Diels–Alder Adducts of N-Substituted 2-Pyridones with Maleinimides. Synthesis and Antiviral Activity
- Authors: Sorokina V.A.1, Kovalskaya A.V.1, Lobov A.N.1, Ilyina P.A.2, Zarubaev V.V.2, Tsypysheva I.P.1
-
Affiliations:
- Ufa Federal Research Center of the Russian Academy of Sciences
- Saint Petersburg Pasteur Institute
- Issue: Vol 94, No 6 (2024)
- Pages: 691-698
- Section: Articles
- URL: https://medbiosci.ru/0044-460X/article/view/269848
- DOI: https://doi.org/10.31857/S0044460X24060024
- EDN: https://elibrary.ru/FAESAH
- ID: 269848
Cite item
Full Text
Abstract
Adducts of N-substituted 2-pyridones [pyridine-2(1H)-ones] and N-substituted maleic acid imides were synthesized under thermal conditions of the Diels–Alder reaction with yields from 68 to 97%. Cytotoxicity and antiviral activity of the obtained compounds were studied using a model of adenovirus infection [human adenovirus type 5 (AdV5)] in MA-104 cell culture. It was shown that the synthesized adducts have low toxicity and medium antiviral activity. Only 9-hexyl-2-phenyl-3a,4,7,7a-tetrahydro-1H-4,7-(epiminomethano)isoindole-1,3,8-trione has the most pronounced viral inhibitory properties with a selectivity index of 7.
Full Text
ВВЕДЕНИЕ
Аденовирусная инфекция представляет собой заболевание с разнообразными клиническими проявлениями, начиная от респираторной патологии и заканчивая кишечными расстройствами, передающееся воздушно-капельным, алиментарным, контактно-бытовым и даже внутриутробным путями передачи вируса [1–3]. С 2003 по 2016 год обнаружено около 2138 разновидностей аденовирусов человека [4], способных вызывать вспышки в замкнутых коллективах (детских садах, школах, рабочих коллективах, воинских подразделениях и т. п.), и, если у иммунокомпетентных пациентов данное заболевание протекает относительно легко, то для людей с иммунодефицитами оно представляет серьезную угрозу [5, 6], приводя к тяжелым последствиям (гепатитам, кератоконъюнктивитам, пери- и миокардитам, менингоэнцефалитам, вплоть до летального исхода [7, 8]). В частности, именно аденовирусная инфекция обусловливает до 60% смертности у реципиентов костного мозга [9]. Необходимо отметить, что этиотропных лекарственных средств для лечения аденовирусной инфекции до сих пор не существует, оно сводится лишь к симптоматической терапии. Ни один из известных противовирусных препаратов не доказал своей эффективности в отношении аденовирусов, хотя относительные успехи были достигнуты при применении препаратов широкого спектра действия – рибавирина (обладающего серьезными побочными эффектами [10]), цидофовира [11, 12] и его производного – бринцидофовира [13]. Таким образом, необходимость разработки новых эффективных средств противовирусной терапии аденовирусной инфекции очевидна, и решение этой проблемы является актуальным для медицинской химии и вирусологии.
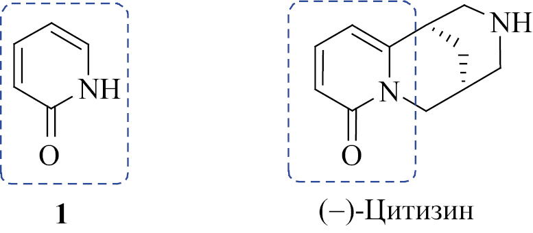
Учитывая данные о потенциальной антиаденовирусной активности ряда азотсодержащих гетероциклических соединений [14–18], включая производные хинолизидинового алкалоида (-)-цитизина [19–22], осуществлен синтез упрощенных аналогов последних, исходя из пиридин-2(1H)-она 1 (2-пиридона) – структурного фрагмента (-)-цитизина (схема 1), и проведена оценка способности синтезированных соединений ингибировать репродукцию аденовируса человека (AdV5) in vitro.
Схема 1
РЕЗУЛЬТАТЫ И ОБСУЖДЕНИЕ
В качестве исходных соединений использовали коммерчески доступные алкилированные производные 2-пиридона 2, 3, 5–10 и N-фенил-, N-изопропил- и N-бензилзамещенные имиды малеиновой кислоты 11–13 (схема 2). Синтез иодпроизводного 4 осуществляли путем алкилирования 1 2-бром-1-(3-иодфенил)этан-1-оном в условиях, указанных на схеме 2. Реакцию Дильса–Альдера диенов 2–10 с диенофилами 11–13 (мольное соотношение 1:5) проводили путем кипячения исходных соединений в толуоле. Контроль за ходом реакции осуществляли методом ТСХ. Продукты 14–26 реакции выделяли методом колоночной хроматографии на SiO2. Выходы новых аддуктов 14–16 и 20–23 составили 68–97%. Соединения 17–19 и 24–26 описаны нами ранее [23], строение новых аддуктов 14–16 и 20–23 (во всех случаях также было зафиксировано образование только эндо-аддуктов) устанавливали по аналогии с работой [23] на основании данных спектроскопии ЯМР и литературных данных [24].
Схема 2
Условия реакции: i, R1Br, K2СО3, ацетон, 56°С; ii, N-замещенный малеинимид (5 экв.), толуол, 110°С.
На следующем этапе исследования проведена оценка цитотоксичности и способности соединений 14–26 подавлять репродукцию аденовируса человека 5 типа (AdV5). В качестве препарата сравнения использовали рибавирин из-за широты его противовирусных свойств [25]; для каждого образца были определены значения 50% цитотоксической концентрации (CC50), 50% ингибирующей концентрации (IC50) и рассчитаны индексы селективности SI (отношение CC50/IC50). Данные о цитотоксичности и противовирусной активности соединений 14–26 представлены в табл. 1. Как показано в ходе экспериментов, полученные соединения обладали относительно низкой токсичностью для эмбриональных клеток макаки резус (MA-104). Так, 4 из 14 веществ (28.6%) не проявляли признаков цитотоксичности даже в максимальной использованной концентрации (300 мкг/мл). Наиболее токсичными в этом ряду оказались соединения 16 и 21 (СС50 = 195 и 204 мкМ соответственно); отметим, что оба этих соединения получены путем [4+2]-циклоприсоединения N-фенилмалеинимида к 1-[2-(3-иодфенил)-2-оксоэтил]пиридин-2(1H)-ону 4 и 1-пропилпиридин-2(1H)-ону 7. Подавляющее большинство протестированных соединений вирусингибирующей активности не проявили. Как оказалось, единственным образцом, способным в некоторой степени снижать вирусный цитопатогенный эффект (CPE), является 9-гексил-2-фенил-3a,4,7,7a-тетрагидро-1H-4,7-(эпиминометано)изоиндол-1,3,8(2H)-трион 23 с индексом селективности 7, содержащий насыщенный гексильный заместитель атома азота 2-пиридоновой части молекулы (схема 3).
Таблица 1. Активность соединений 14–26 в отношении аденовируса человека 5 типа (AdV5) в культуре клеток MA-104
№ | Биологическая активность in vitro | ||
CC50, мкМ.а | IC50, мкМ.б | SIв | |
14 | 411±26 | >259 | 2 |
15 | 598±41 | >238 | 3 |
16 | 195±8 | >195 | 1 |
17 | >1064 | >1064 | 1 |
18 | 1012±64 | >403 | 3 |
19 | 338±27 | >338 | 1 |
20 | 848±62 | >338 | 3 |
21 | 204±14 | >106 | 2 |
22 | 469±32 | >296 | 2 |
23 | >852 | 124±15 | 7 |
24 | >838 | >838 | 1 |
25 | 489±21 | >309 | 2 |
26 | >806 | >806 | 1 |
Рибавиринг | >2049 | 11±2 | 192 |
a CC50 – цитотоксическая концентрация, мкМ.
б IC50 – 50% ингибирующая концентрация, мкМ.
в SI – индекс селективности, отношение CC50/IC50.
г Препарат сравнения.
Схема 3
ВЫВОДЫ
Кипячением в толуоле синтезированы аддукты Дильса–Альдера N-замещенных 2-пиридонов с N-изопропил-, -фенил- и -бензилзамещенными имидами малеиновой кислоты; изучены их цитотоксичность и активность в отношении аденовируса человека 5 типа (AdV5). Показано, что синтезированные аддукты обладают низкой токсичностью в отношении клеток MA-104. В то же время, активность соединений в отношении аденовируса человека невелика: способностью ингибировать репродукцию AdV5 обладает лишь 9-гексил-2-фенил-3a,4,7,7a-тетрагидро-1H-4,7-(эпиминометано)изоиндол-1,3,8-трион, его индекс селективности равен 7.
ЭКСПЕРИМЕНТАЛЬНАЯ ЧАСТЬ
В качестве исходных соединений использовали коммерчески доступные пиридин-2(1H)-он 1 (CAS 142-08-5), 2-бром-1-(3-иодофенил)этан-1-он (CAS 61858-38-6), 1-(2-оксо-2-фенилэтил)пиридин-2(1H)-он 2 (CAS 952-75-0), 1-[2-(хлорфенил)-2-оксоэтил]пиридин-2(1H)-он 3 (CAS 282730-01-2), 1-метилпиридин-2(1H)-он 5 (CAS 694-85-9), 1-этилпиридин-2(1H)-он 6 (CAS 13337-79-6), 1-пропилпиридин-2(1H)-он 7 (CAS 19006-63-4), 1-изопентилпиридин-2(1H)-он 8 (CAS 55475-84-8), 1-гексилпиридин-2(1H)-он 9 (CAS 38591-66-1), 1-бензилпиридин-2(1H)-он 10 (CAS 1753-62-4), N-фенилмалеинимид 11 (CAS 941-69-5), N-изопропилмалеинимид 12 (CAS 1073-93-4), N-бензилмалеинимид 13 (CAS 1631-26-1). Физико-химические константы аддуктов 17–18 и 24–26 соответствовали литературным [23].
Контроль за ходом реакций осуществляли методом ТСХ на пластинах ALUGRAM®. Колоночная хроматография (КХ) выполнена на силикагеле (0.05–0.1 мм) (Macherey-Nagel, Германия). Температуры плавления определены на аппарате Boetius (PHMK 05 VEB Wagetechnik Rapido, Германия). Элементный анализ выполнен на CHNS анализаторе Euro 3000 (Hekatech). Спектры ЯМР 1Н, 15N и 13С записаны в дейтерированном ДМСО или CDCl3 на импульсном спектрометре Bruker Avance III с рабочей частотой 500.13 (1H) и 125.47 МГц (13C).
1-[2-(3-Иодфенил)-2-оксоэтил]пиридин-2(1H)-он (4). К раствору 0.2 г (2.11 ммоль) пиридона 1 в 10 мл ацетона, добавляли 0.73 г (5.26 ммоль) K2CO3 и 0.68 г (2.11 ммоль) м-иод-α-бромацетофенона, смесь кипятили с обратным холодильником до полного исчезновения исходного пиридона. По окончании реакции (контроль по ТСХ), реакционную массу фильтровали, упаривали, остаток хроматографировали на SiO2 (CHCl3). Выход 87% (0.62 г), белые кристаллы, т. пл. 119–120°С (CHCl3), Rf 0.4 (CHCl3:MeOH = 95:5). ИК спектр (вазелиновое масло), ν, см–1: 1705, 1656, 1652, 1587, 1541, 1464, 1410, 1377, 1353, 1215, 1171, 1146, 1063, 1015, 917, 843, 786, 764, 682, 563, 527, 502, 460, 369. Спектр ЯМР 1H (CDCl3), δ, м. д. (J, Гц): 5.31 с (2H, H1′), 6.21 д. т (1H, H5, 3J5-6 = 3J5-4 = 6.7, 4J5-3 1.5), 6.57 д. д (1H, H3, 3J3-4 9.2, 4J3-5 1.5), 7.22 т (1H, H5″, 3J5′′-4′′ = 3J5″-6″ = 7.8), 7.23 д. д (1H, H6, 3J6-5 6.7, 4J6-4 2.1), 7.38 д. д. д (1H, H4, 3J4-3 9.2, 3J4-5 6.7, 4J4-6 2.1,), 7.91 д. т (1H, H4″, 3J4″-5″ 7.8, 4J4″-2″ 1.5,), 7.94 д. т (1H, H6″, 3J6″-5″ 7.8, 4J6″-2″ 1.5), 8.28 т (1H, H2″, 4J2″-4″ = 4J2″-6″ = 1.5). Спектр ЯМР 13C (CDCl3), δС, м. д.: 54.46 (C1′), 94.58 (C3″), 106.29 (C5), 120.54 (C3), 127.20 (C6″), 130.52 (C5″), 136.26 (C1″), 136.91 (C2″), 138.35 (C6), 140.35 (C4), 142.63 (C4″), 162.29 (C2), 191.10 (C2′). Спектр ЯМР 15N (CDCl3), δN, м. д.: 165.27 (N1). Найдено, %: C 46.05; H 2.94; I 36.42; N 4.14. C13H10INO2. Вычислено, %: C 46.04; H 2.97; I 37.42; N 4.13.
9-(2-Оксо-2-фенилэтил)-2-фенил-3a,4,7,7a-тетрагидро-1H-4,7-(эпииминоэтано)изоиндол-1,3,8-трион (14). К раствору 0.2 г (0.94 ммоль) 2-N-замещенного производного пиридона 2 в 10 мл толуола добавляли 0.81 г (4.69 ммоль) N-фенилмалеинимида. Смесь кипятили. Контроль за ходом реакции осуществляли методом ТСХ. Реакционную массу упаривали, остаток хроматографировали на SiO2 (CHCl3). Выход 89% (0.32 г), аморфное вещество, Rf 0.4 (EtOAc). ИК спектр (вазелиновое масло), ν, см–1: 1774, 1711, 1704, 1681, 1596, 1498, 1456, 1448, 1407, 1384, 1356, 1263, 1224, 1179, 1099, 1056, 997, 968, 924, 805, 753, 721, 691, 643, 611, 557, 492. Спектр ЯМР 1H (ДМСО-d6), δ, м. д. (J, Гц): 3.55 д. д (1H, H7a, 3J7a-3a 8.0, 3J7a-7 3.4), 3.78 д. д. д (1H, H7, 3J7-6 5.8, 3J7-7a 3.4, 4J7-5 1.7), 4.05 д. д (1H, H3a, 3J3a-7a 8.0, 3J3a-4 4.2,), 4.86 д (1H, H1′A, 2J 18.3), 4.88 д. д. д (1H, H4, 3J4-5 5.4, 3J4-3a 4.2, 4J4-6 1.8), 5.07 д (1H, H1′B, 2J 18.3), 6.57 д. д. д (1H, H6, 3J6-5 7.6, 3J6-7 5.8, 4J6-4 1.8), 6.70 д. д. д (1H, H5, 3J5-6 7.6, 3J5-4 5.4, 4J5-7 1.7), 7.16 д (2H, Hорто, 3J 7.5), 7.43 т (1H, Hпара, 3J 7.5), 7.49 т (2H, Hмета, 3J 7.5), 7.57 т (2H, H3″(5″), 3J 7.4), 7.70 т (1H, H4″, 3J 7.4), 8.00 д (2H, H2″(6″), 3J 7.4). Спектр ЯМР 13C (ДМСО-d6), δС, м. д.: 40.96 (C7a), 45.13 (C7), 46.62 (C3a), 51.73 (C1′), 55.27 (C4), 126.72 (Cорто), 127.81 (C2″(6″)), 128.50 (Cпара), 128.77 (C3″(5″)), 128.88 (Cмета), 130.32 (C6), 131.84 (Cипсо), 133.21 (C5), 133.72 (C4″), 134.49 (C1″), 170.89 (C8), 174.66 (C3), 175.29 (C1), 194.73 (C2′). Спектр ЯМР 15N (ДМСО-d6), δN, м. д.: 116.92 (N9), 193.42 (N2). Найдено, %: C 71.51; H 4.68; N 7.26. C23H18N2O4. Вычислено, %: C 71.49; H 4.70; N 7.25.
9-[2-(2-Хлорфенил)-2-оксоэтил]-2-фенил3a,4,7,7a-тетрагидро-1H-4,7-(эпииминометано)изоиндол-1,3,8-трион (15) получали аналогично из 0.2 г (0.81 ммоль) производного 3 и 0.81 г (4.06 ммоль) N-фенилмалеинимида 11. Продукт 15 выделяли методом колоночной хроматографии на SiO2 (CHCl3). Выход 84% (0.28 г), аморфное вещество, Rf 0.5 (EtOAc). ИК спектр (вазелиновое масло), ν, см–1: 1769, 1688, 1599, 1496, 1457, 1383, 1352, 1294, 1254, 1219, 1183, 1139, 1098, 1060, 991, 966, 927, 814, 753, 721, 694, 678, 643, 608, 598, 515, 491, 458, 424, 383. Спектр ЯМР 1H (CDCl3), δ, м. д. (J, Гц): 3.55 м (1H, H7a), 4.09 м (1H, H7), 4.16 м (1H, H3a), 4.52 д (1H, H1′A, 2J 18.2), 4.74 м (1H, H4), 5.01 д (1H, H1′B, 2J 18.2), 6.51 м (1H, H6), 6.64 м (1H, H5), 7.16 уш. д (2H, Hорто, 3J 7.5), 7.37 м (1H, H5″), 7.41 м (1H, Hпара), 7.45 м (2H, Hмета), 7.45 м (1H, H3″), 7.46 м (1H, H4″), 7.62 уш. д (1H, H6″, 3J 7.7). Спектр ЯМР 13C (CDCl3), δС, м. д.: 40.99 (C7a), 45.50 (C7), 46.87 (C3a), 55.11 (C1′), 56.42 (C4), 126.27 (Cорто), 127.26 (C5″), 128.96 (Cпара), 129.22 (Cмета),129.81 (C6″), 130.80 (C3″), 130.95 (C6), 131.42 (Cипсо), 131.49 (C2″), 132.65 (C5),132.96 (C4″), 136.08 (C1″), 171.26 (C8), 174.33 (C3), 174.74 (C1), 196.91 (C2′). Спектр ЯМР 15N (CDCl3), δN, м. д.: 117.55 (N9), 194.15 (N2). Найдено, %: C 65.66; H 4.06; Cl 8.43; N 6.68. C23H17ClN2O4. Вычислено, %: C 65.64; H 4.07; Cl 8.42; N 6.66.
9-[2-(3-Иодфенил)-2-оксоэтил]-2-фенил-3a,4,7,7a-тетрагидро-1H-4,7-(эпиминометано)изоиндол-1,3,8-трион (16) получали аналогично из 0.2 г (0.59 ммоль) производного 4 и 0.51 г (2.95 ммоль) N-фенилмалеинимида 11. Продукт 16 выделяли методом колоночной хроматографии на SiO2 (CHCl3). Выход 97% (0.29 г), аморфное вещество, Rf 0.5 (EtOAc). ИК спектр (вазелиновое масло), ν, см–1: 1781, 1712, 1679, 1608, 1597, 1560, 1500, 1455, 1384, 1352, 1265, 1222, 1194, 1110, 1051, 993, 971, 811, 745, 723, 687, 639, 618, 547, 491, 479, 437, 392. Спектр ЯМР 1H (ДМСО-d6), δ, м. д. (J, Гц): 3.54 д. д (1H, H7a, 3J7a-3a 8.0, 3J7a-7 3.4), 3.78 д. д. д (1H, H7, 3J7-6 5.8, 3J7-7a 3.4, 4J7-5 1.7), 4.01 д. д (1H, H3a, 3J3a-7a 8.0, 3J3a-4 4.2), 4.84 д (1H, H1′A, 2J 18.3), 4.87 д. д. д (1H, H4, 3J4-5 5.4, 3J4-3a 4.2, 4J4-6 1.8), 5.05 д (1H, H1′B, 2J 18.3), 6.57 д. д. д (1H, H6, 3J6-5 7.6, 3J6-7 5.8, 4J6-4 1.8), 6.69 д. д. д (1H, H5, 3J5-6 7.6, 3J5-4 5.4, 4J5-7 1.7), 7.16 д (2H, Hорто, 3J 7.5), 7.37 т (1H, H5″, 3J5″-4″ = 3J5″-6″ = 7.8), 7.43 т (1H, Hпара, 3J 7.5), 7.49 т (2H, Hмета, 3J 7.5), 8.00 д. т (1H, H4″, 3J4″-5″ 7.8, 4J4″-6″ = 4J4″-2″ = 1.6), 8.05 д. т (1H, H6″, 3J6″-5″ 7.8, 4J6″-2″ = 4J6″-4″ = 1.6), 8.29 т (1H, H2″, 4J2″-4″ = 4J2″-6″ = 1.6). Спектр ЯМР 13C (ДМСО-d6), δС, м. д.: 40.92 (C7a), 45.10 (C7), 46.59 (C3a), 51.73 (C1′), 55.20 (C4), 95.15 (C3″), 126.71 (Cорто), 127.12 (C4″), 128.52 (Cпара), 128.88 (Cмета), 130.33 (C6), 130.88 (C5″), 131.81 (Cипсо), 133.14 (C5), 136.11 (C2″), 136.41 (C1″), 142.01 (C6″), 170.90 (C8), 174.63 (C3), 175.26 (C1), 193.86 (C2′ Спектр ЯМР 15N (CDCl3), δN, м. д.: 116.87 (N9), 193.49 (N2). Найдено, %: C 53.93; H 3.31; I 24.76; N 5.46. C23H17IN2O4. Вычислено, %: C 53.92; H 3.34; I 24.77; N 5.47.
9-Этил-2-фенил-3a,4,7,7a-тетрагидро-1H-4,7-(эпиминометано)изоиндол-1,3,8-трион (20) получали аналогично из 0.2 г (1.62 ммоль) производного 6 и 1.40 г (8.1 ммоль) N-фенилмалеинимида 11. Продукт 20 выделен методом колоночной хроматографии на SiO2 (C6H6:MeOH = 99:1). Выход 72% (0.34 г), белые кристаллы, т. пл. 159–160°С (EtOAc), Rf 0.5 (EtOAc). ИК спектр (вазелиновое масло), ν, см–1: 2977, 1778, 1709, 1674, 1598, 1497, 1456, 1432, 1385, 1316, 1261, 1243, 1188, 1046, 885, 830, 757, 718, 693, 672, 604. Спектр ЯМР 1H (CDCl3), δ, м. д. (J, Гц): 1.09 т (3H, H2′, 3J 7.1), 3.25 д. т (1H, H1′A, 2J 14.1, 3J 7.1), 3.37 д. д (1H, H7а, 3J7a-3a 8.1, 3J7a-7 3.4), 3.52 д. т (1H, H1′B, 2J 14.1, 3J 7.1), 3.53 д. д (1H, H3a, 3J3a-7a 8.1, 3J3a-4 3.9), 4.01 д. д. д (1H, H7, 3J7-6 5.8, 3J7-7a 3.4, 4J7-5 1.7), 4.69 д. д. д (1H, H4, 3J4-5 5.5, 3J4-3a 3.9, 4J4-6 1.8), 6.48 д. д. д (1H, H6, 3J6-5 7.6, 3J6-7 5.8, 4J6-4 1.8), 6.55 д. д. д (1H, H5, 3J5-6 7.6, 3J5-4 5.5, 4J5-7 1.7), 7.14 д (2H, Hорто, 3J 7.5), 7.38 т (1H, Hпара, 3J 7.5), 7.44 т (2H, Hмета, 3J 7.5). Спектр ЯМР 13C (CDCl3), δС, м. д.: 13.08 (C2′), 39.68 (C1′), 40.77 (C7a), 46.03 (C7), 47.09 (C3a), 54.18 (C4), 126.21 (Cорто), 128.94 (Cпара), 129.16 (Cмета), 131.36 (Cипсо), 131.67 (C6), 132.14 (C5), 170.50 (C8), 174.10 (C3), 174.69 (C1). Спектр ЯМР 15N (CDCl3), δN, м. д.: 128.29 (N9), 193.65 (N2). Найдено, %: C 68.92; H 5.46; N 9.46. C17H16N2O3. Вычислено, %: C 68.91; H 5.44; N 9.45.
2-Фенил-9-пропил-3a,4,7,7a-тетрагидро-1H-4,7-(эпиминометано)изоиндол-1,3,8-трион (21) получали аналогично из 0.2 г (1.5 ммоль) производного 7 и 1.29 г (7.50 ммоль) N-фенилмалеинимида 11. Продукт 21 выделяли методом колоночной хроматографии на SiO2 (гексан:этилацетат = 7:3). Выход 71% (0.32 г), аморфное вещество, Rf 0.5 (EtOAc). ИК спектр (вазелиновое масло), ν, см–1: 1779, 1708, 1650, 1606, 1499, 1465, 1434, 1398, 1300, 1263, 1247, 1205, 1167, 1069, 1053, 901, 829, 811, 751, 720, 693, 674, 642, 608, 481. Спектр ЯМР 1H (CDCl3), δ, м. д. (J, Гц): 0.85 т (3H, H3′, 3J 6.9), 1.49 м (1H, H2′, 3J 6.9), 3.10 д. т (1H, H1′A, 2J 14.0, 3J 6.9), 3.33 д. д (1H, H7a, 3J7a-3a 8.1, 3J7a-7 3.4), 3.44 д. т (1H, H1′B, 2J 14.0, 3J 6.9), 3.50 д. д (1H, H3a, 3J3a-7a 8.1, 3J3a-4 4.0), 3.98 д. д. д (1H, H7, 3J7-6 5.8, 3J7-7a 3.4, 4J7-5 1.7), 4.63 д. д. д (1H, H4, 3J4-5 5.5, 3J4-3a 4.0, 4J4-6 1.8), 6.46 д. д. д (1H, H6, 3J6-5 7.6, 3J6-7 5.8, 4J6-4 1.8), 6.52 д. д. д (1H, H5, 3J5-6 7.6, 3J5-4 5.5, 4J5-7 1.7), 7.14 д (2H, Hорто, 3J 7.5), 7.37 т (1H, Hпара, 3J 7.5), 7.43 т (2H, Hмета, 3J 7.5). Спектр ЯМР 13C (CDCl3), δС, м. д.: 11.11 (C3′), 21.34 (C2′), 40.79 (C7a), 46.03 (C7), 46.46 (C1′), 46.95 (C3a), 54.59 (C4), 126.21 (Cорто), 128.88 (Cпара), 129.11 (Cмета), 131.42 (Cипсо), 131.67 (C6), 132.07 (C5), 170.73 (C8), 174.10 (C3), 174.69 (C1). Спектр ЯМР 15N (CDCl3), δN, м. д.: 126.19 (N9), 193.66 (N2). Найдено, %: C 69.67; H 5.84; N 9.01. C18H18N2O3. Вычислено, %: C 69.66; H 5.85; N 9.03.
9-(3-Метилбутил)-2-фенил-3a,4,7,7a-тетрагидро-1H-4,7-(эпиминометано)изоиндол-1,3,8-трион (22) получали аналогично из 0.2 г (1.21 ммоль) производного 8 и 1.0 г (6.0 ммоль) N-фенилмалеинимида 11. Продукт 22 выделяли методом колоночной хроматографии на SiO2 (C6H6:MeOH = 99:1). Выход 78% (0.32 г), белые кристаллы, т. пл. 173–175°С (EtOAc), Rf 0.5 (EtOAc). ИК спектр (пленка), ν, см–1: 2956, 1712, 1673, 1611, 1497, 1457, 1431, 1388, 1237, 1190, 759, 742, 718, 692, 671, 598, 515. Спектр ЯМР 1H (CDCl3), δ, м. д. (J, Гц): 0.91 д (3H, H5′, 3J 6.6), 0.93 д (3H, H4′, 3J 6.6), 3.50 т. д (2H, H2′, 3J2′-1′A(1′B) 7.2, 3J2′-3′ 6.6), 1.51 м (1H, H3′, 3J 6.6), 3.20 д. т (1H, H1′A, 2J 14.2, 3J 7.2), 3.37 д. д (1H, H7a, 3J7a-3a 8.1, 3J7a-7 3.3), 3.50 д. т (1H, H1′B, 2J 14.2, 3J 7.2), 3.53 д. д (1H, H3a, 3J3a-7a 8.1, 3J3a-4 4.0), 4.02 д. д. д (1H, H7, 3J7-6 5.8, 3J7-7a 3.3, 4J7-5 1.7), 4.66 д. д. д (1H, H4, 3J4-5 5.5, 3J4-3a 4.0, 4J4-6 1.8), 6.48 д. д. д (1H, H6, 3J6-5 7.6, 3J6-7 5.8, 4J6-4 1.8), 6.54 д. д. д (1H, H5, 3J5-6 7.6, 3J5-4 5.5, 4J5-7 1.7), 7.14 д (2H, Hорто, 3J 7.5), 7.38 т (1H, Hпара, 3J 7.5), 7.44 т (2H, Hмета, 3J 7.5). Спектр ЯМР 13C (CDCl3), δС, м. д.: 22.36 (C5′), 22.54 (C4′), 25.76 (C3′), 36.73 (C2′), 40.83 (C7a), 43.26 (C1′), 46.05 (C7), 47.00 (C3a), 54.43 (C4), 126.21 (Cорто), 128.95 (Cпара), 129.18 (Cмета), 131.35 (Cипсо), 131.75 (C6), 132.04 (C5), 170.58 (C8), 174.14 (C3), 174.66 (C1). Спектр ЯМР 15N (CDCl3), δN, м. д.: 126.29 (N9), 193.69 (N2). Найдено, %: C 70.97; H 6.56; N 8.26. C20H22N2O3. Вычислено, %: C 70.99; H 6.55; N 8.28.
9-Гексил-2-фенил-3a,4,7,7a-тетрагидро-1H-4,7-(эпиминометано)изоиндол-1,3,8-трион (23) получали аналогично из 0.2 г (1.12 ммоль) производного 9 и 0.97 г (5.59 ммоль) N-фенилмалеинимида 11. Продукт 23 выделяли методом колоночной хроматографии на SiO2 (бензол). Выход 68% (0.27 г), белые кристаллы, т. пл. 131–133°С (CHCl3), Rf 0.3 (CHCl3). ИК спектр (пленка), ν, см–1: 2955, 2930, 2871, 1779, 1713, 1668, 1608, 1598, 1497, 1457, 1433, 1383, 1318, 1291, 1263, 1192, 1133, 1059, 1003, 830, 810, 792, 749, 719, 690, 672, 639, 607, 515, 485. Спектр ЯМР 1H (CDCl3), δ, м. д. (J, Гц): 0.88 т (3H, H6′, 3J 7.2), 1.22–1.31 м (1H, H5′), 1.47 м (1H, H2′, 3J 6.9), 3.16 д. т (1H, H1′A, 2J 14.0, 3J 6.9), 3.37 д. д (1H, H7a, 3J7a-3a 8.1, 3J7a-7 3.4), 3.48 д. т (1H, H1′B, 2J 14.0, 3J 6.9), 3.53 д. д (1H, H3a, 3J3a-7a 8.1, 3J3a-4 4.0), 4.02 д. д. д (1H, H7, 3J7-6 5.8, 3J7-7a 3.4, 4J7-5 1.7), 4.66 д. д. д (1H, H4, 3J4-5 5.5, 3J4-3a 4.0, 4J4-6 1.8), 6.48 д. д. д (1H, H6, 3J6-5 7.6, 3J6-7 5.8, 4J6-4 1.8), 6.54 д. д. д (1H, H5, 3J5-6 7.6, 3J5-4 5.5, 4J5-7 1.7), 7.14 д (2H, Hорто, 3J 7.5), 7.38 т (1H, Hпара, 3J 7.5), 7.43 т (2H, Hмета, 3J 7.5). Спектр ЯМР 13C (CDCl3), δС, м. д.: 13.98 (C6′), 22.46 (C5′), 26.28 (C3′), 28.03 (C2′), 31.40 (C4′), 40.84 (C7a), 44.95 (C1′), 46.06 (C7), 47.00 (C3a), 54.60 (C4), 126.22 (Cорто), 128.94 (Cпара), 129.17 (Cмета), 131.38 (Cипсо), 131.75 (C6), 132.06 (C5), 170.68 (C8), 174.13 (C3), 174.68 (C1). Спектр ЯМР 15N (CDCl3), δN, м. д.: 126.44 (N9), 193.69 (N2). Найдено, %: C 71.55; H 6.87; N 7.96. C21H24N2O3. Вычислено, %: C 71.57; H 6.86; N 7.95.
Вирусы и клетки. В работе использовали аденовирус человека 5 типа (AdV5) из коллекции вирусов Научно-исследовательского института эпидемиологии и микробиологии имени Пастера. Вирус культивировали в эмбриональных клетках почки макаки резус MA-104 (ATCC CRL-2378.1) при 36°C в атмосфере 5% CO2. Клетки MA-104 в среде альфа-MEM (Биолот, Санкт-Петербург) рассевали на 96-луночные планшеты для клеточных культур и инкубировали при 36°C в 5% CO2 до образования однородного монослоя.
Анализ цитотоксичности in vitro. Цитотоксичность соединений изучали в микротетразолиевом тесте (МТТ). Для этого из каждого соединения готовили серию трехкратных разведений (3.7–300 мкг/мл) в среде альфа-MEM. Вещества в соответствующих разведениях вносили в лунки планшета и инкубировали с клетками инкубировали в течение 96 ч 36°C в 5% CO2. По окончании инкубации клетки дважды промывали физиологическим фосфатным буфером (PBS) и добавляли раствор 3-(4,5-диметилтиазол-2-ил)-2,5-дифенилтетразолия бромида (0.5 мг/мл) в альфа-MEM. После 1 ч инкубации лунки промывали PBS, остаток формазана растворяли в 0.1 мл ДМСО на лунку. Оптическую плотность в лунках измеряли с помощью планшетного анализатора Multiskan FC (Thermo Scientific) при длине волны 540 нм. Каждую концентрацию производных 14–26 тестировали в трех параллелях. На основании полученных результатов для каждого анализируемого соединения рассчитывали 50%-ную цитотоксическую концентрацию (СС50, концентрацию соединения, которая снижала оптическую плотность в два раза по сравнению с контрольными лунками). Расчет проводили при помощи программного обеспечения GraphPad Prism 6.01 (4-параметрическое уравнение доза–эффект). Полученные данные в мкг/мл переводили в молярные концентрации.
Противовирусная активность in vitro. Ингибирующую активность тестируемых соединений 14–26 определяли по эффекту цитопротекции, оценивая снижение вирус-индуцированного цитопатогенного эффекта (CPE) под их действием. После добавления соединений в диапазоне концентраций и 1 ч инкубации клетки заражали AdV5 (m.o.i. 0.01). После 96 ч инкубации проводили МТТ-тест, как описано выше. На основании полученных результатов рассчитывали 50%-ную ингибирующую концентрацию (IC50), т. е. концентрацию соединения, которая защищала 50% клеток по сравнению с плацебо-контролем. Полученные данные из весовых концентраций (мкг/мл) переводили в молярные. Каждую концентрацию соединений тестировали в трех параллелях. Для каждого соединения рассчитывали индекс селективности (SI, отношение CC50 к IC50).
БЛАГОДАРНОСТЬ
Все эксперименты выполнены на оборудовании Центра коллективного пользования «Химия» Уфимского института химии Уфимского федерального исследовательского центра РАН и Регионального центра коллективного пользования «Агидель» Уфимского федерального исследовательского центра РАН.
ФИНАНСОВАЯ ПОДДЕРЖКА
Работа выполнена при поддержке Российского научного фонда (проект № 24-23-00363 «Синтез и исследование противовирусной активности производных тритерпеновых кислот солодки и хинолизидиновых алкалоидов термопсиса как ингибиторов аденовирусов»).
КОНФЛИКТ ИНТЕРЕСОВ
Авторы заявляют об отсутствии конфликта интересов.
About the authors
V. A. Sorokina
Ufa Federal Research Center of the Russian Academy of Sciences
Email: tsypysheva.ip@gmail.com
ORCID iD: 0000-0001-5311-9580
Russian Federation, Ufa
A. V. Kovalskaya
Ufa Federal Research Center of the Russian Academy of Sciences
Email: tsypysheva.ip@gmail.com
ORCID iD: 0000-0001-7772-2894
Russian Federation, Ufa
A. N. Lobov
Ufa Federal Research Center of the Russian Academy of Sciences
Email: tsypysheva.ip@gmail.com
ORCID iD: 0000-0002-9223-508X
Russian Federation, Ufa
P. A. Ilyina
Saint Petersburg Pasteur Institute
Email: tsypysheva.ip@gmail.com
Russian Federation, Saint Petersburg
V. V. Zarubaev
Saint Petersburg Pasteur Institute
Email: tsypysheva.ip@gmail.com
ORCID iD: 0000-0002-6837-5242
Russian Federation, Saint Petersburg
I. P. Tsypysheva
Ufa Federal Research Center of the Russian Academy of Sciences
Author for correspondence.
Email: tsypysheva.ip@gmail.com
ORCID iD: 0000-0002-5025-8742
Russian Federation, Ufa
References
- Российский терапевтический справочник / Под ред. А.Г. Чучалина. М.: ГЭОТАР-Медиа, 2005. 860 с.
- Arnold A., MacMahon E. // Medicine. 2021. Vol. 49. N 12. P. 790. doi: 10.1016/j.mpmed.2021.09.013
- Rowe W.P., Huebner R.J., Gilmore L.K., Parrott R.H., Ward T.G. // Proc. Soc. Exp. Biol. Med. 1953. Vol. 84. N 3. P. 570. doi: 10.3181/00379727-84-20714
- Binder A.M., Bigg H.M., Hayne A.K., Chommanard C., Lu X., Erdma D.D., Watson J., Gerber S.I. // Morb. Mortal. Wkly. Rep. 2017. Vol. 66. P. 1039. doi: 10.15585/mmwr.mm6639a2
- Munoz F.M., Piedra P.A., Demmler G.J. // Clin. Infect. Dis. 1998. Vol. 27. N 5. P. 1194. doi: 10.1086/514978
- Abzug M.J., Levin M.J. // Pediatrics. 1991. Vol. 87. N 6. P. 890.
- Rosario R.F., Kimbrough R.C., Van Buren D.H., Laski M.E. // Transpl. Infect. Dis. 2006. Vol. 8. N 1. P. 54. doi: 10.1111/j.1399-3062.2006.00137.x
- Abarca V.K., Le Corre P.N., Perret P.C., Wietstruck P.A., Oddó B.D., Barriga C.F. // Rev. Chilena Infectol. 2008. Vol. 25. N 2. P. 127.
- Hierholzer J.C. // Clin. Microbiol. Rev. 1992. Vol. 5. N 3. P. 262. doi: 10.1128/CMR.5.3.262
- Cox M.M. // Yale J. Biol. Med. 2005. Vol. 78. N 5. P. 321.
- Cesaro S., Porta F. // J. Clin. Med. 2022. Vol. 11. N 16. P. 4827. doi: 10.3390/jcm11164827
- Mazzotta S., Berastegui-Cabrera J., Vega-Holm M., García-Lozano M.D.R., Carretero-Ledesma M., Aiello F., Vega-Pérez J.M., Pachón J., Iglesias-Guerra F., Sánchez-Céspedes J. // Bioorg. Chem. 2021. Vol. 114. P. 105095. doi: 10.1016/j.bioorg.2021.105095
- Ehlert K., Schulte J.H., Kühl J.S., Lang P., Eggert A., Voigt S. // J. Pediatric Infect. Dis. Soc. 2021. Vol. 10. N 11. P. 987. doi: 10.1093/jpids/piab072
- Dahal S., Cheng R., Cheung P.K., Been T., Malty R., Geng M., Manianis S., Shkreta L., Jahanshahi S., Toutant J., Chan R., Park S., Brockman M.A., Babu M., Mubareka S., Mossman K., Banerjee A., Gray-Owen S., Brown M., Houry W.A., Chabot B., Grierson D., Cochrane A. // Viruses. 2022. Vol. 14. P. 60. doi: 10.3390/v14010060
- Nikitenko N.A., Gureeva E.S., Ozerov A.A., Tukhvatulin A.I., Izhaeva F.M., Prassolov V.S., Deryabin P.G., Novikov M.S., Logunov D.Y. // Acta Naturae. 2018. Vol. 10. N 2. P. 58.
- Kang D., Zhang H., Zhou Z., Huang B., Naesens L., Zhan P., Liu X. // Bioorg. Med. Chem. Lett. 2016. Vol. 26. N 21. P. 5182. doi: 10.1016/j.bmcl.2016.09.071
- Sánchez-Céspedes J., Martínez-Aguado P., Vega-Holm M., Serna-Gallego A., Candela J.I., Marrugal-Lorenzo J.A., Pachón J., Iglesias-Guerra F., Vega-Pérez J.M. // J. Med. Chem. 2016. Vol. 59. N 11. P. 5432. doi: 10.1021/acs.jmedchem.6b00300
- Mazzotta S., Marrugal-Lorenzo J.A., Vega-Holm M., Serna-Gallego A., Álvarez-Vidal J., Berastegui-Cabrera J., Pérez Del Palacio J., Díaz C., Aiello F., Pachón J., Iglesias-Guerra F., Vega-Pérez J.M., Sánchez-Céspedes J. // Eur. J. Med. Chem. 2020. Vol. 185. P. 111840. doi 10.1016/ j.ejmech.2019.111840
- Fedorova V.A., Kadyrova R.A., Slita A.V., Muryleva А.A., Petrova P.R., Kovalskaya A.V., Lobov A.N., Tsypyshev D.O., Borisevich S.S., Tsypysheva I.P., Zileeva Z.R., Vakhitova J.V., Zarubaev V.V. // Nat. Prod. Res. 2021. Vol. 35. P. 4256. doi: 10.1080/14786419.2019.1696791
- Tsypysheva I.P., Lai Hs.-Ch., Kiu Y.-T., Koval’skaya A.V., Tsypyshev D.O., Huang S.-H., Lin Ch.-W. // Bioorg. Med. Chem. Lett. 2021. Vol. 54. P. 128437. doi 10.1016/ j.bmcl.2021.128437
- Lin C.S., Lu C.H., Lin T.H., Kiu Y.T., Kan J.Y., Chang Y.J., Hung .PY., Koval’skaya A.V., Tsypyshev D.O., Tsypysheva I.P., Lin C.W. // Bioorg. Med. Chem. Lett. 2024. Vol. 99. P. 129623. doi: 10.1016/j.bmcl.2024.129623
- Tsypysheva I., Koval’skaya A., Petrova P., Lobov A., Borisevich S., Tsypyshev D., Fedorova V., Gorbunova E., Galochkina A., Zarubaev V. // Tetrahedron. 2019. Vol. 75. P. 2933. doi: 10.1016/j.tet.2019.04.021
- Фарафонтова-Антипина Е.И., Ковальская А.В., Петрова П.Р., Сайфутдиярова Р.Р., Цыпышев Д.О., Федорова В.А., Лобов А.Н., Борисевич С.С. // Вестн. Башкирск. унив. 2018. № 1. С. 27.
- Afarinkia K., Vinader V., Nelson T.D., Posner G.H. // Tetrahedron. 1992. Vol. 48. N 42. P. 9111. doi: 10.1021/jo00041a010
- Leyssen P., de Clercq E., Neyts J. // Mol. Pharmacol. 2006. Vol. 69. P. 1461. doi: 10.1124/mol.105.020057
Supplementary files





