov N., Sandberg T., Salakhutdinov N.F., Volcho K., Freire C., Sidorenko A.Yu., Murzin D.Yu. // React. Kinet. Mech. Catal. 2020. Vol 129. P. 627. doi: 10.1007/s11144-020-01740-9
- Laluc M., Barakov R., Mäki-Arvela P., Shcherban N., Murzin D.Yu. // Appl. Catal. (A). 2021. Vol. 618. Article ID 118131. doi: 10.1016/j.apcata.2021.118131
- Ilyina I.V., Patrusheva O.S., Zarubaev V.V., Misiurina M.A., Slita A.V., Esaulkova I.L., Korchagina D.V., Gatilov Y.V., Borisevich S.S., Volcho K.P., Salakhutdinov N.F. // Bioorg. Med. Chem. Lett. 2021. Vol. 31. 127677. doi 10.1016/ j.bmcl.2020.127677
- Mikhalchenko O., Il’ina I., Pavlova A., Morozova E., Korchagina D., Tolstikova T., Pokushalov E., Volcho K., Salakhutdinov N. // Med. Chem. Res. 2013. Vol. 22. P. 3026. doi: 10.1007/s00044-012-0310-9
- Il’ina I., Pavlova A., Korchagina D., Ardashov O., Tolstikova T., Volcho K., Salakhutdinov N. // Med. Chem. Res. 2017. Vol. 26. P. 1415. doi: 10.1007/s00044-017-1847-4
- Sidorenko A.Yu., Kurban Yu.M., Il’ina I.V., Li-Zhulanov N.S., Korchagina D.V., Ardashov O.V., Wärnå J., Volcho K.P., Salakhutdinov N.F., Murzin D.Yu., Agabekov V.E. // Appl. Catal. (A). 2021. Vol. 618. Article ID 118144. doi: 10.1016/j.apcata.2021.118144
- Torozova A., Mäki-Arvela P., Aho A., Kumar N., Smeds A., Peurla M., Sjöholm R., Heinmaa I., Korchagina D.V., Volcho K.P., Salakhutdinov N.F., Murzin D.Yu. // J. Mol. Catal. (A). 2015. Vol. 397. P. 48. doi: 10.1016/j.molcata.2014.10.023
- Il’ina I., Morozova E., Pavlova A., Korchagina D., Tolstikova T., Volcho K., Salakhutdinov N., Med. Chem. Res. 2020. Vol. 29. P.738. doi: 10.1007/s00044-020-02518-3
- Stekrova M., Mäki-Arvela P., Leino E., Valkaj K.M., Eränen K., Aho A., Smeds A., Kumar N., Volcho K.P., Salakhutdinov N.F., Murzin D.Yu. // Catal. Today. 2017. Vol. 279. Р. 56. doi: 10.1016/j.cattod.2016.03.046
- Lambat T.L., Mahmood S.H., Taher D., Banerjee S. // Curr. Res. Green Sustain. Chem. 2021. Vol. 4. Article ID 100118. doi: 10.1016/j.crgsc.2021.100118
- Liu C., Huang W., Zhang J., Rao Z., Gu Y., Jérôme F. // Green Chem. 2021. Vol. 23. P. 1447. doi: 10.1039/D0GC04124F.
- Padmaja P., Reddy P.N., Subba Reddy B.V. // Org. Biomol. Chem. 2020. Vol. 18. P. 7514. doi: 10.1039/D0OB00960A
- Chen M.-E., Chen X.-W., Hu Y.-H., Ye R., Lv J.-W., Li B., Zhang F.-M. // Org. Chem. Front. 2021. Vol. 8. P. 4623. doi: 10.1039/D1QO00496D
- Ilyina I.V, Li-Zhulanov N.S., Gatilov Y.V, Volcho K.P.,. Sidorenko A.Yu, Agabekov V.E., Salakhutdinov N.F. // Molbank. 2023. Vol. 2023. N 4. M1734. doi: 10.3390/M1734
- Cotta R.F, Martins R.A., da Silva Rocha K.A., Kozhevnikova E.F., Kozhevnikov I.V., Gusevskaya E.V. // Catal. Today. 2021. Vol. 381 P. 254. doi: 10.1016/j.cattod.2020.05.068
- Li-Zhulanov N., Zakharenko A., Chepanova A., Patel J., Zafar A., Volcho K., Salakhutdinov N., Reynisson J., Leung I., Lavrik O. // Molecules. 2018. Vol. 23. N 10. Article ID 2468. doi: 10.3390/molecules23102468
- Sarmah B., Baishya G., Baruah R.K. // RSC Adv. 2014. Vol. 4. Article ID 22387. doi: 10.1039/c4ra02124
- Sidorenko A.Yu., Li‐Zhulanov N.S., Mäki‐Arvela P., Sandberg T., Kravtsova A.V., Peixoto A.F., Freire C., Volcho K.P., Salakhutdinov N.F., Agabekov V.E., Murzin D.Yu. // ChemCatChem. 2020. Vol. 12. N 9. P. 2605. doi: 10.1002/cctc.202000070
- Sidorenko A.Yu., Kurban Yu.M., Peixoto A.F., Li-Zhulanov N.S., Sánchez-Velandia J.E., Aho A., Wärnå J., Gu Y., Volcho K.P., Salakhutdinov N.F., Murzin D.Y., Agabekov V.E. // Appl. Catal. (A). 2023. Vol. 649. Article ID 118967. doi: 10.1016/j.apcata.2022.118967
Supplementary files



















