Effect of Aminophenol and Amino Acids Derivatives on the Level of Nitrosyl Radical and Its Active Forms In Vitro
- Authors: Ovsyannikova E.M.1, Burko A.A.1, Ksendzova G.A.1, Sorokin V.L.1, Karankevich E.G.2, Yurkova I.L.1
-
Affiliations:
- Belarussian State University
- Institute of Physical Organic Chemistry, National Academy of Sciences of Belarus
- Issue: Vol 94, No 6 (2024)
- Pages: 734-745
- Section: Articles
- URL: https://medbiosci.ru/0044-460X/article/view/269856
- DOI: https://doi.org/10.31857/S0044460X24060077
- EDN: https://elibrary.ru/EZCTFV
- ID: 269856
Cite item
Full Text
Abstract
The effect of aminophenol, amino acids and their derivatives on the level of •NO and its intermediates (•NO2, N2O3) in an aqueous aerobic media (pH = 7.4) was studied using nitroprusside as a •NO donor. It was found that the highest NOx scavenging activity is exhibited by 3-aminophenol (IC50 = 0.11 mM), 2-aminophenol (IC50 = 0.195 mM) and 4,6-di-tert-butyl-2-aminophenol (IC50 = 0.12 mM), standards: trolox (IC50 = 0.19 mM) and ascorbate (IC50 = 4.88 mM). Methylation of the OH group reduced the effectiveness of aminophenol. In the studied concentration range (0–70 mM), Tyr-Ala (IC50 = 5.0 mM) and β-Ala-His (IC50 = 35.0 mM) were more active than Phe-Ala (IC50 > 50 mM) and Gly-Gly (IC50 > 50 mM). Complexes Cu(Gly)2 and Cu(Gly-Gly)2 at low concentrations (0.05–0.5 mM) are 1.4–1.8 times more effective than Gly and Gly-Gly.
Full Text
ВВЕДЕНИЕ
Монооксид азота [оксид азота(II) или нитрозил-радикал •NO] в организме образуется в ходе как ферментативных (окисление L-аргинина, катализируемого NO-синтазами), так и неферментативных (диспропорционирование нитрита в кислой среде, pH < 6.0, и др.) процессов [1–3]. NO является внутри- и внеклеточным переносчиком, играет важную роль во многих физиологических процессах (нейротрансмиссия, регуляция артериального давления, иммунный и воспалительный ответ, и др.) [1–3].
Монооксид азота [E°′(•NO/3NO–) = −0.8 В, рН = 7.0; E°′(•NO + H+)/1HNO = −0.5 В, pH = 7.4; E°′(NO+/•NO) = 1.45 В; E°(2•NO, 2e–, 2H+/N2O, H2O) = 1.59 В] обладает редокс-гибкостью, может выступать как донором, так и акцептором электрона в окислительно-восстановительных реакциях [4–7]. Нитрозил-радикал не способен инициировать отрыв атома Н от макромолекул и присоединяться по двойной связи, но активно взаимодействует со свободными радикалами, ионами переходных металлов (не- и гемовое железо, металлокомплексы) [3, 4, 7].
Монооксид азота в организме оказывает как анти-, так и прооксидантное действие [1, 2, 7–15]. Главным фактором, который определяет биологические эффекты NO, является его концентрация. В ходе процессов биорегуляции наблюдаются низкие концентрации NO (10–9–10–6 М.), однако при определенных условиях, например стимуляции макрофагов, уровень NO может значительно повышаться (>10–6 М.) [7, 9, 11]. Чрезмерное образование NO связано со многими патологиями (ревматоидный артрит, астма, атеросклероз, воспаление, нейродегенерация) [1, 2, 14, 15].
Прооксидантное действие NO может проявляться как вследствие его прямого взаимодействия с биомишенями, так и косвенно, через активные формы, а именно оксид азота(IV) [E°′(•NO2/NO2–) = 0.99–1.1 В)] и оксид азота(III) [азотистый ангидрид, сесквиоксид азота, E°′(N2O3/•NO, NO2–) = 0.8 В] [6–8, 10]. Диоксид азота способен вступать в различные реакции: отрыв атома Н от связи C–H, присоединение к связям C=C, перенос атома O, присоединение к свободным радикалам и перенос электрона [16]. Сесквиоксид азота является нитрозирующим агентом в аэрированных водных растворах монооксида азота [8, 9, 17]. Образование высших оксидов азота сопряжено с автоокислением NO. В водных растворах в присутствии молекулярного кислорода ([O2] = 2.4·10–4 М., рН = 7.4) •NO (раствoримость в вoде 1.8 мМ. при 25°С [18]) почти полностью превращается в нитрит-анион (HNO2, pKa = 3.37). Механизм превращения сложный, реализуется через протекание реакций (1–3), представленных на схеме 1 [6, 7, 19]. На первой стадии образуется •NO2, который далее в обратимой реакции с •NO трансформируется в N2O3. В водной среде N2O3, в отсутствие других мишеней, гидролизуется с образованием NO2– [19].
2•NO + O2 → 2•NO2, k ~ (2.9–4.8)·106 моль–2·л·с–1 (рН = 7.4), (1)
NO2 + •NO ↔ N2O3, k→ = 1.1·109 моль–1·л·с–1, k← = 8·104 моль–1·л·с–1, (2)
N2O3 + H2O → 2NO2– + 2Н+, k = (0.5–2)·103 с–1. (3)
Схема 1
Лимитирующей стадией образования NO2– является тримолекулярная реакция •NO с O2 [уравнение (1)], которая имеет суммарный третий порядок (второй по [•NO], первый по [О2]). Скорость реакции автоокисления NO в водном растворе зависит от его концентрации [7, 19].
Окисление и нитрозирование различных веществ в аэробных условиях может происходить с участием NO, •NO2 и N2O3, а также пероксинитрита ONOO– [E°′(ONOO–/•NO2, НО–) = 1.2–1.6 В, рН = 7.0; ONOOH, pKa = 6.8] [6], образующегося в реакции NO c супероксид анион-радикалом {E°′(O2(aq)/O2•–) = –0.16 В [20]} [7, 9, 10]. Превалирование того или иного процесса будет определяться константами скоростей реакций, концентрацией реагентов и окружающими условиями. Активные формы азота (•NO, •NO2, N2O3, ONOO–) способны вызывать дезаминирование аминокислот и оснований ДНК, образование нитрозотиолов (RSNO) и нитрозоаминов (R1R2NNO), нитрование белков (остатков тирозина и триптофана), усиливать перекисное окисление липидов [1–3, 7, 8]. В конечном итоге активные формы азота опосредуют развитие как нитрозативного, так и окислительного стресса [1–3, 7–11], механизм которого будет определяться видом и концентрацией образующихся активных частиц, что в свою очередь определяется клеточной средой.
Подходы к элиминированию избытка активных форм азота и предотвращению нитрозативного стресса до конца не определены. Актуальным является изучение способности различных соединений регулировать уровень активных форм азота. Значимую роль в антиоксидантной системе организма играют аминокислоты (АК) и их производные [21]. Активность в отношении активных форм азота наиболее изучена для триптофана, тирозина и цистеина [21]. Метионин, фенилаланин, гистидин, лизин и аргинин модифицируются при действии пероксинитрита [8, 21, 22]. В работе [23] изучена NO-акцепторная активность аминокислот с разветвленной цепью (лейцин, валин, изолейцин). Интенсивно исследуется NO-активность пептидов, выделенных из белковых гидролизатов [24–26]. Несмотря на большой накопленный материал, детальный механизм вовлечения производных аминокислот в регулирование свободно-радикальных процессов с участием •NO остается открытым. С этой точки зрения, интересными объектами исследования являются дипептиды. Как известно [27, 28], они проявляют различную биологическую активность, включая антиоксидантную, и вследствие своих свойств (лучшее усваивание, чем у свободных аминокислот и белковых гидролизатов, способность проникать через биомембраны и гематоэнцефалический барьер) являются привлекательными терапевтическими средствами.
Среди антиоксидантов важное место занимают природные фенолы и их синтетические функционализированные производные [29–31]. Фенольные соединения обладают потенциалом регулировать уровень NO [32–36]. Такие функционализированные фенолы, как производные аминофенола, проявляют противораковую, антивирусную и антирадикальную активность [37–41], при этом их роль в регулировании процессов с участием активных форм азота исследована недостаточно.
Целью настоящей работы было изучение способности отдельных производных аминофенола и аминокислот регулировать уровень нитрозил-радикала и его активных форм (•NO2, N2O3) в водной аэробной среде, используя нитропруссид в качестве донора •NO.
РЕЗУЛЬТАТЫ И ОБСУЖДЕНИЕ
Известно [42, 43], что нитропруссид натрия под воздействием света в водной среде (рН = 7.4) спонтанно разлагается с выделением NO. Нитрозил-радикал в аэробной среде окисляется до устойчивого метаболита, нитрит-аниона, через стадии образования промежуточных интермедиатов, как указано на схеме 1. Эффективность используемой тест-системы предварительно оценивали по известным акцепторам активных форм азота (NaN3, пиперазин, дофамин, Н2О2, аскорбиновая кислота, 6-гидрокси-2,5,7,8-тетраметилхроман-2-карбоновая кислота) [44–50]. Полученные данные подтверждают то, что тест-система на основе нитропруссида натрия позволяет оценить общую активность соединения в отношении NOх (•NO, NO2, N2O3) в физиологически значимых условиях. Концентрация NO2– в тест-системе в присутствии исследуемых соединений в сравнении с контрольной без добавок таковых выступает мерой их способности регулировать уровень NOх.
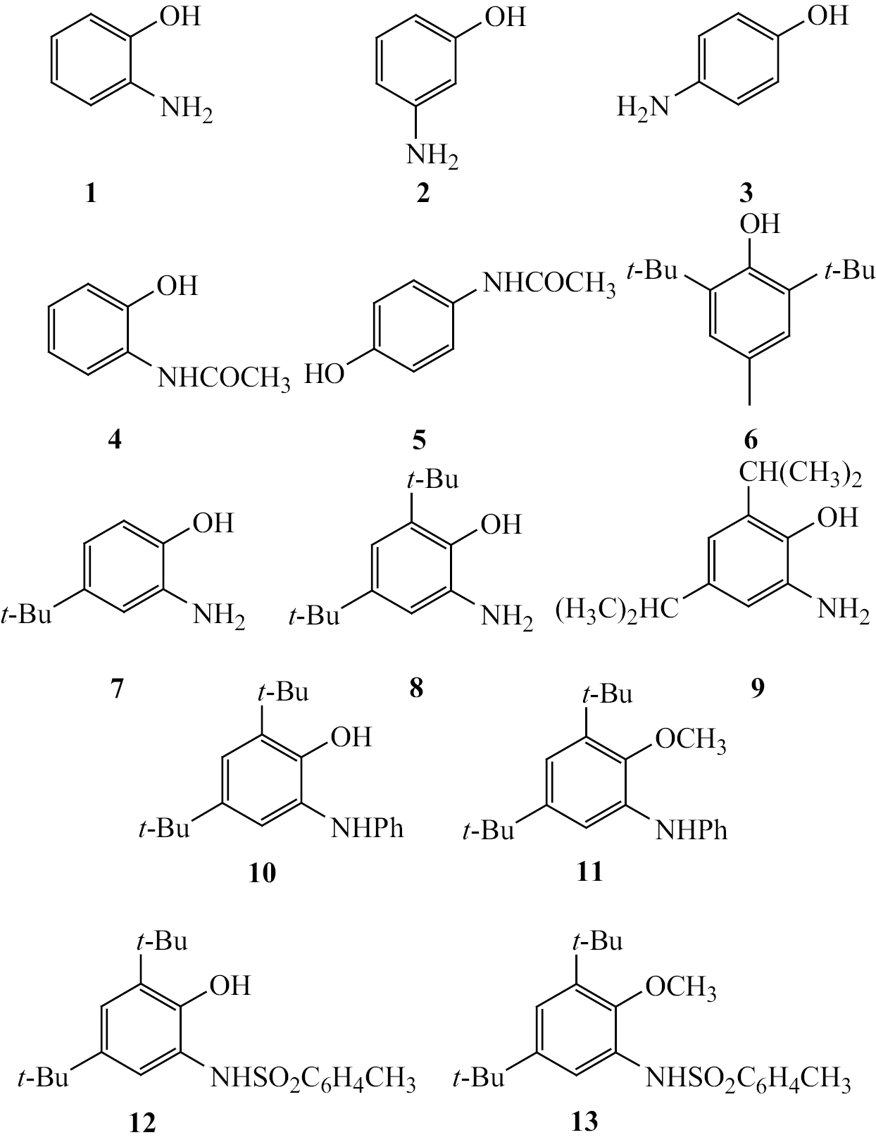
На схеме 2 представлены структурные формулы исследованных функционализированных фенолов. Выбор производных 2-аминофенола обусловлен тем, что ранее в наших исследованиях установлена их противовирусная и антиоксидантная активность [39–41, 51]. Аминофенол 10 является активным действующим началом противогерпетического препарата Бутаминофен, выпускаемого РУП «Белмедпрепараты».
Схема 2
На рис. 1 представлены зависимости концентрации нитрит-аниона в тест-системе (в % от контроля) от концентрации тестируемого соединения [S], полученные для соединений 1–3, 7, тролокса и убихинона Q0, не содержащего в отличие от фенольных соединений OH-групп. Как видно из данного рисунка, среди изомеров аминофенолы 2 и 1 обнаруживают большую или схожую NOх-акцепторную активноcть в сравнении со стандартным тролоксом, величины их индекса IC50 составляют 0.11, 0.195 и 0.19 мМ. соответственно. 4-Аминофенол уступает по эффективности другим изомерам, величина его IC50 составила 0.31 мМ. Введение трет-бутильного заместителя в пара-положение к ОН-группе у 2-аминофенола незначительно изменило его активность, для соединения 7 IC50 = 0.24 мМ. Для соединений 4, 5 и убихинона Q0 получены схожие зависимости %, [NO2–]0–[S], поэтому, чтобы не перегружать рис. 1, они не приводятся. В исследованном концентрационном диапазоне (0–3.0 мМ.) данные N-ацетилированные производные 2- и 4-аминофенола проявляют слабый эффект: при 3 мМ. снижают уровень NO2– на ~12–15% в сравнении с контролем.
Рис. 1. Накопление нитрит-аниона в тест-системе нитропруссид натрия–PSB (10/10 мМ., рН = 7.4) в присутствии функционализированных фенолов: 1 – 2, 2 – тролокс, 3 – 1, 4 – 3, 5 – 7, 6 – убихинон Q0
На рис. 2 представлены результаты, полученные для стерически затрудненных аминофенолов и их производных, которые исследованы в более узком концентрационном диапазоне (0–0.15 мМ.) вследствие их ограниченной растворимости в водных системах. NOx-Акцепторная активность данных соединений убывает в следующем ряду: 8 (IC50 = 0.125 мМ.) > тролокс > 9 > 10 > 12 > 11 ≥ 13 ≥ 6 (ионол). Надо отметить, что соединение 12 в сравнении с аминофенолом 11 оказалось более эффективно только при увеличении его концентрации в системе. Метилирование гидроксильной группы в бензольном кольце фенолов 10 и 12 (см. продукты 11 и 13) приводило к снижению активности.
Рис. 2. Накопление нитрит-аниона в тест-системе нитропруссид натрия–PSB (10/50 мМ., рН = 7.4) в присутствии функционализированных фенолов: 1 – 8, 2 – тролокс, 3 – 9, 4 – 10, 5 – 12, 6 – 11, 7 – 6, 8 – 13
Согласно полученным данным, исследованные аминофенолы и их производные в физиологически значимых условиях способны реагировать с нитрозил-радикалом и его интермедиатами. Следствием такого взаимодействия может являться образование нитрозо- и нитропроизводных. Взаиморасположение NH2- и OH-групп в бензольном кольце, наличие, положение и вид заместителей будут определять возможность С-, О- или N-нитрозирования (замещение атома Н в бензольном кольце, NH2- и OH-группах).
Образование конечных продуктов при взаимодействии аминофенолов и NOx может реализовываться через различные механизмы. Один из возможных путей – это нитрозирование с участием промежуточных радикальных интермедиатов. Фенольные соединения (АrОН) могут подвергаться одноэлектронному окислению диоксидом азота с образованием феноксильных радикалов (АrО•) [50, 52]. Например, константа скорости реакции NO2 с тирозином, гидрохиноном и тролоксом {E°(TхO•,H+/TхOH) = 0.48 В [53]} составляет 2.9·107, ~108 и <105 (рН = 6.6)–5·108 (рН = 11.5) моль–1·л·с–1 соответственно [34, 54, 55]. Образование С-нитропроизводных дофамина при его взаимодействии с NO/О2 объясняют возможностью формирования семихинон-радикала Q0Н• или Q0–• (рK радикала Q0Н• 5.9–6.45) [50, 56]. Последующее взаимодействие АrО• с NO2 и NO будет зависеть от структуры фенольного соединения и окружающих условий [50, 52, 57, 58].
С учетом свойств NO, окисление им фенольной ОН-группы с образованием АrО• представляется затруднительным [52]. Однако в работе [59] констатируют взаимодействие NO со стерически затрудненными фенольными антиоксидантами и токоферолом с образованием АrО•. Методом ЭПР показано, что в анаэробных условиях NO окисляет убихинолы Q0H2 и Q2H2 (k = 0.49·104 и 1.6·104 моль–1·л·с–1 соответственно) [34], а также 3,4-дигидроксифенилуксусную кислоту (но не дофамин) [60] с образованием семихинон-радикала и NO–. Следует отметить, что проблемой подобных исследований является полное элиминирование O2 и, следовательно, высших оксидов азота из системы [52].
В работе [32] NO-акцепторную способность различных гидрофильных антиоксидантов, включая кофейную кислоту и тролокс, объясняют реализацией окислительно-восстановительных процессов, а не свободнорадикального механизма.
Другой механизм нитрозирования функционализированных фенолов базируется на том, что данные соединения подвергаются электрофильной атаке нитрозирующим агентом, в частности N2O3, с образованием нитрозопроизводных, и последующем их окислении до нитросоединений [18, 56, 61].
Согласно полученным результатам все изомеры аминофенола 1–3 продемонстрировали способность снижать уровень NOx. Следует полагать, учитывая отличия в структуре, что механизм их взаимодействия с NO, NO2 и N2O3 будет различен. мета-Изомер аминофенола, который в отличие от орто- и пара-аминофенола не образует семихинон-радикалы, проявляет наибольший эффект. Для него характерна согласованная ориентация ОН- и NH2-групп, активирующих электрофильное замещение в орто- и пара-положение бензольного кольца, что, очевидно, способствует С-нитрозированию. Для фенольных соединений показано [36, 61–63], что С-нитрозирование идет более активно в пара-положение к ОН-группе, чем в орто-положение, что, вероятно, обусловливает меньшую активность афминофенола 3 в сравнении с аминофенолом 1. В работе [36] для пирокатехина и гидрохинона детектировали продукты О- и С-нитрозирования, в то время как для резорцина только С-нитрозопродукты. Нельзя исключать возможность образования О-нитропродуктов для аминофенолов 1 и 3 через стадию образования семихинон-радикалов, что, конечно, требует дальнейших углубленных исследований.
Введение трет-бутильной группы в положение 4 аминофенола 1 не приводило к повышению его NOх-акцепторной активности, однако наличие двух электронно-донорных групп в положениях 4 и 6 соединений 8 и 9 способстовало их эффективности. Согласно работе [64], алкилирование 2-аминофенола в положения 4 и 6 усиливало его способность акцептировать пероксильные радикалы.
Исходя из сравнения данных полученных для соединений 10–13, гидроксильная группа важна для NOx-акцепторной активности аминофенола. Согласно работе [65], вератрол (О-метилированный пирокатехин) в отличие от пирокатехина не снижает уровень NO. Ацетилирование фенольных групп куркумина снижало его NO-акцепторную способность [66], хотя в работе [67] для куркумина и диацетилкуркумина не наблюдали значительной разницы. Следует отметить, что соединения 10 и 12 проявляют противовирусную активность, которая пропадает при метилировании ОН-группы [41, 68].
В аэробных условиях процессы, протекающие с аминофенолами могут быть более сложными. Соединения 1, 3 и их производные могут окисляться молекулярным кислородом с образованием семихинон-радикала и O2•–, который в присутствии NO трансформируется в ONOO– (k = 1.9·1010 моль–1·л·с–1), как постулируют это для дофамина [8, 50, 56]. Пероксинитрит, в свою очередь, способен окислять исходные субстраты [6, 7].
Известно [69–71], что алифатические и ароматические амины подвергаются N-нитрозированию, в случае первичных алифатических аминов (RNH2) это приводит к их дезаминированию. Нитрозирование аминов посредством NO происходит в присутствии O2, в результате электрофильной атаки N2O3 [71], также вероятен радикальный механизм с участием •NO2 [72]. Например, константа скорости реакции анилина и o-метиланилина с N2O3 равна соответственно 7.5·108 и 4.8·108 моль–1·л·с–1 [70].
В условиях нашего эксперимента аминофенолы с первичной NH2-группой были более активны, чем N-замещенные производные. Наименьший эффект проявляют N-ацетилированные производные 4 и 5. Согласно работе [73], трансформацию соединения 5 в N-(4-гидрокси-2-нитрофенил)ацетамид при pH = 7.4 наблюдали при инкубации с пероксинитритом или миелопероксидазой/Н2О2/NaNO2, однако в системах, основанных на таких донорах NO, как диэтиламин NONO-ат или спермин NONO-ат, данный продукт отсутствовал.
Слабый эффект убихинона Q0 с увеличеснием его концентрации может быть обусловлен его взаимодействием с образующимся NO2–. В статье [74] показано, что электрохимически генерируемый о-бензохинон в водной среде (рН = 6.5) в реакции Михаэля реагирует с нитрит-анионом с образованием нитрокатехола.
В данной работе объектами исследования также были отдельные дипептиды (Tyr-Ala, Phen-Ala, β-Ala-His и Gly-Gly), содержащие остатки ароматических, гетероциклической и простейших аминокислот. На рис. 3 и 4 представлены результаты исследования влияния указанных дипептидов и составляющих их аминокислот на уровень NOx в тест-системе. Наибольшей активностью из дипептидов обладает Tyr-Ala (IC50 = 5 мМ.) и он сравним по действию с аскорбиновой кислотой (IC50 = 4.88 мМ.), выбранной в качестве стандарта. Надо отметить, что с увеличением концентрации Tyr-Ala (>5 мМ.) его ингибирующий эффект не усиливался. Второй по эффективности был β-Ala-His (IC50 = 35.0 мМ.). Остальные соединения сравнивали по их активности, которую они проявляют в концентрации 45 мМ., выбор которой определялся величиной IC50 триптофана. При данной дозе Phen-Ala (IC50 > 50 мМ.), Phen, α-Ala и Trp снижают уровень NOx на 29, 23, 16 и 50% соответственно. Свободный Tyr не был исследован вследствие его плохой растворимости в водной среде при рН = 7.4. В концентрации 45 мМ. His (IC50 = 48.5 мМ.) и β-Ala ингибировали накопление NOx на 47.5 и 7.5% соответственно, Gly-Gly (IC50 > 50 мМ.) и Gly – на 35 и 22.5% соответственно. Активность свободных аминокислот убывала в следующем ряду: Trp > Phen ≥ Gly > α-Ala > β-Ala.
Рис. 3. Накопление нитрит-аниона в тест-системе нитропруссид натрия–PSB (10/10 мМ., рН = 7.4) в присутствии: 1 – Tyr-Ala, 2 – Trp, 3 – Phen-Ala, 4 – Phen, 5 – α-Ala
Рис. 4. Накопление нитрит-аниона в тест-системе нитропруссид натрия–PSB (10/10 мМ., рН = 7.4) в присутствии: 1 – Car, 2 – His, 3 – Gly-Gly, 4 – Gly, 5 – β-Ala, 6 – (Gly)2Cu2+, 7 – (Gly-Gly)2Cu2+
Известно [75], что комплексы аминокислот и пептидов с ионами металлов обладают различной биологической активностью, поэтому в работе также исследовали комплексы Gly и Gly-Gly с ионами меди(II). Согласно данным, представленным на рис. 4, комплексы Cu(Gly)2 и Cu(Gly-Gly)2 при низких концентрациях (0.05–0.5 мМ.) в 1.4–1.8 раз активнее в акцептировании NOx, чем Gly и Gly-Gly.
Высокую NOx-акцепторную активность Tyr-Ala обусловливает преимущественно наличие остатка Tyr. Известно [52], что Tyr и его производные эффективно нитрируются нитрозил-радикалом в присутствии кислорода, что вероятнее всего реализуется по радикальному механизму через образование тирозин-феноксильного радикала (Tyr•). Взаимодействие Tyr• с NO и NO2 с образованием 3-нитротирозина протекает с высокой константой скорости ~1.0·109 (рН = 7.4) и 3·109 моль–1·л·с–1 соответственно [58]. Меньшая эффективность Phen-Ala в сравнении с Tyr-Ala подтверждает важную роль фенольной ОН-группы в способности данных дипептидов регулировать уровень NOx.
β-Ala-His (карнозин) является важнейшим эндогенным дипептидом, обладающим антиоксидантной активностью [76]. Карнозин снижает повреждение клеток, вызванное окислительным/нитрозативным стрессом, регулируя уровень NO [77–79]. Исходя из полученных данных, His (pI = 7.59), содержащий остатки имидазола (рKа = 6.04), обусловливает эффективность β-Ala-His в способности регулировать уровень NOx. Полученные результаты согласуются с данными работы [77], где показано, что His более эффективен в акцептировании NO, чем β-Ala (донор NO: пропиламин-пропиламин NONOат). Методом масс-спектрометрии (электроспрей-ионизация) установлено [77, 79], что карнозин образует аддукты с NO.
Дипептиды проявляют большую NOx-акцепторную активность, чем свободные аминокислоты, входящие в их состав. Такой синергический эффект аминокислот при их соединении амидной связью может быть обусловлен вкладом группы CONH во взаимодействие дипептидов с NOx. Вторичный амин дипептидной связи может вступать в реакцию N-нитрозирования и, тем самым, повышать способность дипептидов снижать уровень NOx.
Комплексы Cu(Gly)2 и Cu(Gly-Gly)2 при низких дозах эффективнее, чем Gly и Gly-Gly, что можно объяснить взаимодействием NO с ионами Сu2+. Известно [3], что NO реагирует с ионами переходных металлов, комплексы которых могут выступать эффективными акцепторами нитрозил-радикала. NO в водной среде способен восстанавливать ионы Сu2+ в ее комплексах [80]. Для понимания более детального механизма NOx-акцепторной активности изученных соединений требуются более углубленные исследования.
ВЫВОДЫ
Таким образом, изомеры и производные 2-аминофенола, а также дипептиды Tyr-Ala, β-Ala-His, Phen-Ala и Gly-Gly обладают способностью регулировать уровень NOх (•NO, •NO2, N2O3) при физиологически значимых условиях in vitro. Замена атома Н на СН3 в ОН-группе аминофенолов снижает их эффективность, аминофенолы с немодифицированной NH2-группой обнаруживают большую активность, чем N-замещенные. Дипептиды как NOх-акцепторы более эффективны, чем входящие в их состав свободные аминокислоты. Комплексы Cu(Gly)2 и Cu(Gly-Gly)2 активнее, чем Gly и Gly-Gly. Полученные результаты исследования соотношения структура–активность могут быть полезны для создания эффективных антиоксидантов на основе производных аминофенолов и дипептидов.
ЭКСПЕРИМЕНТАЛЬНАЯ ЧАСТЬ
В работе использованы следующие реактивы: 6-гидрокси-2,5,7,8-тетраметилхроман-2-карбоновая кислота (тролокс, ТхОН), 4-(2-аминоэтил)-бензол-1,2-диол (дофамин), пиперазин, 2,3-диметокси-5-метил-п-бензохинон (убихинон Q0), β-аланилгистидин (β-Ala-His), β-аланин (β-Ala), L-гистидин (His), L-глицин (Gly), глицилглицин (Gly-Gly), нитропруссид натрия [натриевая соль пентацианонитрозилферрата(II), дигидрат], N-(1-нафтил)этилендиамина дигидрохлорид, сульфаниламид, тирозилаланин (Тyr-Ala), фенилаланилаланин (Phen-Ala), α-аланин (α-Ala), фенилаланин (Phen), триптофан (Trp), метанол (HPLC-grade), 2-аминофенол 1, 3-аминофенол 2, 4-аминофенол 3, N-(2-гидроксифенил)ацетамид 4, N-(4-гидроксифенил)ацетамид 5 (парацетамол), 2,6-ди-трет-бутил-4-метилфенол 6 (ионол), 2-амино-4-трет-бутилфенол 7 производства фирмы «Sigma-Aldrich» (Германия). Аскорбиновая кислота, азид натрия, ортофосфорная кислота, нитрит натрия (ОСЧ), пероксид водорода (30%) получены от ЗАО «Вектон» (Россия). 2-Амино-4,6-ди-трет-бутилфенол 8, 2-амино-4,6-диизопропилфенол 9, 2-анилино-4,6-ди-трет-бутилфенол 10 (бутаминофен), 3,5-ди-трет-бутил-2-метокси-N-фениланилин 11, N-(2-гидрокси-3,5-ди-трет-бутилфенил)-4-метилбензолсульфонамид 12 и N-(2-метокси-3,5-ди-трет-бутилфенил)-4-метилбезолсульфонамид 13 синтезированы по ранее описанным методикам [68, 81, 82]. Синтез комплексов глицина с ионами меди описан в работе [83]. Все использованные в работе реактивы имели аналитическую степень чистоты.
Исходные растворы аминокислот и их производных готовили в деионизированной воде, производных фенолов – в метаноле. Фосфатно-солевой буфер (PSB) (50 мМ., рН = 7.4) готовили с использованием следующих солей: Na2HPO4·12H2O, KH2PO4, NaCl и KCl, необходимую величину рН достигали прибавлением растворов HCl или NaOH. Показатель рН контролировали с помощью милливольтметра рН марки HI 9321, используя комбинированный электрод HI 1131 или HI 1083. Калибровку рН-метра осуществляли в день проведения испытаний по стандартным буферным растворам (рН = 4.00±0.01, 10.00±0.01). В день анализа исходный раствор нитропруссида натрия (100 мМ.) готовили путем растворения твердой соли в 10 или 50 мМ. PSB, предварительно продутом аргоном в течение 1 ч для удаления кислорода. Полученный раствор нитропруссид натрия также продували аргоном и хранили в темной склянке, обернутой алюминиевой фольгой. Для тест-системы отбирали аликвоту (100 мкл) исходного раствора нитропруссида натрия. Исходный 100 мкМ. раствор нитрита натрия готовили путем растворения 69 мг NaNO2 в 10 мл деионизированной воды.
Генерирование нитрозил-радикала и его активных форм. Тест-система представляет собой аэробную водную среду и имеет следующий состав: нитропруссид натрия (10 мМ.)–PSB (10 либо 50 мМ., рН = 7.4). Общий объем реакционной системы составляет 1 мл. Для изучения NOх-активности соединений готовили их концентрированные растворы, а затем рассчитанные аликвоты добавляли в тест-систему. В контрольную систему параллельно вводили соответствующие аликвоты растворителей, использованные для приготовления растворов соединений. Реагенты после каждого добавления тщательно перемешивали с помощью прибора Vortex mixer и инкубировали при комнатной температуре в течение 120 мин при стандартизированном искусственном освещении (светодиодная лампа дневного света). Образование •NO и его активных форм (•NO2, N2O3) в тест-системе определяли по уровню нитрит-аниона, стабильного продукта автоокисления нитрозил-радикала в аэробной водной среде.
Исследование NOх-активности соединений [S] базируется на методе конкурентных реакций. Они могут конкурировать с O2 за •NO, или реагировать с промежуточными продуктами его автоокисления (•NO2, N2O3), и, тем самым, препятствовать протеканию реакций (1–3). В результате в присутствии соединений, активных в отношении •NO, •NO2 и N2O3, кроме процессов (1–3) могут протекать реакции (4–6), изображенные на схеме 3.
NO + S → Продукты реакции (4)
NO2 + S → Продукты реакции (5)
N2O3 + S → Продукты реакции (6)
Схема 3
Активность тестируемых соединений (S) в отношении NOх оценивали по изменению концентрации нитрит-аниона в тест-системе в их присутствии в сравнении с контролем (%). Количество NO2– в контрольной тест-системе, не содержащей исследуемых соединений, принято за 100%. Для определения индекса полуингибирования IC50 (мМ.) строили зависимости ингибирование (I, %)–концентрация (S, мМ.). Процент ингибирования рассчитывали по следующей формуле:
,
где Ак и Аиссл –оптическая плотность контрольной (содержит все реагенты, кроме тестируемого соединения) и исследуемой (добавлено тестируемое соединение) систем соответственно. В качестве соединений сравнения использованы тролокс и аскорбиновая кислота (рKа1 = 4.1, рKа2 = 11.8, при рН = 7.4 преимущественно моноанион АscН–). Аскорбиновая кислота может реагировать с NO, NO2 (1.8·107 моль–1·л·с–1, pH = 6.5) и N2O3 [84, 85]. Тролокс взаимодействовует с NO (3.76·104 моль–1·л·с–1) и NO2 [32].
Для выявления возможностей тест-системы тестировали NaN3, пиперазин, дофамин и Н2О2, которые различным образом реагируют с •NO и его активными формами. H2O2 может окислять •NO (2.5·105 и 8.4·105 моль–1·л·с–1соответственно при 15 и 30°С) и NO2 до нитрат-аниона [44, 45]. Азид натрия не взаимодействует с нитрозил-радикалом непосредственно, однако является эффективным акцептором N2O3 (2·109 моль–1·л·с–1) [46]. Вторичный амин пиперазин (pKa1 = 9.73, pKa2 = 5.35) также эффективно реагирует с N2O3 (~1.3·108 моль–1·л·с–1) [47] с образованием нитрозоаминов (N-мононитрозопиперазин и N,N′-динитрозопиперазин) [48]. Дофамин, производное пирокатехина (при физиологическом рН протонирован по NH2-группе), реагирует с NO и NO2 в аэрированных водных растворах [18, 49]. В отсутствие O2 значимого взаимодействия дофамина с NO не наблюдали [50]. Все указанные соединения, включая стандартные ТхОН и АscН–, концентрационно-зависимым образом ингибируют накопление нитрит-аниона, уровень NO2– снижается с увеличением их количества в тест-системе в сравнении с контролем. Полученные величины IC50 составили: дофамин – 0.045, NaN3 – 0.1, пиперазин – 0.115, H2O2 – 7.55, тролокс – 0.19, Asc – 4.88 мМ.
Определение нитрит-ионов в тест-системе. Нитрит-ионы (NO2–) определяли по модифицированной методике, изложенной в работах [86, 87], базирующейся на реакции Грисса. Для оптимального детектирования NO2– использовали модифицированный реактив Грисса, состоящий из двух реагентов – сульфаниламида (SA) и N-(1-нафтил)этилендиамина (NED). По истечении времени инкубирования в тест-систему (1 мл) на первом этапе вводили 0.5 мл раствора SA (1%-ный раствор в 5%-ной H3PO4) и оставляли на 5 мин при комнатной температуре. В результате диазотирования SA в кислой среде образуется диазоний-катион. На втором этапе добавляли 0.5 мл раствора NED (0.1%-ный раствор в деионизированной воде) и инкубировали тест-систему при комнатной температуре в течение 10 мин. NED реагирует с диазоний-катионом с образованием соединения, содержащего азогруппу N=N. Результирующий продукт, имеющий розово-красную окраску, детектировали по его абсорбции при 540 нм (30000 л·моль–1·см–1) с помощью спектрофлуориметра СМ 2203 (Солар, Беларусь) в режиме «спектрофотометрия».
Для количественной оценки содержания NO2– применяли метод градуировочного графика. Для приготовления калибровочных растворов в диапазоне концентраций 1–100 мкМ. использовали нитрит натрия. Концентрацию NO2– рассчитывали из уравнения линейной регрессии.
Статистический анализ. Для обработки полученных экспериментальных результатов применяли методы математической статистики, включая статистические функции программ Excel и Origin. Достоверность полученных результатов контролировали с помощью t-теста Стьюдента. В каждой экспериментальной серии проводили 3–7 раз параллельных опытов. На рисунках каждый результат представлен как среднее значение ± SD, статистически отличное в сравнении с контролем (p < 0.05).
ФИНАНСОВАЯ ПОДДЕРЖКА
Работа выполнена при финансовой поддержке Государственной научно-технической программы Республики Беларусь «Химические процессы, реагенты и технологии, биорегуляторы и биоорганическая химия» (проект 2.2.03.04) и Министерства образования Республики Беларусь (грант 809/46).
КОНФЛИКТ ИНТЕРЕСОВ
Авторы заявляют об отсутствии конфликта интересов.
About the authors
E. M. Ovsyannikova
Belarussian State University
Author for correspondence.
Email: yurkovail@tut.by
Belarus, Minsk
A. A. Burko
Belarussian State University
Email: yurkovail@tut.by
Belarus, Minsk
G. A. Ksendzova
Belarussian State University
Email: yurkovail@tut.by
Belarus, Minsk
V. L. Sorokin
Belarussian State University
Email: yurkovail@tut.by
Belarus, Minsk
E. G. Karankevich
Institute of Physical Organic Chemistry, National Academy of Sciences of Belarus
Email: yurkovail@tut.by
Belarus, Minsk
I. L. Yurkova
Belarussian State University
Email: yurkovail@tut.by
Belarus, Minsk
References
- Andrabi S.M., Sharma N.S., Karan A., Shahriar S.M.S., Cordon B., Ma B., Xie J. // Adv. Sci. 2023. Vol. 10. P. 2303259. doi: 10.1002/advs.202303259
- Heinrich T.A., da Silva R.S., Miranda K.M., Switzer C.H., Wink D.A., Fukuto J.M. // Br. J. Pharmacol. 2013. Vol. 169. P. 1417. doi: 10.1111/bph.12217
- Fricker S.P. in: Encyclopedia of Inorganic and Bioinorganic Chemistry / Ed. R.A. Scott. John Wiley & Sons, Ltd., 2019. P. 1. doi: 10.1002/9781119951438.eibc2724
- Hughes M.N. // Biochim. Biophys. Acta, Bioenerg. 1999. Vol. 1411. P. 263. doi: 10.1016/s0005-2728(99)00019-5
- Bartberger M.D., Liu W., Ford E., Miranda K.M., Switzer C., Fukuto J.M., Houk K.N. // Proc. Natl. Acad. Sci. USA. 2002. Vol. 99. P. 10958. doi: 10.1073/pnas.162095599
- Koppenol W.H. // Free Rad. Biol. Med. 1998. Vol. 25. P. 385. doi: 10.1016/s0891-5849(98)00093-8
- Ford P.C., Miranda K.M. // Nitric oxide. 2020. Vol. 103. P. 31. doi: 10.1016/j.niox.2020.07.004
- Reiter T.A. // Redox Report. 2006. Vol. 11. P. 194. doi: 10.1179/135100006X116718
- Ridnour L.A., Thomas D.D., Mancardi D., Espey M.G., Miranda K.M., Paolocci N., Wink D.A. // Biol. Chem. 2004. Vol. 385. P. 1. doi: 10.1515/bc.2004.001
- Wink D.A., Mitchell J.B. // Free Rad. Biol. Med. 1998. Vol. 25. P. 434. doi: 10.1016/s0891-5849(98)00092-6
- Lancaster J.R. // Chem. Res. Toxicol. 2006. Vol. 19. P. 1160. doi: 10.1021/tx060061w
- Lam M.A., Pattison D.I., Bottle S.E., Keddie D.J., Davies M.J. // Chem. Res. Toxicol. 2008. Vol. 21. P. 2111. doi: 10.1021/tx800183t
- Fedeli D., Damiani E., Greci L., Littarru G.P., Falcioni G. // Mutat. Res. 2003. Vol. 535. P. 117. doi: 10.1016/s1383-5718(02)00296-6
- Shama J.N., Al-Omran A., Parvathy S.S. // Inflammopharmacology. 2007. Vol.15. P. 252. doi: 10.1007/s10787-007-0013-x
- Aliev G., Palacios H.H., Lipsitt A.E. // Neurotoxic. Res. 2009. Vol. 16. P. 293. doi: 10.1007/s12640-009-9066-5
- Huie R.E. // Toxicology. 1994. Vol. 89. P. 193. doi org/10.1016/0300-483X(94)90098-1
- Nedospasov A.A. // J. Biochem. Mol. Toxicol. 2002. Vol. 16. P. 109. doi: 10.1002/jbt.10029
- D’Ischia M. // C. R. Chim. 2005. Vol. 8. P. 797. doi: 10.1016/j.crci.2005.02.008
- Goldstein S., Czapski G. // J. Am. Chem. Soc. 1995. Vol. 117. P. 12078. doi: 10.1021/ja00154a007
- Wardman P. // J. Phys. Chem. Ref. Data. 1989. Vol. 18. P. 1637. doi: 10.1063/1.555843
- Andrés C.M.C., Pérez de la Lastra J.M., Juan C.A., Plou F.J., Pérez-Lebeña E. // Int. J. Mol. Sci. 2022. Vol. 23. P. 14049. doi org/10.3390/ ijms232214049
- Kuo W.N., Ivy D., Guruvadoo L., White A., Graham L. // Front. Biosci. 2004. Vol. 9. P. 3163. doi: 10.2741/1469.
- Jin H.J., Lee J.H., Kim D.H., Kim K.-T., Lee G.W., Choi S.J., Paik H.-D. // 2015. Vol. 24. P. 1555. doi: 10.1007/s10068-015-0200-2
- Kangsanant S., Thongraung C., Jansakul C., Murkovic M., Seechamnanturakit V. // Intern. J. Food Sci. Technol. 2014. Vol. 50. P. 660. doi: 10.1111/ijfs.12680
- Ghanbari R., Ebrahimpour A., Zare, M., Ismail A., Abdul-Hamid A., Saari N. // Food Biotech. 2016. Vol. 30. P. 263. doi: 10.1080/08905436.2016.1234391
- Saisavoey T., Sangtanoo P., Reamtong O., Karnchanatat A. // J. Sci. Food Agric. 2019. Vol. 99. P. 5112. doi org/10.1002/jsfa.9755
- Ozawa H., Miyazawa T., Burdeos G.C., Miyazawa T.J. // Nutr. Sci. Vitaminol. 2022. Vol. 68. P. 162. doi: 10.3177/jnsv.68.162.
- Gudasheva T.A., Ostrovskaya R.U., Seredenin S.B. // Curr. Pharm. Des. 2018. Vol. 24. P. 3020. doi 10.2174/ 1381612824666181008105641
- Меньшикова Е.Б., Ланкин В.З., Кандалинцева Н.В. Phenольные антиоксиданты в биологии и медицине. Строение, свойства, механизмы действия: монография. Saarbrücken: LAP LAMBERT Academic Publishing, 2012. 496 с.
- Floris B., Galloni P., Conte V., Sabuzi F. // Biomolecules. 2021. Vol. 11. P. 1325. doi: 10.3390/biom11091325
- Kruk J., Aboul-Enein B.H., Duchnik E., Marchlewicz M. // J. Physiol. Sci. 2022. Vol. 72. P. 19. doi org/10.1186/s12576-022-00845-1
- Sueishi Y., Hori M., Kita M., Kotake Y. // Food Chem. 2011. Vol. 129. P. 866. doi: 10.1016/j.foodchem.2011.05
- Sueishi Y., Hori M. // Nitric Oxide. 2013. Vol. 29. P. 25. doi: 10.1016/j.niox.2012.12.002
- Poderoso J.J., Carreras M.C., Schöpfer F., Lisdero C.L., Riobó N.A., Giulivi C., Cadenas E. // Free Rad. Biol. Med. 1999. Vol. 26. P. 925. doi: 10.1016/s0891-5849(98)00277-9
- Duarte J., Francisco V., Perez-Vizcaino F. // Food Funct. 2014. Vol. 5. P. 1653. doi: 10.1039/c4fo00144c
- Lu Y., Dong Y., Li X., He Q. // J. Food Sci. 2016. Vol. 81. P. C2692. doi: 10.1111/1750-3841.13535
- Буравлев Е.В., Шевченко О.Г. // Изв. АH. Сер. хим. 2022. Т. 71. № 12. С. 2621; Buravlev E., Shevchenko O. // Rus. Chem. Bull. 2022. Vol. 71. P. 2621. doi: 10.1007/s11172-022-3691-z
- Takahashi N., Ohba T., Yamauchi T., Higashiyama K. // Bioorg. Med. Chem. 2006. Vol. 14. P. 6089. doi 10.1016/ j.bmc.2006.05.013
- Ксендзова Г.А., Сорокин В.Л., Едимечева И.П., Шадыро О.И. // Химия высоких энергий. 2004. Т. 37. С. 411.
- Ksendzova G.A., Sorokin V.L., Edimecheva I.P., Shadyro O.I. // Free Rad. Res. 2004. Vol. 38. P. 1183. doi: 10.1080/10715760400016162
- Shadyro O.I, Ksendzova. G.A., Polozov G.I., Sorokin V.L., Boreko E.I., Savinova O.V., Dubovik B.V., Bizunok N.A. // Bioorg. Med. Chem. Lett. 2008. Vol. 18. N 7. Р. 2420. doi: 10.1016/j.bmcl.2008.02.055
- Shishido S.M., de Oliveira G. // Prog. Reac. Kinet. 2001. Vol. 26. P. 239. doi: 10.3184/007967401103165271
- Crespo P.M., Odio O.F., Ávila Y., Perez-Cappe E., Reguera E. // J. Photochem. Photobiol. (A). 2021. Vol. 412. P. 113244. doi: 10.1016/j.jphotochem.2021.113
- Baveja K.K., Subba-Rao D., Saskar K. // J. Chem. Eng. Japan. 1979. Vol. 12. P. 322.
- Bhanarkar A.D., Gupta R.K., Biniwale R.B., Tamhane S.M. // Int. J. Environ. Sci. Technol. 2014. Vol. 11. P. 1537. doi: 10.1007/s13762-013-0295-z
- Wink D.A., Darbyshire J.F., Nims R.W., Saavedra J.E., Ford P.C. // Chem. Res. Toxicol. 1993. Vol. 6. P. 23. doi: 10.1021/tx00031a003.
- Da Silva G., Kennedy E., Dlugogorski B. // J. Chem. Res. 2002. Vol. 2002. P. 589. doi: 10.3184/030823402103171069
- Bellander B.T., Hagmar L., Osterdahl B.G. // IARC Sci. Publ. 1984. Vol. 57. P. 171.
- De la Bretèche M.-L., Servy C., Lenfant M., Ducrocq C. // Tetrahedron Lett. 1994. Vol. 35. P. 7231. doi: 10.1016/0040-4039(94)85368-1
- Rettori D., Tang Y., Dias L. C., Cadenas E. // Free Rad. Biol. Med. 2002. Vol. 33. P. 685. doi: 10.1016/s0891-5849(02)00953-x
- Шадыро О.И., Сорокин В.Л., Ксендзова Г.А., Савинова О.В., Самович С.Н., Бореко Е.И. // Хим.-фарм. ж. 2019. Т. 53. № 7. С. 45; Shadyro O.I., Sorokin V.L., Ksendzova G.A., Savinova O.V., Samovich S.N., Boreko E.I. // Pharm. Chem. J. 2019. Vol. 53. N 7. P. 646. doi: 10.1007/s11094-019-02055-3
- Giorgini E., Petrucci R., Astolfi P., Mason R.P., Greci L. // Eur. J. Org. Chem. 2002. Vol. 23. P. 4011. doi: 10.1002/1099-0690(200212)2002:23<4011::aid-ejoc4011> 3.0.co;2-6
- Indira Priyadarsini K., Kapoor S., Naik D.B. // Chem. Res. Toxicol. 2001. Vol. 14. P. 567. doi org/10.1021/tx000239t
- Alfassi Z.B. // Int. J. Radiat. Appl. Instrum. (C). 1987. Vol. 29. P. 405. doi org/10.1016/1359-0197(87)90014-2
- Davies M.J., Forni L.G., Willson R.L. // Biochem. J. 1988. Vol. 255. P. 513.
- Antunes F., Nunes C., Laranjinha J., Cadenas E. // Toxicology. 2005. Vol. 208. P. 207. doi: 10.1016/j.tox.2004.11.033
- Rubbo H., Radi R., Anselmi D., Kirk M., Barnes S., Butler J., Freeman B.A. // J. Biol. Chem. 2000. Vol. 275. P. 10812. doi: 10.1074/jbc.275.15.10812
- Eiserich J.P., Butler J., van der Vliet A., Cross C.E., Halliwell B. // Biochem. J. 1995. Vol. 310. P. 745. doi: 10.1042/bj3100745
- Janzen E.G., Wilcox A.L., Manoharan V. // J. Org. Chem. 1993. Vol. 58. P. 3597. doi: 10.1021/jo00066a001
- Laranjinha J., Cadenas E. // J. Neurochem. 2002. Vol. 81. P. 892. doi: 10.1046/j.1471-4159.2002.00900.x
- González-Mancebo S., García-Santos M.P., Hernández-Benito J., Calle E., Casado J. // J. Agric. Food Chem. 1999. Vol. 47. P. 2235. doi: 10.1021/jf981094n
- Vione D., Maurino V., Pelizzetti E., Minero C. // Intern. J. Environ. Anal. Chem. 2004. Vol. 84. P. 493. doi 10.1080/ 03067310310001640447
- Williams D.L.H. Nitrosation Reactions and the Chemistry of Nitric Oxide. Amsterdam: Elsevier, 2004. Р. 93. doi: 10.1016/B978-044451721-0/50006-2
- Endo Y., Murayama M., Ogawa F., Nishiyama T. // Technol. Rep. Kansai Univ. 2005. Vol. 47. Р. 31.
- D’Ischia M., Costantin C. // Bioorg. Med. Chem. 1995. Vol. 3. P. 923. doi: 10.1016/0968-0896(95)00083-s
- Sumanont Y., Murakami Y., Tohda M., Vajragupta O., Matsumoto K., Watanabe H. // Biol. Pharm. Bull. 2004. Vol. 27. P. 170. doi: 10.1248/bpb.27.170
- Sreejayan Rao M.N.A. // J. Pharm. Pharmac. 1997. Vol. 49. P. 105. doi: 10.1111/j.2042-7158.1997.tb06761.x
- Шадыро О.И., Сорокин В.Л., Ксендзова Г.А., Павлова Н.И., Савинова О.В., Бореко Е.И. // Хим.-фарм. ж. 2012. Т. 46. № 7. С. 27; Shadyro O.I., Sorokin V.L., Ksendzova G.A., Savinova O.V., Pavlova N.I., Boreko E.I. // Pharm. Chem. J. 2012. Vol. 46. N 7. P. 414. doi 10.30906/ 0023-1134-2012-46-7-27-30
- Wainright T. // J. Ins. Brew. 1986. Vol. 92. P. 49. doi: 10.1002/j.2050-0416.1986.tb04373.x
- Da Silva G., Kennedy E.M., Dlugogorski B.Z. // J. Phys. Org. Chem. 2007. Vol. 20. P. 167. doi: 10.1002/poc.1142
- Itoh T., Matsuy Y., Maeta H., Miyazaki M., Nagata K., Ohsawa A. // Chem. Pharm. Bull. 1999. Vol. 47. P. 819. doi: 10.1248/cpb.47.819
- Zhao Y.-L., Garrison S.L., Gonzalez C., Thweatt W.D., Marquez M. // J. Phys. Chem. (A). 2007. Vol. 111. P. 2200. doi: 10.1021/jp0677703
- Lakshmi V.M., Hsu F.F., Davis B.B., Zenser T.V. // Chem. Res. Toxicol. 2000. Vol. 13. P. 891. doi: 10.1021/tx000115g
- Nematollahi D., Ariapad A., Rafiee M. // J. Electroanal. Chem. 2007. Vol. 602. P. 37. doi: 10.1016/j.jelechem.2006.11.0
- Marinova P., Tamahkyarova K. // BioTech. 2024. Vol. 13. P. 9. doi: 10.3390/biotech13020009
- Шендикова Е.Н., Мельситова И.В., Юркова И.Л. // Химия высоких энергий. 2016. Т. 50. № 4. С. 260; Shendikova E.N., Mel’sitova I.V., Yurkova I.L. // High Energy Chem. 2016. Vol. 50. N 4. Р. 249. doi: 10.1134/S0018143916040172
- Nicoletti V.G., Santoro A.M., Grasso G., Vagliasindi L.I., Giuffrida M.L., Cuppari C., Purrello V.S., Stella A.M., Rizzarelli E. // J. Neurosci. Res. 2007. Vol. 85. P. 2239. doi: 10.1002/jnr.21365
- Fleisher-Berkovich S., Abramovitch-Dahan C., Ben-Shabat S., Apte R., Beit-Yannai E. // Peptides, 2009. Vol. 30. P. 1306. doi: 10.1016/j.peptides.2009.04.003
- Caruso G., Fresta C.G., Martinez-Becerra F., Antonio L., Johnson R.T., de Campos R.P.S., Siegel J.M., Wijesinghe M.B., Lazzarino G., Lunte S.M. // Mol. Cell. Biochem. 2017. Vol. 431. P. 197. doi org/10.1007/s11010-017-2991-3
- Ford P.C., Fernandez B.O., Lim M.D. // Chem. Rev. 2005. Vol. 105. P. 2439. doi: 10.1021/cr0307289
- Houben-Weyl. // Methoden der organischen chemie. 1960. Vol. 6. P. 927.
- Вольева В.Б., Прокофьева Т.И., Прокофьев A.M., Белостоцкая И.С., Комисарова H.Л., Ершов В.В. // Изв. АН. Сер. хим. 1995. № 9. С. 1789.
- Милач О.А., Найденов В.Э., Каранкевич Е.Г., Юркова И.Л. // ЖОХ. 2022. Т. 92. № 2. С. 277; Milach O.A., Naidenov V.E., Karankevic E.G., Yurkova I.L. // Russ. J. Gen. Chem. 2022. Vol. 92. N 2. P. 241. doi: 10.1134/S107036322202013X
- Myshkin A.E., Konyaeva V.S., Gumargalieva K.Z., Moiseev Y.V. // J. Agric. Food Chem.1996. Vol. 44. P. 2948. doi: 10.1021/jf940643w
- Li T., Guo G.J., Hu M., Yao M.J. // Adv. Mater. Res. 2011. Vol. 343–344. P. 862. doi: 10.4028/ href='www.scientific.net/amr.343-344.862' target='_blank'>www.scientific.net/amr.343-344.862
- Bratton A.C., Marshall E.K. // J. Biol. Chem. 1939. Vol. 128. P. 537. doi: 10.1016/S0021-9258(18)73708-3
- Verdon C.P., Burton B.A., Prior R.L. // Anal. Biochem. 1995. Vol. 224. P. 502. doi: 10.1006/abio.1995.1079
- Giustarini D., Dalle-Donne I., Colombo R., Milzani A., Rossi R. // Free Rad. Res. 2004. Vol. 38. P. 1235. doi: 10.1080/10715760400017327
Supplementary files







