Extraction and sorption recovery of rhenium(VII) using oligodentate β-аminophosphoryl compounds
- Authors: Turanov A.N.1, Karandashev V.K.2, Artyushin O.I.3, Smirnova E.V.3
-
Affiliations:
- Yu. A. Osipyan Institute of Solid State Physics, Russian Academy of Sciences
- Institute of Microelectronics Technology and High Purity Materials, Russian Academy of Sciences
- A. N. Nesmeyanov Institute of Organoelement Compounds, Russian Academy of Sciences
- Issue: Vol 94, No 4 (2024)
- Pages: 511-518
- Section: Articles
- URL: https://medbiosci.ru/0044-460X/article/view/262782
- DOI: https://doi.org/10.31857/S0044460X24040053
- EDN: https://elibrary.ru/EBJMAU
- ID: 262782
Cite item
Full Text
Abstract
The interphase distribution of microquantities of ReO4– between aqueous solutions of mineral acids and solutions of oligodentate β-aminophosphoryl compounds in organic solvents was studied. The stoichiometry of the extracted complexes was determined, the influence of the concentration of HClO4, HNO3, HCl and H2SO4 in the aqueous phase, the structure of the extractant and the nature of the organic solvent on the efficiency of the transition of ReO4– ions into the organic phase was considered. The possibility of selective extraction and concentration of Re(VII) with a complexing sorbent obtained by non-covalent attachment of tris[bis(2-diphenylphosphorylethyl)aminoethyl]amine on the surface of the macroporous polymer Amberlite XAD7HP was demonstrated.
Keywords
Full Text
Введение
Благодаря своим уникальным физико-химическим свойствам, рений и его сплавы широко используются в авиакосмической технике и нефтехимической промышленности. Поскольку рений является одним из наиболее редких элементов, в промышленном масштабе он добывается попутно при комплексной переработке сульфидных медных медно-молибденовых руд [1]. При пирометаллургической переработке такого сырья рений переходит в газовую фазу в виде Re2O7 и улавливается раствором серной кислоты. В настоящее время промывная серная кислота является основным источником получения рения. В связи с постоянным ростом спроса на рений, в последнее время также развиваются методы извлечения его из вторичного сырья – отработанных сплавов и катализаторов [2–4].
Для извлечения и концентрирования рения из сернокислых растворов широко используются экстракционные методы [4–10]. В последнее время интенсивно развиваются методы сорбционного концентрирования ионов металлов с использованием сорбентов, полученных нековалентным закреплением органических соединений, содержащих функциональные комплексообразующие группы, на полимерной матрице [11].
Сорбционные свойства таких материалов в значительной степени определяются комплексообразующими и экстракционными свойствами иммобилизованных органических реагентов по отношению к извлекаемым ионам. Высокой экстракционной способностью по отношению к Re(VII) обладают алифатические амины, нейтральные фосфорганические соединения, краун-эфиры и их ациклические аналоги – поданды, содержащие по концам полиэфирной цепи фосфорильные группы [12]. Это связано со способностью таких реагентов к протонированию в кислых средах и образованию гидрофобных катионных комплексов. Взаимодействие таких комплексов с анионом ReO4– способствует эффективному извлечению Re(VII) в органическую фазу в виде ионного ассоциата.
Показано, что полимерные сорбенты, импрегнированные третичными аминами, эффективно извлекают рений из сернокислых растворов [13, 14]. Ранее нами было показано, что эффективность экстракции Re(VII) аминами существенно возрастает при введении в молекулу амина фосфорильной группы [15, 16]. Это может быть связано с возможностью фосфорилированных аминов образовывать в кислых средах гидрофобные катионные комплексы, в которых осуществляются кооперативное взаимодействие донорных центров органического реагента с положительно заряженным катионом гидроксония.
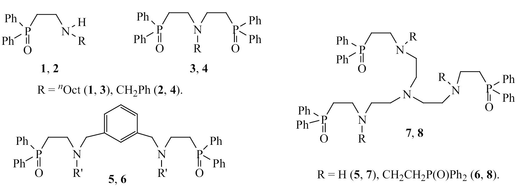
Цель настоящей работы – исследование влияния строения олигодентатных β-аминофосфорильных соединений 1–8 (схема 1) на эффективность экстракции Re(VII) из растворов минеральных кислот, а также оценка возможности использования этих соединений в качестве активного компонента комплексообразующих сорбентов.
Результаты и обсуждения
Рассмотрено влияние состава водной фазы на эффективность экстракции Re(VII) раствором соединения 8 в дихлорэтане. При постоянной концентрации ионов Cl– в водной фазе зависимость коэффициента распределения рения (DRe) от рН равновесной водной фазы выражается кривой с максимумом (рис. 1). Увеличение DRe с уменьшением величины рН связано с увеличением доли протонированной формы экстрагента (L) в органической фазе, что способствует экстракции Re(VII) в виде ионной пары LH+ReO4– по анионообменному механизму:
(1)
где символами (о) и (в) обозначены компоненты органической и водной фаз, A– – анион минеральной кислоты. Дальнейшее уменьшение рН приводит к снижению DRe, что связано с конкурирующей экстракцией кислоты – макрокомпонента экстракционной системы.
Изучение влияния концентрации HClO4, HNO3, HCl и H2SO4 в водной фазе на межфазное распределение Re(VII) при экстракции раствором соединения 8 показало, что увеличение концентрации кислот приводит к уменьшению DRe (рис. 2). Это связано со смещением влево равновесия межфазного переноса ReO4– в органическую фазу [уравнение (1)]. Эффективность экстракции Re(VII) из растворов кислот возрастает в ряду HClO4 < HNO3 < HCl < H2SO4 (рис. 2). Это связано с тем, что увеличение устойчивости комплексов LHA, препятствующее протеканию анионообменной реакции (1), происходит в ряду кислот H2SO4 < HCl < HNO3 < HClO4, вследствие уменьшения энергии гидратации соответствующих анионов [17].
Схема 1.
Рис. 1. Зависимость коэффициента распределения рения от рН равновесной водной фазы при экстракции 0.0002 М. раствором соединения 8 в дихлорэтане при постоянной концентрации ионов Cl– (0.1 М.) в водной фазе.
Рис. 2. Зависимость коэффициента распределения рения от концентрации ионов H+ в равновесной водной фазе при экстракции 0.0002 М. раствором соединения 8 в дихлорэтане при экстракции из растворов H2SO4 (1), HCl (2), HNO3 (3) и HClO4 (4).
Таблица 1. Коэффициенты распределения рения (lgDRe) между 0.1 М. раствором HCl и 0.0002 М. растворами соединения 8 в органических растворителях.
Растворитель | lgDRe |
Нитробензол | 2.89 |
1,2-Дихлорэтан | 1.72 |
Хлористый метилен | 1.32 |
Хлороформ | 0.32 |
Толуол | –0.18 |
Природа органического растворителя оказывает существенное влияние на эффективность экстракции Re(VII). Величина DRe возрастает по мере увеличения полярности органического растворителя (табл. 1), что характерно для экстракции ионных ассоциатов. Аналогичная зависимость эффективности экстракции рения от природы органического растворителя получена при экстракции фосфорилированными аминами [15, 16].
Влияние строения реагентов 1–8 на эффективность экстракции Re(VII) рассмотрено путем сопоставления величин DRe, определенных в одинаковых экспериментальных условиях (табл. 2). Наиболее высокой экстракционной способностью по отношению к Re(VII) обладают гекса- и тетрафосфорилированные амины 8 и 6 соответственно. Уменьшение числа фосфорильных групп в молекулах этих соединений приводит к уменьшению DRe при экстракции трифосфорилированным амином 7 и дифосфорилированным м-ксилилендиамином 5. Такое же изменение в величинах DRe наблюдается при переходе от дифосфорилированного бензиламина 4 к его монофосфорилированному аналогу 2. Однако увеличение числа фосфорильных групп в молекуле экстрагента практически не изменяет экстракции Re(VII) при переходе от дифосфорилированного октиламина 3 к его монофосфорилированному аналогу 1. Замена октильного радикала при атоме азота в соединении 1 на бензильный (соединение 2) приводит к уменьшению DRe. По-видимому, это связано с увеличением электроотрицательности заместителя при атоме азота, сопровождающимся уменьшением основности реагента.
Таблица 2. Коэффициенты распределения рения (lgDRe) между 0.1 М. раствором HCl и 0.001 М. растворами экстрагентов в дихлорэтане.
Экстрагент | lgDRe |
1 | 1.08 |
2 | 0.37 |
3 | 1.15 |
4 | 1.14 |
5 | 0.56 |
6 | 2.0 |
7 | 1.61 |
8 | 2.30 |
Стехиометрическое соотношение Re(VII)–экстрагент в экстрагируемых комплексах, определенное методом разбавления, составляет 1:1 (рис. 3), что соответствует экстракции ReO4– в виде ионных ассоциатов по уравнению (1) в условиях избытка экстрагента. Кроме того, при избытке Re(VII) в органическую фазу переходят также комплексы LH22+(ReO4–)2 со стехиометрическим соотношением Re(VII):экстрагент = 2:1. На это указывают данные по насыщению раствора экстрагента рением(VII) (рис. 4).
Исследование селективности реагентов 8 и 6 показало, что при экстракции 0.01 М. растворами этих соединений в дихлорэтане из 1 М. раствора H2SO4 рений(VII) количественно извлекается в органическую фазу, а величины коэффициентов распределения Mo, W, Fe, Co, Ni, Mn, Cu, Zn и Cd не превышают 0.01. Это свидетельствует о высокой селективности этих реагентов.
Рис. 3. Зависимость коэффициента распределения рения от концентрации экстрагентов 2, 3, 6–8 в дихлорэтане при экстракции из 0.1 М. растворов HCl.
Рис. 4. Распределение Re(VII) между 0.1 М. раствором HCl и 0.002 М. раствором соединения 8 в дихлорэтане.
Рис. 5. Влияние времени контакта фаз на извлечение Re(VII) из 1 М. раствора H2SO4 полимерным сорбентом, модифицированным соединением 8 (а) при исходной концентрации рения 37.2 мг/л (V/m = 300 мл/г) и зависимость t/qt от t (б).
На основании исследования экстракционных свойств β-аминофосфорильных соединений соединение 8 было выбрано в качестве активного компонента комплексообразующего сорбента для извлечения Re(VII) из растворов кислот. Рассмотрение зависимости сорбции Re(VII) от времени контакта фаз (рис. 5) показало, что извлечение Re(VII) в фазу сорбента быстро возрастает в течение первых 10 мин, затем постепенно приближается к равновесию в течение 3 ч. Время, в течение которого исходная концентрация Re(VII) снижается в 2 раза (t1/2), составляет 7.5 мин. Приблизительно 90% максимальной сорбционной емкости сорбента достигается в течение 60 мин. Для описания кинетических зависимостей в процессе адсорбции Re(VII) использовали уравнения (2) и (3) [18] для псевдопервого и псевдовторого порядка реакции:
(2)
(3)
где k1 и k2 – константы скорости, qe и qt (мг/г) – концентрация Re(VII) в фазе сорбента при равновесии и во время t (мин) соответственно. Линейный характер отмечен только для зависимости t/qt от t (рис. 5б), что характерно для процессов хемосорбции [19]. Значения k2 и qe составляют 0.015±0.001 и 9.85±0.49 г/(мг·мин). Вычисленное значение qe хорошо согласуется с экспериментальным значением.
Рис. 6. Зависимость коэффициента распределения рения от концентрации H2SO4 (1), HCl (2) и HNO3 (3) в равновесной водной фазе при сорбции полимерным сорбентом, модифицированным соединением 8 при исходной концентрации рения 37.2 мг/л (V/m = 300 мл/г).
Как и при жидкостной экстракции, эффективность сорбции Re(VII) снижается с увеличением концентрации минеральных кислот в водной фазе и возрастает в ряду HNO3 < HCl < H2SO4 (рис. 6).
При постоянной концентрации H2SO4 в водной фазе изотерма адсорбции Re(VII) (рис. 7) описывается уравнением Лэнгмюра (4):
(4)
где [Re] (мг/мл) – концентрации рения в равновесной водной фазе, qm (мг/г) – максимальная концентрация Re(VII) в фазе сорбента, K – константа равновесия. Значения qm и K, определенные графически после линеаризации уравнения (4) в координатах [Re]/qe–[Re] (рис. 7б), составляют 107±6.4 и 10.5±0.73 мл/мг соответственно. Определенное значение qm соответствует стехиометрии сорбируемого комплекса Re:L = 2:1.
Рис. 7. Распределение Re(VII) между 1 М. раствором H2SO4 и полимерным сорбентом, модифицированным соединением 8 (V/m = 200 мл/г) (a) и зависимость [Re]/qe от [Re] (б).
Выводы
Таким образом, представленные данные показали, что β-аминофосфорильные соединения обладают высокой экстракционной способностью по отношению к рению(VII). Комплексообразующий сорбент, полученный нековалентным закреплением трис[бис(2-дифенилфосфорилэтил)аминоэтил]амина 8 на поверхности макропористого полимерного сорбента, эффективно извлекает Re(VII) из сернокислых растворов.
Экспериментальная часть
Синтез соединений 1–8 описан в работах [20, 21]. В качестве органических растворителей использовали нитробензол, 1,2-дихлорэтан, хлористый метилен, хлороформ и толуол квалификации ХЧ или ЧДА без дополнительной очистки. Растворы экстрагентов в органических растворителях готовили по точным навескам. В качестве матрицы для приготовления комплексообразующего сорбента использовали макропористый полимер Amberlite XAD7HP. Методика нанесения соединения 8 на поверхность полимера аналогична описанной в работе [22]. Содержание экстрагента в сорбенте составляло 0.3 ммоль/г.
Исходные водные растворы готовили растворением перрената аммония в воде с последующим добавлением растворов HClO4, HNO3, HCl или H2SO4 до требуемой концентрации. Концентрация Re(VII) в исходных растворах составляла 1∙10–5 и 2∙10–4 моль/л при проведении экстракции и сорбции соответственно.
Опыты по экстракции и сорбции проводили в пробирках с притертыми пробками при температуре 22±1°С и соотношении объемов органической и водной фаз 1:1. Распределение Re(VII) в сорбционных системах изучали в статических условиях при соотношении объема водного раствора и массы сорбента V/m = 50–500 мл/г. Перемешивание фаз осуществляли с использованием роторного аппарата со скоростью вращения 60 об/мин в течение 30 мин при экстракции и 3 ч при сорбции. Предварительно установлено, что этого времени достаточно для установления постоянных значений коэффициентов распределения рения.
Концентрацию рения в исходных и равновесных водных растворах определяли масс-спектральным методом с ионизацией пробы в индуктивно связанной плазме (ИСП-МС) с использованием масс-спектрометра XSeries II (Thermo Scientific, США). Концентрацию рения в органической фазе определяли по разнице концентраций в водном растворе до и после экстракции. Когда эта разница была мала, проводили реэкстракцию Re(VII) 0.1 M. раствором аммиака. Коэффициенты распределения рения при экстракции (DRe) рассчитывали как отношение концентраций рения в равновесных фазах. Погрешность определения DRe не превышала 10%. При проведении экспериментов по сорбции коэффициент распределения рения (Kd, мл/г) рассчитывали по уравнению (5).
(5)
где с0 и сe – концентрации Re(VII) в растворе до и после сорбции. Погрешность определения Kd не превышала 10%. Концентрацию HClO4, HNO3, HCl и H2SO4 в равновесных водных фазах определяли потенциометрическим титрованием стандартизованным раствором NaОН.
Финансовая поддержка
Работа выполнена в рамках государственного задания Института физики твердого тела им. Ю.А. Осипьяна РАН, Института проблем технологии микроэлектроники и особо чистых материалов РАН и Института элементоорганических соединений им. А.Н. Несмеянова РАН (№ 075-00277-24-00) Министерства науки и высшего образования Российской Федерации с использованием научного оборудования Центра исследования строения молекул ИНЭОС РАН.
Конфликт интересов
Авторы заявляют об отсутствии конфликта интересов.
About the authors
A. N. Turanov
Yu. A. Osipyan Institute of Solid State Physics, Russian Academy of Sciences
Author for correspondence.
Email: matveeva@gmail.com
ORCID iD: 0000-0002-5064-191X
Russian Federation, Chernogolovka, 142432
V. K. Karandashev
Institute of Microelectronics Technology and High Purity Materials, Russian Academy of Sciences
Email: matveeva@gmail.com
ORCID iD: 0000-0003-0684-272X
Russian Federation, Chernogolovka, 142432
O. I. Artyushin
A. N. Nesmeyanov Institute of Organoelement Compounds, Russian Academy of Sciences
Email: matveeva@gmail.com
ORCID iD: 0000-0001-6333-5973
Russian Federation, Moscow, 119334
E. V. Smirnova
A. N. Nesmeyanov Institute of Organoelement Compounds, Russian Academy of Sciences
Email: matveeva@gmail.com
ORCID iD: 0000-0002-7161-4793
Russian Federation, Moscow, 119334
References
- Палант А.А., Трошкина И.Д., Чекмарев А.М., Костылев А.И. Технология рения. М.: ООО «Галлея – Принт». 2015. С. 172.
- Касиков А.Г., Петрова А.М. // Технология металлов. 2010. № 2. С. 2.
- Касиков А.Г., Петрова А.М. // Хим. технол. 2008. Т. 9. № 8. С. 376.
- Shen L., Tesfaye F., Li X., Lindberg D., Taskinen P. // Minerals Eng. 2021. Vol. 161. P. 106719. doi: 10.1016/j.mineng.2020.106719
- Cheema H.A., Ilya S., Masud S., Mushan M.A., Mahnood I., Lee J.C. // Sep. Pur. Technol. 2018. Vol. 191. P. 116. doi: 10.1016/j.seppur.2017.09.021
- Petrova A.M., Kasikov A.G. // Hydrometallurgy. 2016. Vol. 165. P. 270. doi: 10.1016/j.hydromet.2016.01.033
- Srivastava R.R., Kim M., Lee J., Ilyas S. // Hydrometallurgy. 2015. Vol. 157. P. 33. doi: 10.1016/j.hydromet.2015.07.011
- Hong I., Liu M., Ma J., Yang G., Li L., Mumford K.A., Stevens G.W. // Sep. Pur. Technol. 2020. Vol. 236. P. 116281. doi: 10.1016/j.seppur.2019.116281
- Fang D.-W., Song Z.-R., Zhang S.-C., Li J., Zang S.-L. // J. Chem. Eng. Data. 2017. Vol. 62. P. 1094. doi: 10.1021/acs.jced.6b00909
- Zhou C.-B., Zhan D.-S. // J. Chem. Eng. Data. 2020. Vol. 65. P. 1468. doi: 10.1021/acs.jced.9b00885
- Kabay N., Cortina J.L., Trochimczuk A., Streat K.M. // React. Funct. Polymers. 2010. Vol. 70. P. 484. doi: 10.1016/j.reactfunctpolym.2010.01.005
- Туранов А.Н., Карандашев В.К., Баулин В.Е. // ЖНХ. 2006. Т. 51. № 4. С. 735; Turanov A.N., Karandashev V.K., Baulin V.E. // Russ. J. Inorg. Chem. 2006. Vol. 51. N 4. P. 676. doi: 10.1134/S0036023606040292
- Трошкина И.Д., Веселова О.А., Вацура Ф.Я., Захарьян С.В., Серикбай А.У. // Изв. вузов. Цветн. металлург. 2017. № 5. С. 42. doi: 10.17073/0021-3438-2017-5-42-49
- Guo X., Ma Z., Li D., Yu D. // J. Mol. Liq. 2020. Vol. 297. 111901. doi: 10.1016/j.molliq.2019.111901
- Туранов А.Н., Карандашев В.К., Яркевич А.Н. // ЖНХ. 2004. Т. 49. № 8. С. 1390.
- Туранов А.Н., Карандашев В.К., Бондаренко Н.А. // ЖНХ. 2013. Т. 58. № 5. С. 668; Turanov A.N., Karandashev V.K., Bondarenko N.A. // Russ. J. Inorg. Chem. Vol. 58. P. 590. doi: 10.1134/S0036023613050239
- Шмидт В.С. // Усп. хим. 1987. Т. 56. № 8. С. 1387; Shmidt V.S. // Russ. Chem. Rev. 1987. Vol. 56. P. 792. doi: 10.1070/RC1987v056n08ABEH003307
- Yurdakos M., Seki Y., Karahan S., Yuedakos S.K. // J. Colloid Interface Sci. 2005. Vol. 286. P. 440. doi: 10.1016/j.jcis.2004.12.047
- Song Q., Ma L., Liu J., Bai C., Geng J., Wang H., Li B., Wang L., Li S. // J. Colloid Interface Sci. 2012. Vol. 386. P. 291. doi: 10.1016/j.jcis.2012.07.070
- Matveeva E.V., Petrovskii P.V., Klemenkova Z.S., Bondarenko N.A., Odinets I.L. // Comp. Rend. Ch. 2010. Vol. 13. P. 964. doi: 10.1016/j.crci.2010.03.005
- Matveeva E.V., Sharova E.V., Turanov A.N., Karandashev V.K., Odinets I.L. // Centr. Eur. J. Chem. 2012. Vol. 10. P. 1933. doi: 10.2478/s11532-012-0124-0
- Horwitz E.P., Dietz M.L., Nelson D.M., LaRosa J.J., Fairman W.D. // Anal. Chim. Acta. 1990. Vol. 238. P. 263. doi: 10.1016/S0003-2670(00)80546-2
Supplementary files










