Комплексы палладия с фосфин-тиоэфирными лигандами в аддитивной полимеризации норборнена и его производных
- Authors: Карпов Г.О.1, Мангов М.К.1, Бермешев М.В.1
-
Affiliations:
- Институт нефтехимического синтеза им. А. В. Топчиева РАН
- Issue: Vol 97, No 1 (2024)
- Pages: 21-30
- Section: Катализ
- URL: https://medbiosci.ru/0044-4618/article/view/259630
- DOI: https://doi.org/10.31857/S0044461824010031
- EDN: https://elibrary.ru/GWDVLO
- ID: 259630
Cite item
Full Text
Abstract
Синтезированы и охарактеризованы с использованием 1H и 31P ЯМР-спектроскопии две серии комплексов палладия — катионных аллильных комплексов палладия с бидентатными фосфин-тиоэфирными лигандами, а также нейтральных хлор(фосфин-тиоэфир)метильных комплексов палладия. Изучена аддитивная полимеризация норборнена и его производных в присутствии полученных комплексов палладия. Показано, что комплексы такого вида являются активными катализаторами в аддитивной полимеризации норборнена. Оценено влияние структуры фосфин-тиоэфирных лигандов на активность комплексов палладия в аддитивной полимеризации норборнена и его производных. Наиболее активными являются катализаторы на основе фосфин-тиоэфирных лигандов, содержащих объемные донорные циклогексильные заместители при атоме фосфора, а также алкильные заместители при атоме серы.
Full Text
Координационная полимеризация олефинов, катализируемая комплексами переходных металлов, является востребованным промышленным процессом. По сравнению с процессами радикальной полимеризации олефинов данный процесс характеризуется высокой степенью контроля над составом полимерных продуктов, их структурой и свойствами. В частности, возможность контролируемого введения полярных групп в структуру полиолефинов позволяет добиться существенного улучшения характеристик продуктов полимеризации, таких как ударная вязкость, гибкость, газопроницаемость, адгезия, смешиваемость и др. Одним из активно применяемых подходов к регулированию свойств полиолефинов является сополимеризация этилена с напряженными циклоалкенами (в частности, норборненом) и их производными. С одной стороны, полярные группы в структуре напряженных циклоалкенов удалены от полимеризуемой двойной связи, что снижает негативное влияние полярных заместителей в структуре мономеров на процесс полимеризации и дает возможность контролировать долю полярных групп в структуре полимеров. С другой — введение циклических фрагментов в основную цепь приводит к образованию полимеров с высокими температурами стеклования, повышенной термической стабильностью, большей устойчивостью к действию растворителей, а также высокой прозрачностью [1]. Коммерческие продукты (I) и (II) на основе сополимеров этилена с норборненом находят широкое применение благодаря совместимости с существующими полимерными материалами (например, полиэтиленом и полипропиленом), а также благодаря возможности применения классических технологий обработки полимеров (экструзия, литье под давлением, компрессионное формование и др.). Такие сополимеры используются в качестве материалов для пищевой упаковки, медицинских изделий, оптических пленок и др. [2, 3].
Вовлечение производных норборнена, содержащих полярные заместители, в сополимеризацию с этиленом является сложной задачей. Это связано с тем, что существующие катализаторы полимеризации этилена на основе комплексов ранних переходных металлов или никеля, как правило, являются оксофильными и чувствительными к присутствию полярных функциональных групп в структуре сомономера [4]. Использование таких катализаторов для сополимеризации с полярными сомономерами приводит к образованию низкомолекулярных продуктов с низким содержанием полярных групп. В то же время палладиевые катализаторы гомополимеризации производных норборнена, толерантные к наличию заместителей в составе мономера, часто недостаточно эффективны в (со-)полимеризации этилена. Это вызвано тем, что при использовании палладиевых катализаторов скорость роста полимерной цепи сопоставима со скоростью процессов передачи цепи (в частности, β-гидридного элиминирования) при координации этилена, что приводит к образованию олигомерных продуктов [5]. В последние годы были предложены способы достижения контроля над составом продуктов полимеризации и их молекуряно-массовыми характеристиками за счет регулирования свойств активного центра оптимизацией лигандного окружения в комплексах палладия. Было показано, что замедление процессов передачи цепи в случае палладиевых катализаторов может быть реализовано при регулировании электрофильности активного центра за счет введения σ-донорных лигандов, а также создания стерических затруднений, препятствующих передаче цепи на мономер [6, 7]. С учетом этих закономерностей была разработана серия лигандов, обеспечивающих заметную активность палладиевых катализаторов в сополимеризации этилена с норборненом и его производными. Наибольшую эффективность в сополимеризации продемонстрировали фосфин-сульфонатные P–O лиганды, применение которых позволило добиться внедрения до 30 мол% звеньев полярного производного норборнена в сополимеризации с этиленом [8]. Таким образом, оптимизация структуры лигандов в комплексах палладия является эффективным инструментом в дизайне катализаторов синтеза сополимеров этилена с сомономерами норборненового ряда.
Поскольку ранее бидентатные фосфин-сульфонатные Pd-комплексы с P–O лигандами демонстрировали заметную активность в аддитивной полимеризации норборнена, а также сополимеризации производных норборнена с этиленом, перспективным представляется изучение активности катализаторов на основе бидентатных P–S лигандов. Несмотря на то что такие лиганды обладают родственной природой координационных центров, ранее детальных исследований палладиевых катализаторов с P–S лигандами в полимеризации норборнена и его производных не проводилось.
Цель работы — установление влияния структуры заместителей при атомах фосфора и серы в составе комплексов палладия с фосфин-тиоэфирными лигандами на каталитическую активность таких комплексов в аддитивной полимеризации норборнена и его производных.
Экспериментальная часть
Все процедуры синтеза проводили в инертной атмосфере аргона (99.998%, ООО «НИИ КМ») с использованием перчаточного бокса MBraun или с применением стандартной техники Шленка на вакуумно-аргоновых линиях.
Дифенилфосфин (98%, Sigma-Aldrich, кат. номер 829-85-6), дициклогексилфосфин (97%, Sigma-Aldrich, кат. номер 829-84-5), хлордифенилфосфин (96%, Sigma-Aldrich, кат. номер 1079-66-9), 2-хлорэтил метил сульфид (97%, Sigma-Aldrich, кат. номер 542-81-4) и 2-хлорэтил фенил сульфид (98%, Sigma-Aldrich, кат. номер 5535-49-9) хранили в аргоне и использовали без дополнительной очистки. Осушение растворителей [диэтилового эфира (99.8%, AppliChem GmbH), дихлорметана (99.8%, AppliChem GmbH), гексана (99.8%, AppliChem GmbH), тетрагидрофурана (99.8%, AppliChem GmbH), метанола (99.8%, AppliChem GmbH)] проводили с использованием системы очистки растворителей MBraun SPS-7. Целит (100%, Sigma-Aldrich, кат. номер 61790-53-2) использовали без предварительной очистки. Для регистрации спектров ядерного магнитного резонанса (ЯМР) использовали CDCl3 (99.96%, Sigma-Aldrich, кат. номер 212-742-4).
1H ЯМР-спектры регистрировали на ЯМР-спектрометре Bruker AVANCE III HD (400 МГц) при частоте 400.1 МГц. Химические сдвиги сигналов определяли относительно сигналов остаточных протонов CDCl3 (7.24 м. д.).
Синтез (2-метилтиоэтил)дифенилфосфина проводили путем взаимодействия хлордифенилфосфина с трехкратным избытком металлического лития в среде тетрагидрофурана с последующим добавлением 2-хлорэтилметилсульфида при температуре 0°C согласно методике [9] . Выход 67%.
1H ЯМР (400 МГц, CD2Cl2, м. д.): 7.44–7.40 м (4 H), 7.37–7.33 м (6 H), 2.58–2.52 м (2 H), 2.36–2.32 м (2 H), 2.08 с (3H). 31Р ЯМР (121.5 МГц, CD2Cl2, м. д.): –17.08 (с).
Синтез (2-фенилтиоэтил)дифенилфосфина проводили аналогично синтезу (2-метилтиоэтил)дифенилфосфина. Выход 71%.
1H ЯМР (400 МГц, CD2Cl2, м. д.): 7.41–7.30 м (10 H), 7.28–7.21 м (5 H), 2.99–2.93 м (2 H), 2.38–2.34 м (2 H). 31Р ЯМР (121.5 МГц, CD2Cl2, м. д.): –16.85 (с).
Синтез (2-фенилтиоэтил)дициклогексилфосфина проводили путем взаимодействия дициклогексилфосфина с раствором н-бутиллития в среде диэтилового эфира при температуре 0°C с последующим добавлением раствора 2-хлорэтилфенилсульфида в тетрагидрофуране при температуре 0°C согласно методике [10]. Выход 58%.
1H ЯМР (400 МГц, CD2Cl2, м. д.): 7.38–7.25 м (5 H), 1.95–1.50 м (14 H), 1.41–1.13 м (12 H). 31Р ЯМР (121.5 МГц, CD2Cl2, м. д.): –3.10 (с).
Синтез (2-метилтиоэтил)дициклогексилфосфина проводили аналогично синтезу (2-фенилтиоэтил)- дидициклогексилфосфина. Выход 55%.
1H ЯМР (400 МГц, CD2Cl2, м. д.): 2.14–2.11 м (2 H), 1.98–1.62 м (14 H), 1.57–1.14 м (13 H). 31Р ЯМР (121.5 МГц, CD2Cl2, м. д.): –3.62 (с).
Общая процедура синтеза катионных аллильных комплексов палладия с фосфин-тиоэфирными лигандами вида [(η3-C3H5)Pd+(P–S)]SbF6–. В стеклянную виалу емкостью 10 мл помещали димерный хлорид аллилпалладия (0.2 ммоль) и растворяли в 3 мл абсолютного дихлорметана. Затем при перемешивании в течение 0.5 ч по каплям добавляли раствор фосфин-тиоэфирного лиганда (0.4 ммоль) в 3 мл абсолютного дихлорметана. Полученный раствор перемешивали в течение 1 ч. После этого в течение 0.5 ч по каплям добавляли раствор AgSbF6 (0.4 ммоль) в абсолютном тетрагидрофуране (4 мл). После 1.5 ч переменивания реакционную смесь фильтровали через шприц, заполненный целитом. Удаляли растворитель при пониженном давлении (1 мм рт. ст.). Продукт кристаллизовали из смеси дихлорметана (2 мл) с гексаном (8 мл) при охлаждении до –18°С в течение 16 ч и сушили до постоянной массы при пониженном давлении (0.1 мм рт. ст.).
Синтез катионного аллильного комплекса палладия с (2-метилтиоэтил)дифенилфосфином. Выход 81%.
1H ЯМР (400 МГц, CD2Cl2, м. д.): 2.14–2.11 м (4 H), 1.98–1.62 м (14 H), 5.78–5.72 м (1 H), 4.99–4.92 м (1 H), 4.68–4.65 м (1 H), 3.62–3.59 м (1 H), 3.29–3.25 м (1 H), 2.97–2.91 м (2 H), 2.87–2.74 м (2 Н), 2.61 с (3 Н). 31Р ЯМР (121.5 МГц, CD2Cl2, м. д.): 48.75 (с).
Синтез катионного аллильного комплекса палладия с (2-фенилтиоэтил)дифенилфосфином. Выход 73%.
1H ЯМР (400 МГц, CD2Cl2, м. д.): 7.73–7.69 м (4 H), 7.61–7.44 м (6 H), 5.92–5.81 м (1 H), 5.04–4.99 м (1 H), 4.72–4.67 м (1 H), 3.76–3.74 м (1 H), 3.69–3.65 м (2 H), 3.41–3.38 м (1 H), 2.77–2.72 (2 H). 31Р ЯМР (121.5 МГц, CD2Cl2, м. д.): 48.42 (с).
Синтез катионного аллильного комплекса палладия с (2-фенилтиоэтил)дициклогексилфосфином. Выход 76%.
1H ЯМР (400 МГц, CD2Cl2, м. д.): 7.52–7.45 м (5 H), 5.70–5.57 м (1 H), 4.89–4.85 м (1 H), 4.60–4.57 м (1 H), 3.70–3.66 м (1 H), 3.63–3.60 м (1 H), 3.58–3.54 м (2 Н), 3.41–3.38 м (2 H), 2.20–2.16 м (2 Н) 1.95–1.71 м (10 H), 1.39–1.20 м (10 Н). 31Р ЯМР (121.5 МГц, CD2Cl2, м. д.): 70.23 (с).
Синтез катионного аллильного комплекса палладия с (2-метилтиоэтил)дициклогексилфосфином. Выход 66%.
1H ЯМР (400 МГц, CD2Cl2, м. д.): 5.76–5.71 м (1 H), 4.91–4.86 м (1 H), 4.71–4.67 м (1 H), 3.81–3.76 м (1 H), 3.71–3.67 м (1 H), 3.51–3.49 м (2 Н), 3.45–3.41 м (2 H), 2.59 с (3 Н), 2.28–2.21 м (2 Н), 2.08–1.69 м (10 H), 1.45–1.15 м (10 Н). 31Р ЯМР (121.5 МГц, CD2Cl2, м. д.): 70.49 (с).
Общая процедура синтеза нейтральных комплексов палладия с фосфин-тиоэфирными лигандами (P–S)Pd(CH3)Cl. В стеклянную виалу емкостью 10 мл помещали хлоро(1,5-циклооктадиен)метил палладия (0.4 ммоль) и растворяли в 3 мл абсолютного дихлорметана. Затем при перемешивании в течение 0.5 ч по каплям добавляли раствор фосфин-тиоэфирного лиганда (0.4 ммоль) в 3 мл абсолютного дихлорметана. Полученный раствор перемешивали в течение 15 ч. Реакционную смесь осаждали в 40 мл абсолютного гексана. Осадок отделяли с использованием центрифуги, промывали гексаном. Продукт кристаллизовали из смеси дихлорметана (2 мл) с гексаном (8 мл) при охлаждении до –18°С в течение 16 ч и сушили до постоянной массы при пониженном давлении (0.1 мм рт. ст.).
Синтез нейтрального комплекса палладия с (2-метилтиоэтил)дифенилфосфином. Выход 91%.
1H ЯМР (400 МГц, CDCl3, м. д.): 7.68–7.63 м (4 H), 7.54–7.46 м (6 Н), 2.72–2.68 м (2 Н), 2.55 с (3 Н), 2.53–2.50 м (2 Н). 31Р ЯМР (121.5 МГц, CDCl3, м. д.): 53.28 (с).
Синтез катионного аллильного комплекса палладия с (2-фенилтиоэтил)дифенилфосфином. Выход 89%.
1H ЯМР (400 МГц, CDCl3, м. д.): 7.98–7.94 м (2 Н), 7.68–7.61 м (4 Н). 7.55–7.38 м (9 Н), 2.91–2.88 м (1 Н), 2.85–2.81 м (1 Н), 2.64–2.59 м (2 Н). 31Р ЯМР (121.5 МГц, CDCl3, м. д.): 52.81 (с).
Синтез катионного аллильного комплекса палладия с (2-метилтиоэтил)дициклогексилфосфином. Выход 78%.
1H ЯМР (400 МГц, CD2Cl2, м. д.): 2.68 дт (2 Н), 2.41 c (3 H), 2.14–2.08 м (4 Н), 1.94–1.68 м (10 Н), 1.55–1.20 м (10 Н). 31Р ЯМР (121.5 МГц, CD2Cl2, м. д.): 65.84 (с).
Синтез катионного аллильного комплекса палладия с (2-фенилтиоэтил)дициклогексилфосфином. Выход 82%.
1H ЯМР (400 МГц, CD2Cl2, м. д.): 7.84–7.80 м (2 Н), 7.42–7.35 м (3 Н), 3.02 дт (2 Н), 2.07–2.0 м (4 Н), 1.85–1.69 м (10 Н), 1.40–1.20 м (10 Н). 31Р ЯМР (121.5 МГц, CD2Cl2, м. д.): 64.51 (с).
Общая процедура аддитивной полимеризации норборнена в присутствии катионных аллильных комплексов палладия с фосфин-тиоэфирными лигандами. В стеклянной виале емкостью 4 мл растворяли катионный аллильный комплекс палладия с фосфин-тиоэфирными лигандами (0.02 ммоль) в 0.74 мл дихлорметана. Затем при перемешивании добавляли 0.32 мл раствора норборнена (2 ммоль) в толуоле. Реакцию проводили при перемешивании и нагревании до 45°С в течение 2 ч. Полимер осаждали в метанол, образовавшийся осадок отделяли фильтрованием и промывали двумя порциями метанола (5 мл). Затем осадок сушили при пониженном давлении (0.1 мм рт. ст.) в течение 6 ч. Продукт дважды переосаждали из хлороформа в метанол и высушивали до постоянной массы.
Аддитивная полимеризация норборнена в присутствии предкатализаторов на основе нейтральных комплексов палладия с фосфин-тиоэфирными лигандами. В стеклянную виалу емкостью 4 мл помещали комплекс палладия с фосфин-тиоэфирными лигандами (0.02 ммоль) и навеску AgSbF6 (0.04 ммоль). Затем в виалу добавляли 0.74 мл дихлорметана и перемешивали в течение 1 ч, после чего раствор фильтровали. К фильтрату при перемешивании добавляли 0.32 мл раствора норборнена (2 ммоль) в толуоле. Реакцию проводили при перемешивании до отверждения реакционной смеси. Полимер осаждали в метанол, образовавшийся осадок отделяли фильтрованием и промывали двумя порциями метанола (5 мл). Затем осадок сушили при пониженном давлении (0.1 мм рт. ст.) в течение 6 ч. Продукт дважды переосаждали из хлороформа в метанол и высушивали до постоянной массы.
Обсуждение результатов
Синтез фосфин-тиоэфирных лигандов проводили с использованием описанных в литературе двустадийных методик, основанных на взаимодействии хлорпроизводных алкилтиоэфиров с диалкил(арил)-фосфидом лития. Ключевой стадией, определяющей чистоту продукта реакции, является получение диалкил(арил)фосфидов лития. Для синтеза лигандов, содержащих ароматические заместители при атоме фосфора, дифенилфосфид лития был получен путем взаимодействия хлордифенилфосфина с избытком металлического лития по схеме
(III)
Согласно данным 31P ЯМР-спектроскопии, в результате взаимодействия хлордициклогексилфосфина с литием по схеме (IV) образуются дифосфиновые производные, выделение которых из реакционной смеси является трудоемким процессом, приводящим к значительному снижению выхода целевого продукта. Поэтому для получения дициклогексилфосфида лития и дальнейшего синтеза фосфин-тиоэфирных лигандов на его основе использовали реакцию дициклогексилфосфина с н-бутиллитием по схеме (V), в результате которой не образуются дифосфины. В результате с приемлемыми выходами были получены четыре фосфин-тиоэфирных лиганда, различающиеся природой заместителей при атомах фосфора и серы.
(IV)
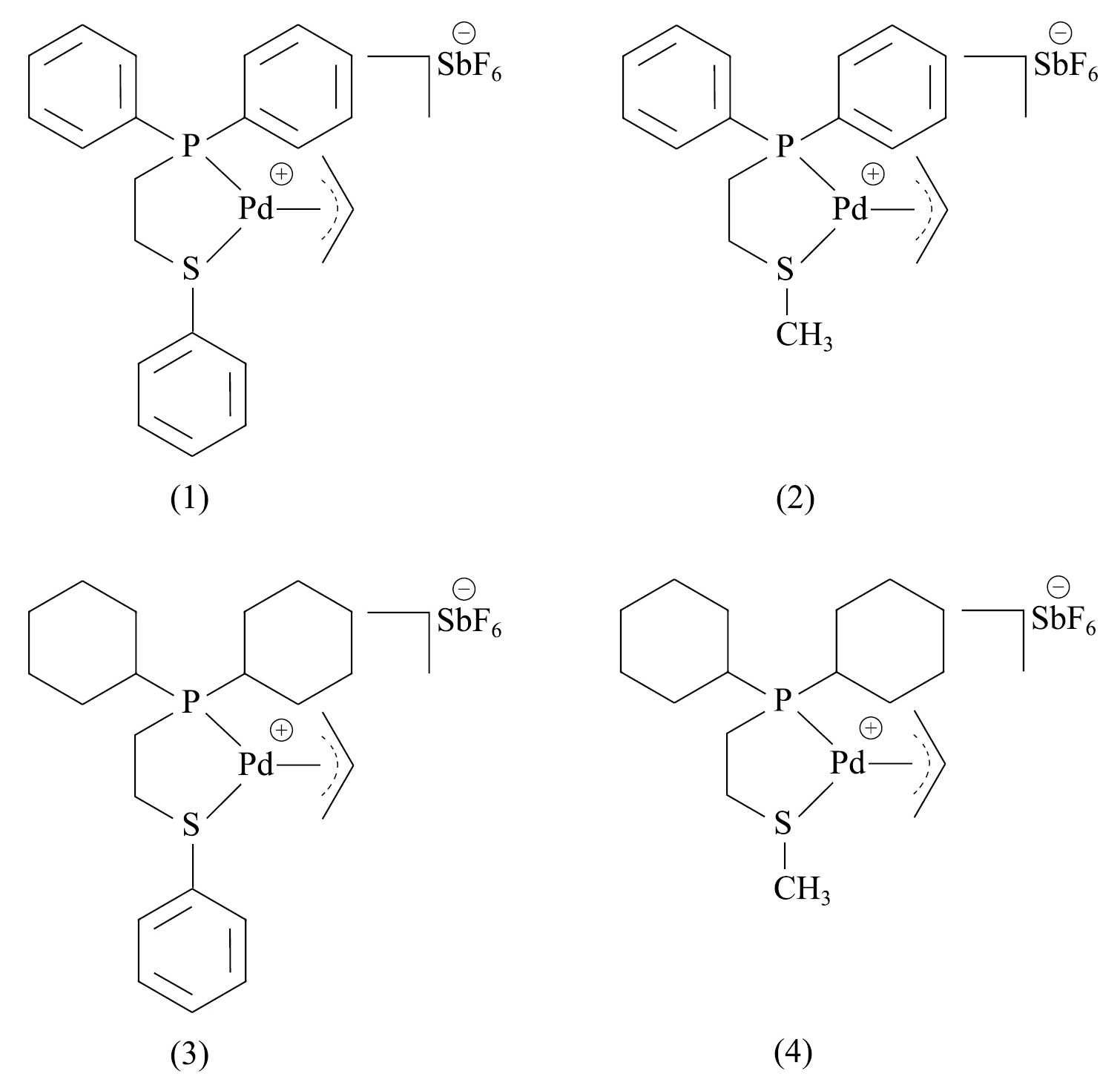
Для установления влияния структуры фосфин-тиоэфирных лигандов на активность катализаторов в аддитивной полимеризации норборнена были синтезированы комплексы палладия двух типов. Один из подходов к дизайну эффективных катализаторов полимеризации основывается на получении однокомпонентных катионных комплексов палладия, содержащих в своей структуре лабильный лиганд и слабокоординирующийся анион [11]. В данной работе синтезирована серия катионных аллильных комплексов палладия (1)–(4) с хелатной координацией атомов фосфора и серы к атому переходного металла. Строение полученных комплексов исследовано с использованием 1H и 31P ЯМР-спектроскопии. Свидетельством хелатной координации атомов фосфора и серы к атому палладия является смещение соответствующих сигналов протонов в 1H ЯМР-спектрах комплексов в слабое поле по сравнению со спектром исходного лиганда [12].
Альтернативным направлением в разработке катализаторов полимеризации производных норборнена является получение нейтральных комплексов палладия. Синтез нейтральных комплексов палладия проводили путем взаимодействия растворов фосфин-тиоэфирных лигандов с прекурсором на основе комплекса хлоро(1,5-циклооктадиен)метилпалладия (II). В результате лигандного обмена в координационной сфере палладия происходило образование целевых продуктов (5)–(8), содержащих бидентатные фосфин-тиоэфирные лиганды. Строение и чистота синтезированных комплексов подтверждены с использованием 1H и 31P ЯМР-спектроскопии.
Однокомпонентные катализаторы на основе аллильных комплексов палладия с фосфин-тиоэфирными лигандами (1)–(4) оказались малоактивными в аддитивной полимеризации норборнена (табл. 1). При длительном выдерживании реакционных смесей не наблюдалось признаков разрушения комплекса, а выходы полинорборнена оказывались крайне низкими. Возможной причиной столь низкой активности аллильных комплексов палладия с фосфин-тиоэфирными лигандами в полимеризации норборнена может быть неполная диссоциация аллильного лиганда, препятствующая протеканию процессов миграционного внедрения звеньев мономера в растущую полимерную цепь. Одним из способов увеличения степени диссоциации аллильных комплексов палладия является нагревание реакционных смесей. Результатом проведения полимеризации при повышенных температурах стало заметное увеличение выходов полимеризации с образованием нерастворимых продуктов. В этих условиях не наблюдалось деструкции катализатора с образованием палладиевой черни, что свидетельствует о значительной термической стабильности аллильных комплексов палладия с фосфин-тиоэфирными лигандами. Комплексы, содержащие циклогексильные заместители при атоме фосфора, оказались заметно более активными по сравнению с катализаторами, синтезированными на основе дифенилфосфиновых производных. В парах катализаторов с одинаковыми заместителями при атоме фосфора более активными оказались комплексы, содержащие метильную группу при атоме серы.
Таблица 1. Характеристика процесса аддитивной полимеризации норборнена в присутствии аллильных катионных комплексов палладия с фосфин-тиоэфирными лигандами ([норборнен]:[Pd] = 100/1 моль:моль, 2 ч, [норборнен] = 2 М, растворитель — дихлорметан)
Структура катализатора | Температура полимеризации, °С | Выход, % |
25 | 0 | |
45 | 1 | |
75 | 23 | |
25 | 0 | |
45 | 2 | |
75 | 31 | |
25 | 2 | |
45 | 4 | |
75 | 41 | |
25 | 2 | |
45 | 21 | |
75 | >99 |
Таким образом, синтезированные катионные комплексы являются малоактивными в полимеризации норборнена при комнатной температуре, но обладают заметной активностью при повышенных температурах. Это позволяет рассматривать данные комплексы в качестве объектов для дальнейших исследований в качестве катализаторов сополимеризации производных норборнена с этиленом.
Аддитивная полимеризация норборнена в присутствии каталитических систем на основе нейтральных комплексов палладия (5)–(8) с фосфин-тиоэфирными лигандами протекала с заметной активностью (табл. 2). Перед добавлением мономера в реакционную смесь комплексы палладия вводили в реакцию с AgSbF6 для удаления хлоридного лиганда из предкатализатора с образованием катионного комплекса вида [(P–S)Pd+CH3]SbF6–. Полученные комплексы оказались эффективными катализаторами аддитивной полимеризации норборнена. Полимеризация норборнена протекала за короткое время в широком диапазоне мольных соотношений [норборнен]:[Pd] с количественными выходами нерастворимых продуктов полимеризации независимо от структуры фосфин-тиоэфирного лиганда. Столь выраженная активность полученных in situ комплексов палладия связана, с одной стороны, с присутствием в структуре комплекса связи Pd—CH3, необходимой для роста полимерной цепи, а с другой — с наличием свободного места в координационной сфере палладия, доступного для координации мономера на первой стадии каталитического процесса. Заметные различия в реакционной способности двух катионных метил(фосфин-тиоэфирных) комплексов палладия наблюдались при полимеризации менее активных производных норборнена — 5-н-гексил-2-норборнена и 5-этилиден-2-норборнена. Более высокие выходы полимеризации наблюдались в случае использования комплекса с метилтиоэфирным фрагментом по сравнению с комплексом, содержащим фенилтиоэфирную группу, что согласуется с результатами, полученными для серии катионных аллильных комплексов палладия с фосфин-тиоэфирными лигандами. Подобное влияние заместителей при атоме серы на активность катализатора в полимеризации может быть связано с различием в электронных эффектах. Наличие электронно-донорных метильных заместителей при атоме серы, по-видимому, приводит к более эффективной стабилизации активного центра в структуре катионного комплекса.
Таблица 2. Характеристика процесса аддитивной полимеризации норборнена и его производных в присутствии нейтральных комплексов палладия с фосфин-тиоэфирными лигандами (сокатализатор — AgSbF6, [Pd]:[AgSbF6] = 1:2 моль:моль, [мономер] = 2 М, температура — 25°С, растворитель — дихлорметан)
Предкатализатор | Мономер | [Мономер]:[Pd], моль:моль | Время реакции, мин | Выход, % |
100 | 2 | >99 | ||
500 | 2 | >99 | ||
1000 | 2 | >99 | ||
100 | 30 | 87 | ||
500 | 30 | 82 | ||
100 | 60 | 65 | ||
500 | 60 | 14 | ||
100 | 2 | >99 | ||
500 | 2 | >99 | ||
1000 | 2 | >99 | ||
100 | 30 | >99 | ||
500 | 30 | 83 | ||
100 | 60 | >99 | ||
500 | 60 | 34 | ||
100 | 2 | >99 | ||
500 | 2 | >99 | ||
1000 | 2 | >99 | ||
100 | 2 | >99 | ||
500 | 2 | >99 | ||
1000 | 2 | >99 |
Выводы
Катионные аллильные комплексы палладия с фосфин-тиоэфирными лигандами являются термически устойчивыми, характеризуются заметной активностью в полимеризации норборнена при повышенных температурах и могут быть в дальнейшем использованы в качестве катализаторов сополимеризации норборнена с этиленом. Катализаторы на основе метил(фосфин-тиоэфирных) комплексов палладия являются высокоактивными в полимеризации производных норборнена с объемными заместителями при комнатной температуре. Для повышения эффективности катализаторов на основе комплексов палладия с фосфин-тиоэфирными лигандами в (со)полимеризации норборнена и его производных необходимо присутствие объемных донорных фрагментов (в частности, циклогексильных) при атоме фосфора, а также донорных заместителей при атоме серы.
Финансирование работы
Работа выполнена при поддержке гранта Российского научного фонда № 23-73-01253.
Конфликт интересов
Авторы заявляют об отсутствии конфликта интересов, требующего раскрытия в данной статье.
Информация о вкладе авторов
Г. О. Карпов провел синтез фосфин-тиоэфирных лигандов, комплексов палладия на их основе; М. К. Мангов провел эксперименты по аддитивной полимеризации норборнена и его производных в присутствии каталитических систем, содержащих фосфин-тиоэфирные лиганды; М. В. Бермешев провел анализ строения и чистоты фосфин-тиоэфирных лигандов и комплексов палладия на их основе с использованием 1H и 31P ЯМР-спектроскопии.
About the authors
Глеб Олегович Карпов
Институт нефтехимического синтеза им. А. В. Топчиева РАН
Author for correspondence.
Email: karpov@ips.ac.ru
ORCID iD: 0000-0002-6838-5109
к.х.н.
Russian Federation, 119991, ГСП-1, г. Москва, Ленинский пр., д. 29, стр. 2Милорад Константинович Мангов
Институт нефтехимического синтеза им. А. В. Топчиева РАН
Email: karpov@ips.ac.ru
ORCID iD: 0009-0006-7609-6856
Russian Federation, 119991, ГСП-1, г. Москва, Ленинский пр., д. 29, стр. 2
Максим Владимирович Бермешев
Институт нефтехимического синтеза им. А. В. Топчиева РАН
Email: karpov@ips.ac.ru
ORCID iD: 0000-0003-3333-4384
д.х.н., доцент
Russian Federation, 119991, ГСП-1, г. Москва, Ленинский пр., д. 29, стр. 2References
- Zhao Y., Zhang Y., Cui L., Jian Z. Cyclic olefin terpolymers with high refractive index and high optical transparency // ACS Macro Lett. 2023. V. 12. N 3. P. 395–400. https://doi.org/10.1021/acsmacrolett.3c00043
- Nunes P. S., Ohlsson P. D., Ordeig O. Cyclic olefin polymers: Emerging materials for lab-on-a-chip applications // Microfluid. Nanofluidics. 2010. V. 9. P. 145–161. https://doi.org/10.1007/s10404-010-0605-4
- Agha A., Waheed W., Alamoodi N., Mathew B., Alnaimat F., Abu-Nada E., Abderrahmane A., Alazzam A. A review of cyclic olefin copolymer applications in microfluidics and microdevices // Macromol. Mater. Eng. 2022. V. 307. N 8. 2200053. https://doi.org/10.1002/mame.202200053
- Kaminsky W., Boggioni L., Tritto I. Cycloolefin polymerization // Polym. Sci.: A Comprehensive Reference. 2012. V. 3. P. 843–873. https://dx.doi.org/10.1016/B978-0-444-53349-4.00087-X
- Chen Y., Mandal S., Sen A. Synthesis of (N-O)-ligated palladium(II) complexes and their use in ethene homopolymerization and norbornene copolymerizations // Organometallics. 2010. V. 29. N 14. P. 3160–3168. https://doi.org/10.1021/om1003013
- Nakamura A., Anselment T. M. J., Claverie J., Goodall B., Jordan R. F., Mecking S., Rieger B., Sen A., van Leeuwen P. W. N. M., Nozaki K. Ortho-phosphinobenzenesulfonate: a superb ligand for palladium-catalyzed coordination-insertion copolymerization of polar vinyl monomers // Acc. Chem. Res. 2013. V. 46. N 7. P. 1438–1449. https://doi.org/10.1021/ar300256h
- Wang J., Wang L., Yu H., Ullah R. S., Haroon M., Zain-ul-Abdin, Xia X., Khan R. U. Recent progress in ethylene polymerization catalyzed by Ni and Pd catalysts // Eur. J. Inorg. Chem. 2018. V. 2018. N 13. P. 1450–1468. https://doi.org/10.1002/ejic.201701336
- Ravasio A., Boggioni L., Tritto I. Copolymerization of ethylene with norbornene by neutral aryl phosphine sulfonate palladium catalyst // Macromolecules. 2011. V. 44. N 11. P. 4180–4186. https://doi.org/10.1021/ma2006427
- Ulmann P. A., Brown A. M., Ovchinnikov M. V., Mirkin C. A., Dipasquale A. G., Rheingold A. L. Spontaneous formation of heteroligated PtII complexes with chelating hemilabile ligands // Chem. — A Eur. J. 2007. V. 13. N 16. P. 4529–4534. https://doi.org/10.1002/chem.200601837
- Sakakibara K., Nozaki K. Rhodium catalysts bearing mixed thioether–phosphine ligands for carbonylation of methanol // Bull. Chem. Soc. Jpn. 2009. V. 82. N 8. P. 1009–1011. https://doi.org/10.1246/bcsj.82.1009
- Bermesheva E. V., Medentseva E. I., Khrychikova A. P., Wozniak A. I., Guseva M. A., Nazarov I. V., Morontsev A. A., Karpov G. O., Topchiy M. A., Asachenko A. F., Danshina A. A., Nelyubina Y. V., Bermeshev M. V. Air-stable single-component Pd-catalysts for vinyl-addition polymerization of functionalized norbornenes // ACS Catal. 2022. V. 12. N 24. P. 15076–15090. https://doi.org/10.1021/acscatal.2c04345
- Al-shami E. M., Abu-surrah A. S., Klinga M., Hodali H. A. Palladium (II) complexes with the mixed-donor ligand CH3S–(CH2)3–PPh2: Crystal structures of [PdCl2{CH3S–(CH2)3–PPh2}n] (n = 1, 2) // Z. Anorg. Allgem. Chem. 2002. V. 628. P. 1433–1436. https://doi.org/10.1002/1521-3749(200206)628:6<1433::AID-ZAAC1433>3.0.CO;2-H
Supplementary files























