Геополимерные материалы: проблемы, достижения и перспективы (обзор)
- Authors: Аликина Ю.А.1, Алексеев А.А.1, Голубева О.Ю.1
-
Affiliations:
- Институт химии силикатов им. И. В. Гребенщикова
- Issue: Vol 97, No 2 (2024)
- Pages: 114-131
- Section: Articles
- URL: https://medbiosci.ru/0044-4618/article/view/262024
- DOI: https://doi.org/10.31857/S0044461824020026
- EDN: https://elibrary.ru/DVMEGO
- ID: 262024
Cite item
Full Text
Abstract
В обзоре проанализировано состояние исследований в области разработки геополимерных материалов, представляющих собой продукты щелочной активации алюмосиликатного сырья. Рассмотрены химическая природа процесса формирования геополимеров, основные стадии их получения, факторы, влияющие на прочностные характеристики, а также перспективные направления применения геополимерных материалов. Оценено современное состояние исследований в Российской Федерации и перспективы развития данного направления с учетом имеющегося научно-технического задела и сырьевой базы. Выделены наиболее значимые направления развития работ по получению геополимерных материалов.
Keywords
Full Text
Введение
Геополимеры являются бесцементными вяжущими материалами, которые в скором времени могут стать полноценным аналогом портландцементу и бетону, получаемому на его основе [1]. В настоящее время портландцемент является важным материалом, используемым в строительной промышленности во всем мире. Его широкое применение обусловлено относительно низкой ценой, долговечностью, доступностью сырья и способностью принимать любую форму [2]. Высокие темпы роста производства портландцемента представляют большую опасность для окружающей среды из-за значительного объема выбрасываемого в атмосферу CO2 [3], составляющего ~7% [2, 4] от общего объема всех выбросов [3–6]. На каждую тонну произведенного цемента в зависимости от технологии приходится около 0.7–1.5 т CO2 [7, 8]. В связи с этим поиск альтернативных минеральных вяжущих веществ, производство, использование и утилизация которых будет отвечать современным экологическим стандартам, является актуальной задачей. Кроме того, в настоящее время отмечаются активные темпы роста выработки твердых промышленных и бытовых отходов [9]. Существуют различные методы их утилизации, такие как разложение, механическое измельчение, сжигание и газификация, однако и они сопряжены с образованием остатков, которые вызывают вторичное загрязнение окружающей среды [10]. Некоторые из предлагаемых подходов снижения негативного воздействия производства портландцемента и бетона на окружающую среду заключаются в частичном или полном переходе на альтернативные вяжущие материалы [9], для получения которых могут быть использованы различные твердые отходы.
Геополимерные материалы в последнее время привлекли значительное внимание исследователей, так как процесс их получения характеризуется низкими выбросами CO2, невысокими температурами обжига сырья и возможностью использования промышленных отходов для их синтеза [10–13]. Кроме того, геополимерные материалы обладают следующими достоинствами: высокая прочность на сжатие и изгиб [14, 15], химическая стойкость (устойчивость к воздействию кислот, хлоридных и сульфатных сред) [16, 17], устойчивость к циклическому замораживанию и оттаиванию (что делает возможным применение данных материалов в условиях арктического и субарктического климата), огнестойкость [18], возможность варьирования модуля упругости и реологических свойств геополимерного материала (текучесть свежей суспензии, регулируемое время схватывания) [19], высокие гидроизоляционные характеристики [20], возможность получения пористых материалов. Применение геополимеров является также потенциальным решением проблемы утилизации таких промышленных отходов, как доменный шлак [21–24], зола уноса [25–28] и красный шлам [29].
В настоящее время геополимеры занимают малую долю рынка вяжущих веществ, однако в некоторых странах уже существуют успешно эксплуатируемые объекты, при строительстве которых были использованы геополимерные материалы [30]. Первое жилое здание из геополимерных материалов было построено в Липецке в 1989 г. [31]. В 2013 г. геополимеры были применены для создания несущих конструкций здания Института глобальных изменений Университета Квинсленда, Австралия [32]. В 2014 г. в Австралии геополимерный бетон был использован для строительства взлетно-посадочных полос аэропорта Брисбена. Многочисленные исследователи показали, что геополимер может быть использован в качестве материала для строительства дорожной инфраструктуры [33]. Другие возможные применения геополимерных материалов включают разработку материалов для 3D-печати, получение теплоизолирующих и огнеупорных материалов, химически стойких покрытий, катализаторов, адсорбентов, материалов для иммобилизации опасных и радиоактивных отходов, материалов медицинского назначения [34–35].
Цель обзора — анализ состояния исследований в области геополимерных материалов в мире и в Российской Федерации, а также формулировка основных наиболее перспективных направлений развития исследований данных материалов.
Химическая природа геополимеров
Геополимерами называются активированные щелочью неорганические материалы с высоким содержанием алюмосиликатов и низким содержанием соединений кальция [36–39]. Геополимеры представляют собой аморфные или полукристаллические материалы, состоящие из полимерных плоских и объемных алюмосиликатных сеток. Основными структурными единицами сеток являются тетраэдры [AlO4] и [SiO4], количество и порядок чередования которых определяет физико-химические свойства и область применения материала [1, 36]. Общая формула геополимера может быть представлена в виде Mn[—(SiO2)z—AlO2—]n·wH2O, (I)
где M — катион (K+, Na+, Ca2+), n — степень поликонденсации, z ≥ 1.
Данная структура по предложению J. Davidovits [1] названа полисиалатной сетью, а мономерное звено — сиалатом (сокращение от силоксоалюмината). Катионы, находящиеся в геополимере, компенсируют отрицательный заряд алюминатных тетраэдров. Количество кремниевых групп в мономерном звене геополимера влияет на пространственную размерность полисиалатной сети. При значениях z от 1 до 3 наблюдается образование преимущественно трехмерной структуры, при более высоких значениях данного параметра в структуре геополимера появляется значительное количество двумерных сеток. Геополимеры с трехмерной структурой применяются для получения керамики, вяжущих веществ и материалов, иммобилизирующих радиоактивные и токсичные отходы, двумерные структуры используются для получения покрытий и герметизирующих материалов [1, 36].
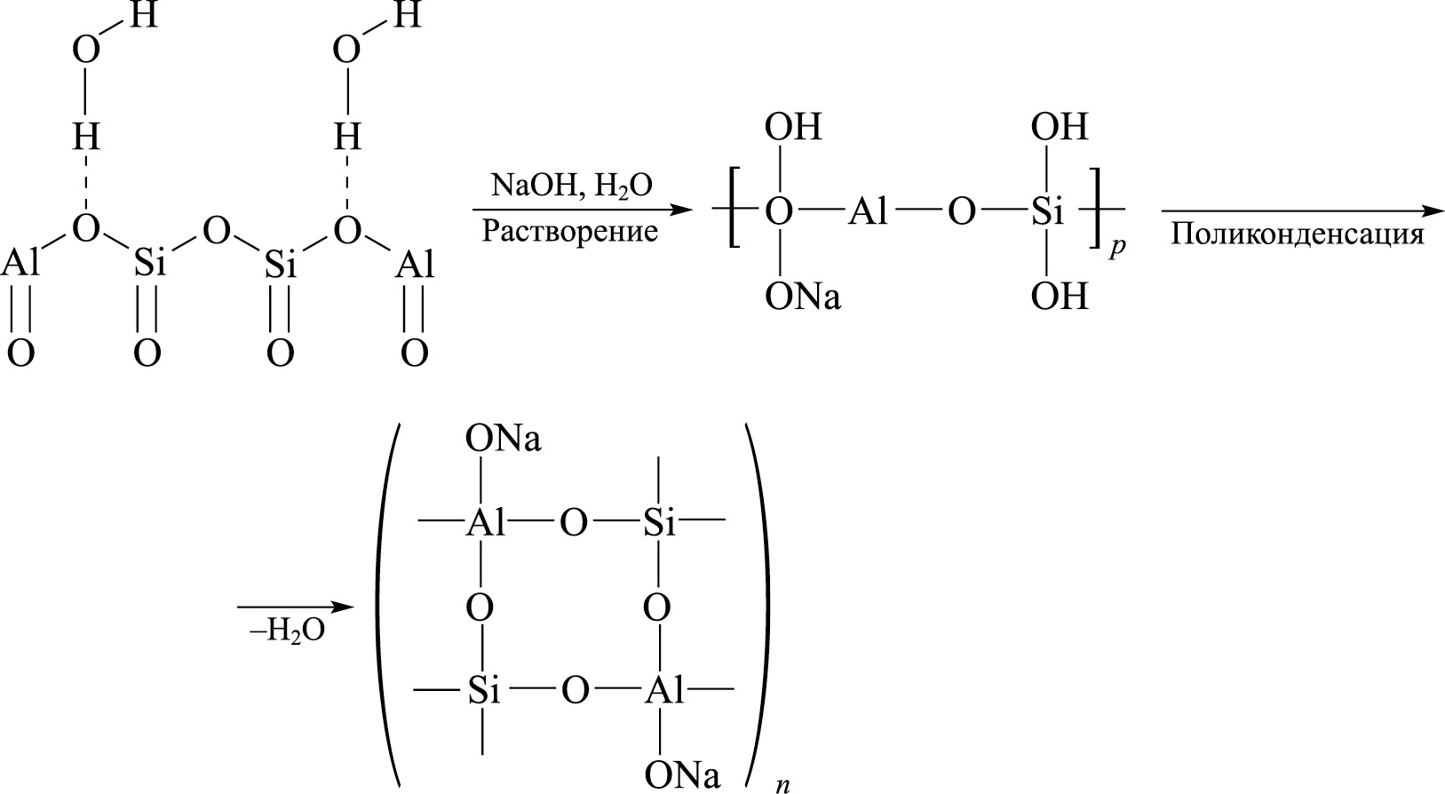
Механизмы образования твердой фазы геополимера и портландцемента различаются из-за разной физико-химической природы материалов-прекурсоров. Твердение цементной смеси осуществляется за счет реакций гидратации кальциевых силикатов различного состава [40, 41]. Образование геополимера происходит при взаимодействии исходного алюмосиликатного термоактивированного материала-прекурсора со щелочным активатором — раствором щелочи и (или) Na2SiO3 или K2SiO3 [42–45]. Реакция отверждения может протекать при различных температурах (до 90°С) в зависимости от состава исходной смеси [46–48]. Исследование физико-химических процессов, происходящих в материалах, активированных щелочью, было начато в 1950-е годы В. Д. Глуховским [49]. Дальнейшее развитие теоретических представлений о реакции геополиконденсации представлено в работах C. Shi [50], A. Fernandez-Jimenez [51], P. Duxson и J. Provis [52].
На сегодняшний день исследователи сходятся во мнении, что процесс геополимеризации представляет собой совокупность последовательных стадий. На первой стадии происходит частичное растворение алюмосиликатного прекурсора. В результате разрыва связей Si—O—Si и Si—O—Al образуются силикатные и алюминатные мономеры, которые вступают в реакцию с образованием олигомеров [53, 54]. В момент достижения равновесного состояния раствор становится пересыщенным олигомерами, которые в свою очередь поликонденсируются в гель. Постепенно фрагменты полисиалатной сети конденсируются и теряют подвижность. Продолжительность стадий растворения и поликонденсации можно установить по изменению реологических характеристик геополимерной пасты [55]. При растворении алюмосиликатного прекурсора наблюдается незначительное изменение реологических параметров, что объясняется малым изменением структуры системы. На этапе геополиконденсации отмечается резкий рост значений эффективной вязкости и касательных напряжений сдвига раствора, что говорит об образовании в системе полимерной сети. После формирования крупных фрагментов геополимерной сети начинается их взаимная поликонденсация с образованием поверхности раздела фаз [56]. При протекании процесса геополиконденсации вода ведет себя как реакционноспособная среда, которая расходуется на стадии растворения и гидролиза и выделяется на стадии поликонденсации.
Стадии процесса геополиконденсации протекают параллельно, поэтому существуют определенные сложности при их дифференциации и изучении [42–44, 51]. На схеме (II) приведены основные стадии образования геополимерной матрицы. (II)
Технология получения геополимерных материалов
Основными технологическими стадиями процесса получения геополимеров являются: термоактивация алюмосиликатного прекурсора (750–850°C), смешение термоактивированного материала и щелочного активатора, формование и отверждение полученной геополимерной пасты [43]. Для получения пористых геополимеров в реакционную сместь вводятся различные вспенивающие агенты (например, H2O2 или Al) [57] и поверхностно-активные вещества, варьирование концентраций которых приводит к получению геополимеров с различным распределением пор по размерам.
В качестве сырья для получения геополимеров могут использоваться алюмосиликатные материалы природного и техногенного происхождения, такие как минералы подгруппы каолинита, бентонит (минерал группы смектита, в состав которого входит преимущественно монтмориллонит) [58, 59], зола уноса [60], красный шлам [61], доменные шлаки и другие промышленные отходы [62]. Основное требование к материалам-прекурсорам геополимеров — повышенное содержание Al2O3 и SiO2, предпочтительно в реакционноспособной аморфной форме [29]. Прекурсоры геополимеров существенно различаются по морфологии частиц [39], химическому, гранулометрическому и фазовому составу, что существенно затрудняет изучение параметров и закономерностей процесса геополимеризации, а также прогнозирование свойств получаемых геополимеров, что в свою очередь лимитирует внедрение геополимерных материалов в технику и промышленность.
Наиболее широко используемыми прекурсорами для получения геополимеров являются минералы подгруппы каолинита [36, 62–64], которые обладают высокой пуццолановой активностью и простым химическим составом. К данным минералам относятся каолинит, галлуазит, диккит и накрит, имеющие общую формулу Al2Si2O5(OH)4. Некоторые исследователи сообщают о возможности использования в качестве сырья для получения геополимеров и других алюмосиликатных минералов [65–69] — цеолитов, диатомитов, опоки и др. Внешний вид образцов геополимеров, синтезированных из различных алюмосиликатных прекурсоров, представлен на рис. 1.
Рис. 1. Геополимерные материалы, полученные на основе природного каолинита, бентонита, золы уноса и синтетического каолинита (материалы авторов).
Среди описанных в литературе методик синтеза геополимеров достаточно сложно выделить единую стандартизированную технологию получения геополимерного материала с заданными свойствами даже для наиболее часто используемых прекурсоров. В каждом случае выбор технологических параметров при использовании того или иного сырья осуществляется опытным путем и требует проведения значительного количества экспериментов. В настоящее время отсутствуют научно обоснованные подходы к подбору технологических параметров при получении геополимерных материалов — соотношения исходных компонентов, температуры и продолжительности термообработок, количества добавок и т. д. В свою очередь недостаточная изученность процесса формирования геополимеров усложняет прогнозирование эксплуатационных свойств геополимерных материалов, что лимитирует широкое внедрение геополимерных материалов в технику и промышленность.
Факторы, влияющие на прочность геополимеров
Механическая прочность геополимерного материала существенно зависит от соотношений компонентов в начальной смеси. Так, в работе [70] показано, что прочность геополимера зависит от следующих соотношений: Si/Al, жидкость:твердое (ж:т), Al/Na, H2O/Na. Некоторые исследователи отмечают, что наилучшие результаты прочности на сжатие достигаются при Si/Al = 2 [44]. При отношениях Si/Al < 1 геополиконденсация не наблюдается [71], а при Si/Al > 2 возрастает количество непрореагировавших частиц материала-прекурсора, что приводит к снижению прочности на сжатие [72]. Варьирование отношения Al/Na показало, что наибольшая прочность на сжатие может быть достигнута, когда его значение близко к 1. Отношение H2O/Na не оказывает существенного влияния на развитие прочности на сжатие, однако обычно этот параметр поддерживается равным 11 [44].
При одинаковых значениях Si/Al может варьироваться соотношение ж:т, что существенно влияет на прочность получаемого материала. Соотношение ж:т значительно зависит от материала-прекурсора и определяет реологические свойства геополимерной пасты. Увеличение значения ж:т снижает прочность на сжатие, однако при недостаточном количестве жидкой фазы снижается степень конверсии исходного сырья и значительно увеличивается вязкость геополимерной суспензии [73]. Как указывается в работе [74], проведение синтеза геополимеров возможно при более низких значениях ж:т, чем для портландцемента.
В литературе описано большое количество методик получения геополимерных материалов с различными соотношениями компонентов в исходной смеси, однако наиболее механически прочные материалы получаются при соблюдении указанных оптимальных соотношений. Так, в работе [75] описана технология получения геополимера на основе метакаолинита с прочностью на сжатие ~75 МПа при отношениях Si/Al = 1.90, Na/Al = 1, H2O/Na2O = 11. В качестве активатора авторы используют раствор Na2SiO3. В работе [76] проведено исследование геополимеров на основе метакаолина в различном диапазоне мольных соотношений Si/Al. Уcтановлено, что максимальная прочность на сжатие (37 МПа) достигается при отношении Si/Al = 1.67, а отношения Na/Al и H2O/Na2O равны 1 и 12 соответственно. Авторы работ [77, 78] получили прочность на сжатие 61 и 48 МПа соответственно при молярном отношении Si/Al ≈ 2.
Условия отверждения также значительно влияют на скорость и полноту протекания реакций геополикондесации в геополимерной суспензии [79] и растворения алюмосиликатного прекурсора [80–82]. В целом большинство исследователей приходят к выводу, что повышение температуры и увеличение времени отверждения способствуют получению более однородных геополимеров, что в свою очередь благоприятно сказывается на механических свойствах [15, 79, 80]. Так, в работе [83] получены следующие основные выводы о влиянии температуры отверждения на микроструктуру геополимеров:
- при температуре 20°C в геополимере могут образовываться трещины, это может быть связано с низкой степенью конверсии материала-прекурсора и снижением количества геля Na–Al–Si–H2O в матрице геополимера;
- при температурах 60–80°С геополимер обладает однородной структурой и характеризуется более высокими показателями прочности на сжатие;
- при температуре выше 100°С в объеме геополимера формируются трещины. Кроме того, при данных температурах на поверхности геополимера наблюдалось образование Na2CO3, что, по мнению авторов, связано с увеличением скорости испарения воды и взаимодействия щелочного активатора с CO2. Карбонизация геополимера снижает щелочность среды и, как следствие, растворение материала-прекурсора, что негативно сказывается на механических свойствах геополимера. В работе [84] сообщается, что при повышении температуры отверждения уменьшается пористость геополимера.
Тип активатора также существенно влияет на механические характеристики геополимерных материалов. К наиболее часто применяемым щелочным активаторам можно отнести NaOH, Na2SiO3, KOH и K2SiO3 [85, 86]. Было показано, что геополимеры, полученные в присутствии K2SiO3 и KOH, характеризуются более высокой механической прочностью, чем в случае применения Na2SiO3 и NaOH [87, 88]. Наиболее высокие значения прочности на сжатие имеют геополимеры, полученные на основе смеси калий- и натрийсодержащих щелочных реагентов [89]. Присутствие в составе раствора силиката щелочного металла приводит к улучшению микроструктуры и прочностных свойств геополимера [90]. Некоторые исследователи (например, [91]) сообщают о возможности использования твердого щелочного активатора (Na2SiO3), применение которого более безопасно и позволяет получать цементообразную смесь, для активации которой необходимо добавить только воду.
Отдельный интерес также представляет возможность изменения вида активирующего раствора [92]. Для получения геополимеров в основном используется щелочная активация, однако существует отдельное направление исследований, посвященное получению кислотно-активированных геополимеров. Алюмосиликатно-фосфатные геополимеры — это цементные материалы, синтезированные из алюмосиликатных прекурсоров и кислотных активаторов (H3PO4 или фосфатов). Исследования [92–95] показывают, что алюмосиликатно-фосфатные геополимеры обладают хорошими механическими свойствами (прочность на сжатие таких материалов может достигать 146 МПа) и высокой термостойкостью (выдерживают температуру до 1500°C). Тем не менее большинство текущих исследований алюмосиликатно-фосфатных геополимеров все еще находится на лабораторной стадии [92, 96]. Оптимизация процесса синтеза, использование более экономичного сырья [97] и стандартизация методов испытаний и технических показателей будут способствовать промышленному применению данных геополимеров.
Помимо варьирования параметров процесса геополимеризации с целью получения функциональных материалов с заданной прочностью и физико-химическими характеристиками отдельное внимание в литературе уделяется введению различных армирующих и модифицирующих структуру материала добавок [44, 98–102], которые могут существенно увеличить его долговечность. Как сообщается в работе [100], добавление высокодисперсного SiO2 в геополимер может повысить его прочность на сжатие. Этот эффект достигается за счет действия армирующих волокон и блокирования пор частицами кремнезема, которые предотвращают распространение трещин. Авторами [44, 101] сообщается, что увеличения прочности геополимерного материала можно достичь путем добавления определенных количеств MgO и CaO. Также известны исследования по синтезу композитных геополимерных материалов на основе алюмосиликатов и измельченной резины [102]. В связи с этим представляется актуальным изучить влияние различных добавок на механические свойства геополимера.
Таким образом, для синтеза материалов, характеризующихся высокой механической прочностью (прочность на сжатие), которая является наиболее важным свойством геополимеров как строительных материалов, можно выделить следующие основные условия проведения процесса [44, 103, 104]: отношение Si/Al 1.5–2; температура процесса отверждения геополимерной пасты 60–90°C; длительное время отверждения; низкое содержание воды; присутствие MgO и CaO.
Морфология частиц материала-прекурсора
Значительное влияние на свойства получаемых геополимерных материалов оказывает морфология частиц материала-прекурсора [11, 43, 99]. Большинство исследований, в которых рассматривается влияние морфологии на процесс синтеза геополимеров, сфокусировано на изучении сферических [105, 106] и пластинчатых частиц [99, 103, 105, 107]. Отличительной особенностью алюмосиликатных минералов является способность формировать частицы с различной морфологией — пластинчатой, сферической, трубчатой, губчатой, конусообразной и т. д. [101–103]. Структура каолинита, наиболее часто используемого минерала для получения геополимеров, представлена одной тетраэдрической кремнекислородной и одной алюминий-кислородно-гидроксильной октаэдрической сеткой (тип 1:1). Сетки, образуя слой, удерживаются вместе ван-дер-ваальсовыми связями между базальными атомами кислорода тетраэдрической и гидроксилами октаэдрической сетки (рис. 2). Слои плотно скреплены водородными связями, что ограничивает расширение и реакционную площадь геополиконденсации [11, 99, 108–110]. Пластинчатая морфология каолинита является наиболее распространенной, однако при некоторых условиях возможно образование сферических частиц и галлуазитовых трубок [58, 110].
Рис. 2. Схематическое изображение формирования различных морфологий алюмосиликатов подгруппы каолинита.
Галлуазит, имеющий трубчатую морфологию и схожий с каолинитом химический состав, также исследовался в качестве прекурсора геополимеров. Так, в работе [58] показано, что кальцинированный галлуазит обладает большей реакционной способностью к геополимеризации, чем каолинит. Геополимеры на основе галлуазита имеют большую плотность и прочность на сжатие, а также однородную микроструктуру. Это объясняется способностью нанотрубчатого галлуазита высвобождать больше олигомерных сиалат-ионов при щелочной активации, чем пластинчатый каолинит [58, 110, 111].
Одной из важнейших характеристик частиц различной морфологии является фактор формы — параметр, характеризующий отношение наибольшего линейного размера частицы к наименьшему. Высокие значения фактора формы свойственны для отдельных эксфолиированных слоев (например, слоистых силикатов со структурой монтмориллонита), а также для частиц с нанотрубчатой морфологией. Теоретические и экспериментальные исследования показали, что частицы с высоким значением фактора формы оказывают положительное влияние на прочность керамических и полимерных композиционных материалов по сравнению с изодиаметрическими частицами [112]. Можно предполагать наличие таких же эффектов и при получении геополимерных материалов, несмотря на то что назвать данные материалы композиционными в чистом виде нельзя, так как наполнитель непосредственно вовлекается в химическую реакцию с образованием новых соединений [113].
В настоящее время существуют методы получения алюмосиликатов с заданными характеристиками, в том числе морфологией частиц [114]. В Институте химии силикатов им. И. В. Гребенщикова были разработаны методики направленного гидротермального синтеза алюмосиликатов подгруппы каолинита и группы смектита с различной морфологией частиц (сферы, пластины, губки, слои) [115, 116]. Полученные объекты в дальнейшем могут быть использованы для исследования влияния морфологических характеристик частиц прекурсора на физико-химические свойства получаемых геополимерных материалов.
Рис. 3. Микрофотографии частиц каолинита с различной морфологией: а — сферы (материал авторов), б — пластинки (материал авторов), в — губки [116], 1 г — трубки [117]. 2
Перспективные направления применения геополимерных материалов
Помимо применения в качестве альтернативных вяжущих веществ в строительной отрасли геополимеры являются перспективными материалами для получения покрытий, обладающих высокими химической и термической стойкостью, хорошими теплоизоляционными свойствами. Так, в работе [118] рассматривается возможность нанесения огнезащитных геополимерных покрытий на стальные конструкции. Установлено, что геополимеры в отличие от портландцемента обладают большей устойчивостью к химическому и термическому воздействию, обладают хорошей адгезией к поверхности металла [119, 120] и устойчивостью к растрескиванию при действии высоких температур [121]. Перcпективным представляется получение геополимерных покрытий с добавлением частиц TiO2 и ZnO, обладающих фотокаталитической активностью. Применение данных частиц для создания покрытия позволяет не только сделать его самоочищающимся, но также способствует снижению количества загрязняющих веществ в воздухе (углеводороды, NOx, одоранты) [122]. Химическая стойкость покрытий на основе геополимеров в будущем позволит применять данные материалы для защиты бетонных конструкций, подвергающихся воздействию агрессивных сред, например, морских сооружений, которые подвержены хлоридной и сульфатной коррозии [123].
Область применения геополимеров может быть значительно расширена за счет возможности регулирования пористости данных материалов. Помимо классических направлений по созданию теплоизоляционных и звукоизоляционных материалов пористые геополимеры на сегодняшний день рассматриваются как перспективные материалы для получения адсорбентов, катализаторов и их носителей. Пористые геополимерные материалы также могут использоваться для удаления из сточных вод тяжелых металлов, красителей и фармацевтических препаратов [124]. Катализаторы на основе геополимеров могут использоваться в виде порошка и объемных структур, которые могут быть получены в том числе с использованием аддитивных технологий. Так, в работе [125] сообщается о получении катализатора на основе пористого геополимера для интенсификации синтеза биодизельного топлива. Пористые геополимеры исследовались в качестве носителей катализаторов процесса синтеза биотоплива [126], фотокаталитического разложения окрашенных загрязняющих веществ [127] и процессов окисления углеводородов и NOx [128].
Существует опыт успешного применения геополимеров для иммобилизации радиоактивных отходов. Геополимерные материалы обладают большим потенциалом в этой области применения, поскольку их структура позволяет предотвращать выщелачивание и последующую миграцию опасных веществ под действием различных агрессивных сред. Стоит отметить, что механизм иммобилизации заключается не в процессе адсорбции на поверхности материала, а в создании геополимерной матрицы, в которую на этапе синтеза вводятся шламы обогатительных процессов, цеолиты, соли, металлические сплавы, углеродные материалы, отходы экстракционных процессов, содержащие радиоактивные изотопы. Так, в Словакии для иммобилизации 137Cs и 90Sr используется геополимер на основе метакаолинита [129].
Отдельный интерес представляет возможность использования геополимерных материалов в медицине. Как сообщается авторами [130, 131], геополимеры с добавлением различных соединений кальция [CaCl2, Ca(OH)2, Ca3(PO4)2] обладают биологической активностью и биосовместимостью. Благодаря высокой механической прочности и термической устойчивости геополимеры могут использоваться в создании систем для пролонгированного действия лекарств, что является важным в условиях применения сильнодействующих препаратов [132, 133]. Биосовместимость и возможность варьирования распределения размеров пор делает геополимерные материалы пригодными для создания каркасных структур, предназначенных для регенерации костной ткани [134, 135], в хирургии и стоматологии.
Основным стимулом развития аддитивных технологий в строительной отрасли является повышение производительности работ, сокращение количества строительных отходов, создание сооружений, обладающих сложной формой. Применение геополимерных материалов для осуществления таких строительных работ представляется особенно актуальным, так как данные материалы являются экологичными и обладают необходимыми механическими свойствами. За рубежом технология 3D-печати из геополимерных материалов используется не только для создания отдельных изделий в лабораторных масштабах, но и для промышленного и гражданского строительства элементов зданий и сооружений [91, 136, 137]. Основными методами получения 3D-конструкций из геополимеров являются экструзия [138] и порошковая печать (щелочная активация материала-прекурсора в сухом слое) [91].
При использовании метода экструзии большое влияние на точность размеров и механические свойства готовой конструкции оказывают реологические свойства геополимерного вяжущего. В зарубежной литературе уделено большое внимание исследованию возможности применения геополимеров для печати методом экструзии [139, 140]. Основными требованиями к реологии геополимерного материала для 3D-печати являются вязкостные характеристики пасты, время схватывания геополимера и возможность наращивания и сохранения формы конструкции [141–143]. Отдельную проблему для геополимерной 3D-печати представляет сложность использования стального армирования напечатанной конструкции, поэтому активно изучается армирование геополимеров различными волокнами [144, 145].
Порошковая 3D-печать из геополимеров изучена в меньшей степени, однако некоторыми исследователями сообщается об успешном применении данной технологии [20, 91]. Так, авторы [91] исследовали возможность использования геополимеров для порошковой 3D-печати и показали, что разработанный материал отвечает требованиям коммерчески доступных 3D-принтеров. Все напечатанные образцы демонстрировали хорошую воспроизводимость размеров и механических свойств. В исследовании также был предложен новый метод постобработки — погружение в раствор Na2SiO3, повышающий прочность изделия на сжатие.
Геополимерный бетон, содержащий в качестве наполнителей различные материалы (песок, металлургические шлаки и шламы, синтетические и природные волокна, измельченную резину и др.), является прочным и экологичным материалом для аддитивного производства. На данный момент физико-химические закономерности взаимодействия полисиалатной матрицы геополимерного вяжущего и различных частиц-наполнителей недостаточно изучены, что значительно усложняет прогнозирование механических свойств и долговечности геополимерного материала [136].
Исследования геополимеров в России
В последнее десятилетие стало появляться все больше отечественных работ, посвященных данной проблематике. В работе Н. И. Кожуховой [146] проведен анализ имеющегося опыта получения и применения пористых геополимерных материалов. Группой исследователей под руководством Г. М. Лазоренко [147] достаточно подробно проанализированы возможности и экологические преимущества производства и использования геополимеров на основе промышленных отходов рудных месторождений. Этой же научной группой рассмотрены аспекты проектирования, изготовления, физико-химических свойств и применения геополимерных материалов в аддитивных технологиях [148], что на сегодняшний день представляется особенно актуальным. Отечественными исследователями Н. А. Ерошкиной и М. О. Коровкиным написана монография [149], в которой рассматриваются свойства строительных геополимерных вяжущих материалов и дается оценка их преимуществ и возможности внедрения в строительство. Существуют исследования, посвященные получению геополимерных материалов с заданными механическими характеристиками. Так, в работе группы исследователей Кольского научного центра РАН [101] изучается возможность синтеза геополимерных материалов из механоактивированной золы уноса с добавлением карбонатных минералов. В данной работе показано, что введение в состав геополимера CaO и MgO позволяет значительно увеличить прочность на сжатие. В работе E. A. Яценко [150] изучена возможность переработки отходов сжигания угля во вспененные геополимеры, а также рассмотрены пути повышения их прочностных свойств за счет введения модифицирующих добавок — CaO, MgO, ZnO, TiO2, Al2O3, SiC, ZrO2. Введение в систему MgO способствует получению геополимерных материалов с меньшей плотностью, а Al2O3 в свою очередь значительно повышает прочность на сжатие. Коллективом авторов во главе с Н. И. Кожуховой [151] получен геополимерный материал на основе перлита, активированного растворами Na2CO3, Na2SiO3, KOH и NaOH. Прочность на сжатие полученного геополимера оказалась наибольшей в случае применения NaOH. Также исследователями из данной научной группы описана методика получения вспененных геополимеров [152] и установлена эмпирическая зависимость прочности на сжатие геополимера на основе перлита от степени полимеризации стеклообразной фазы в нем [153].
Отечественными исследователями под руководством Г. М. Лазоренко достаточно подробно изучены механические свойства и процесс получения геополимерных материалов на основе золы уноса и метакаолинита, армированных льняными [154, 155] и целлюлозными волокнами [156]. В работе [154] сообщается, что при введении льняных волокон в геополимер прочность на изгиб увеличивается, однако при этом снижается прочность на сжатие. Этой же группой исследователей показано положительное влияние предварительной ультразвуковой обработки льняных волокон на механические свойства и микроструктуру геополимера [155]. В работе [156] установлено, что добавление в геополимер на основе метакаолинита нановолокон целлюлозы увеличивает прочность на разрыв, при этом существенно возрастает вязкость геополимерной пасты, что требует применения пластификаторов или оптимизации соотношения ж:т. Также показана потенциальная перспективность использования геополимеров, армированных целлюлозным волокном, для стабилизации набухающих тяжелых (жирных) глинистых грунтов с целью улучшения их физико-механических свойств, что может позволить избежать замены непригодных местных грунтов привозными и уменьшить ресурсоемкость строительства [157]. Этими же авторами рассматривается возможность утилизации резины путем создания композиционного геополимерного материала [158]. В исследовании представлен подход к увеличению долговечности и улучшению механических характеристик данного материала.
Отечественные исследования в основном посвящены изучению процесса геополимеризации отдельных типов материалов-прекурсоров, в то время как общие физико-химические закономерности синтеза геополимеров из различных исходных материалов остаются невыявленными, что существенно замедляет внедрение этих перспективных материалов. В связи с этим изучение геополимерных систем и расширение опыта применения данных материалов представляется актуальным и необходимым для достижения отечественной промышленностью высоких экологических стандартов. Потенциал развития данных исследований значителен, если учитывать наличие в России собственных месторождений алюмосиликатного сырья — каолина (первичные каолины добываются на 7 месторождениях, вторичные — на 12), бентонитовых глин (22 месторождения), цеолитов (4 разрабатываемых месторождения), диатомита, а также имеющиеся значительные количества отходов техногенной природы в виде шламов, золы уноса и т. д. [159–162].
Заключение
Разработка геополимерных вяжущих — активно развивающееся направление ресурсо- и энергосберегающих технологий получения функциональных материалов. К наиболее перспективным областям использования таких материалов можно отнести получение строительных материалов и создание конструкций сложной геометрии с использованием аддитивных технологий, получение катализаторов, адсорбентов, покрытий, материалов медицинского назначения и материалов для иммобилизации радиоактивных отходов. Немаловажное значение для развития данного направления имеет возможность использования отечественного дешевого природного и техногенного алюмосиликатного сырья.
Несмотря на довольно большое количество работ по получению геополимеров, на сегодняшний день отсутствует детальное понимание принципов формирования геополимеров и особенностей их структуры. В целом разработка геополимеров является относительно новой областью материаловедения, поэтому объем данных о связи между составом, структурой и свойствами этих материалов еще недостаточен для направленной разработки функциональных материалов с заданными свойствами. В существующих исследованиях по получению геополимеров многие данные являются разрозненными и неоднозначными, а задача получения материалов с высокими прочностными и другими характеристиками остается все еще нерешенной. В литературе практически не представлены работы по изучению влияния морфологии частиц, фазового и химического состава исходных алюмосиликатных прекурсоров на характеристики геополимеров. Отсутствие единых подходов к технологии их получения ограничивает развитие рынка данных материалов. В связи с этим важное значение имеет проведение комплексных фундаментальных исследований, направленных на установление физико-химических закономерностей, определяющих основные эксплуатационные характеристики и технологические параметры получения геополимерных материалов.
Финансирование работы
Работа выполнена по теме государственного задания № 1023033000085-7-1.4.3.
Конфликт интересов
Авторы заявляют об отсутствии конфликта интересов, требующего раскрытия в данной статье.
1 Перепечатано на основании лицензии Creative Commons Attribution (CC BY), Copyright: © 2022.
2 Перепечатано на основании лицензии Creative Commons Attribution (CC BY), Copyright: © 2022.
About the authors
Юлия Александровна Аликина
Институт химии силикатов им. И. В. Гребенщикова
Author for correspondence.
Email: morozowa_u_a@mail.ru
ORCID iD: 0000-0003-1133-2951
к.х.н.
Russian Federation, 199034, г. Санкт-Петербург, наб. Макарова, д. 2Андрей Александрович Алексеев
Институт химии силикатов им. И. В. Гребенщикова
Email: morozowa_u_a@mail.ru
ORCID iD: 0000-0003-1582-3248
Russian Federation, 199034, г. Санкт-Петербург, наб. Макарова, д. 2
Ольга Юрьевна Голубева
Институт химии силикатов им. И. В. Гребенщикова
Email: morozowa_u_a@mail.ru
ORCID iD: 0000-0002-4042-0718
д.х.н.
Russian Federation, 199034, г. Санкт-Петербург, наб. Макарова, д. 2References
- Davidovits J. Geopolymers: Ceramic-like inorganic polymers // J. Ceram. Sci. Technol. 2017. V. 8. N 3. P. 335–350. http://dx.doi.org/10.4416/JCST2017-00038
- Zandifaez P., Nezhad A. A., Zhou H., Dias-da-Costa D. A systematic review on energy-efficient concrete: Indicators, performance metrics, strategies, and future trends // Renew. Sust. Energy Rev. 2024. V. 194. ID 114306. https://doi.org/10.1016/j.rser.2024.114306
- Tamta S., Chaudhury R., Sharma U., Thapliyal P. C., Singh L. P. Low-CO2 emission strategies to achieve net zero target in cement sector // J. Clean. Prod. 2023. ID 137466. http://dx.doi.org/10.1016/j.jclepro.2023.137466
- Farooq F., Jin X., Faisal Javed M., Akbar A., Izhar Shah M., Aslam F., Alyousef R. Geopolymer concrete as sustainable material: A state of the art review // Constr. Build. Mater. 2021. V. 306. ID 124762. http://dx.doi.org/10.1016/j.conbuildmat.2021.124762
- Nehdi M. L., Marani A., Zhang L. Is net-zero feasible: Systematic review of cement and concrete decarbonization technologies // Renew. Sust. Energy Rev. 2024. V. 191. ID 114169. http://dx.doi.org/10.1016/j.rser.2023.114169
- Oh D. Y., Noguchi T., Kitagaki R., Park W. J. CO2 emission reduction by reuse of building material waste in the Japanese cement industry // Renew. Sust. Energy Rev. 2014. V. 38. P. 796–810. http://dx.doi.org/10.1016/j.rser.2014.07.036
- Chen C., Habert G., Bouzidi Y., Jullien A. Environmental impact of cement production: Detail of the different processes and cement plant variability evaluation // J. Clean. Prod. 2010. V. 18. P. 478–485. http://dx.doi.org/10.1016/j.jclepro.2009.12.014
- Carreño-Gallardo C., Tejeda-Ochoa A., Perez-Ordonez O. I., Ledezma-Sillas J. E., Lardizabal-Gutierrez D., Prieto-Gomez C., Valenzuela-Grado J. A., Hernandez F. R., Herrera-Ramirez J. M. In the CO2 emission remediation by means of alternative geopolymers as substitutes for cements // J. Environ. Chem. Eng. 2018. V. 6. P. 4878–4884. http://dx.doi.org/10.1016/j.jece.2018.07.033
- Jwaida Z., Dulaimi A., Mashaan N., Othuman Mydin M. A. Geopolymers: The green alternative to traditional materials for engineering applications // Infrastructures. 2023. V. 8. N 6. ID 98. http://dx.doi.org/10.3390/infrastructures8060098
- Alam O., Qiao X. An in-depth review on municipal solid waste management, treatment and disposal in Bangladesh // Sustain. Cities Soc. 2020. V. 52. ID 101775. http://dx.doi.org/10.1016/j.scs.2019.101775
- Dahanni H., Ventura A., Le Guen L., Dauvergne M., Orcesi A., Cremona C. Life cycle assessment of cement: Are existing data and models relevant to assess the cement industryʹs climate change mitigation strategies? A literature review // Constr. Build. Mater. 2024. V. 411. ID 134415. http://dx.doi.org/10.1016/j.conbuildmat.2023.134415
- Ochoa W. A. A., Málaga M. A. S., Tapia A. B., Calabokis O. P., Nuñez de la Rosa Y. E., Viscarra Chirinos G. E., Pinto Lavayén S. N. Evaluation of compressive and bending strength of a geopolymer based on lateritic clays as an alternative hydraulic binder // Materials. 2024. V. 17. N 2. ID 307. https://doi.org/10.3390/ma17020307
- Mugahed Amran Y. H., Alyousef R., Alabduljabbar H., El-Zeadani M. Clean production and properties of geopolymer concrete: A review // J. Clean. Prod. 2019. V. 251. ID 119679. https://doi.org/10.1016/j.jclepro.2019.119679
- Esparham A., Ghalatian F. The features of geopolymer concrete as a novel approach for utilization in green urban structures // J. Compos. Compd. 2022. V. 4. P. 89–96. http://dx.doi.org/10.52547/jcc.4.2.4
- Lopes A., Lopes S., Pinto I. Influence of curing temperature on the strength of a metakaolin-based geopolymer // Materials. 2023. V. 16. N 23. ID 7460. http://dx.doi.org/10.3390/ma16237460
- Davidovits J. Geopolymer cement review 2013 // Geopolymer Institute: сайт. 2013. https://www.geopolymer.org/library/technical-papers/21-geopolymer-cement-review-2013/
- Mostazid M. I. Acid resistance of geopolymer concrete — literature review, knowledge gaps, and future development // J. Brilliant Eng. 2023. V. 4. ID 4875. http://dx.doi.org/10.36937/ben.2023.4875
- Albitar M., Mohamed A., Visintin P., Drechsler M. Durability evaluation of geopolymer and conventional concretes // Constr. Build. Mater. 2017. V. 136 P. 374–385. http://dx.doi.org/10.1016/j.conbuildmat.2017.01.056
- Farooq F., Jin X., Faisal Javed M., Akbar A., Izhar Shah M., Aslam F. Alyousef R. Geopolymer concrete as sustainable material: A state of the art review // Constr. Build. Mater. 2021. V. 306. ID 124762. http://dx.doi.org/10.1016/j.conbuildmat.2021.124762
- Voney V., Odaglia P., Brumaud C., Dillenburger B., Habert G. From casting to 3D printing geopolymers: A proof of concept // Cem. Concr. Res. 2021. V. 143. ID 106374. http://dx.doi.org/10.1016/j.cemconres.2021.106374
- Huang G., Ji Y., Li J., Hou Z., Jin C. Use of slaked lime and Portland cement to improve the resistance of MSWI bottom ash-GBFS geopolymer concrete against carbonation // Constr. Build. Mater. 2018. V. 166. P. 290–300. http://dx.doi.org/10.1016/j.conbuildmat.2018.01.089
- Kurtoglu A. E., Alzeebaree R., Aljumaili O., Nis A., Gulsan M. E., Humur G., Cevik A. Mechanical and durability properties of fly ash and slag based geopolymer concrete // Adv. Concr. Constr. 2018. V. 6. ID 345. http://dx.doi.org/10.12989/acc.2018.6.4.345
- Mehta A., Siddique R. Sustainable geopolymer concrete using ground granulated blast furnace slag and rice husk ash: Strength and permeability properties // J. Clean. Prod. 2018. V. 205. P. 49–57. http://dx.doi.org/10.1016/j.jclepro.2018.08.313
- Venkatesan R. P., Pazhani K. C. Strength and durability properties of geopolymer concrete made with ground granulated blast furnace slag and black rice husk ash // KSCE J. Civ. Eng. 2016. V. 20. P. 2384–2391. http://dx.doi.org/10.1007/s12205-015-0564-0
- Adak D., Sarkar M., Mandal S. Structural performance of nano-silica modified fly-ash based geopolymer concrete // Constr. Build. Mater. 2017. V. 135. P. 430–439. http://dx.doi.org/10.1016/j.conbuildmat.2016.12.111
- Jiang X., Xiao R., Zhang M., Hu W., Bai Y., Huang B. A laboratory investigation of steel to fly ash-based geopolymer paste bonding behavior after exposure to elevated temperatures // Constr. Build. Mater. 2020. V. 254. ID 119267. http://dx.doi.org/10.1016/j.conbuildmat.2020.119267
- Mehta A., Siddique R. Sulfuric acid resistance of fly ash based geopolymer concrete // Constr. Build. Mater. 2017. V. 146. P. 136–143. http://dx.doi.org/10.1016/j.conbuildmat.2017.04.077
- Nuaklong P., Sata V., Chindaprasirt P. Properties of metakaolin-high calcium fly ash geopolymer concrete containing recycled aggregate from crushed concrete specimens // Constr. Build. Mater. 2018. V. 161. P. 365–373. http://dx.doi.org/10.1016/j.conbuildmat.2017.11.152
- Mucsi G., Szabó R., Ambrus M., Kovács B. The development of fly ash-red mud based geopolymer // Anal. Tech. Szeged. 2018. V. 12. N 1. P. 30–38. http://dx.doi.org/10.14232/analecta.2018.1.30-38
- Saba M., Perez G., Coma J., Polls M. Geopolymer as an innovative material for green roofs — a state-of-the-art Review // E3S Web Conf. 2023. V. 436. ID 08017. http://dx.doi.org/10.1051/e3sconf/202343608017
- Palomo A., Krivenko P., Garcia-Lodeiro I., Kavalerova E., Maltseva O., Fernández-Jiménez A. A review on alkaline activation: New analytical perspectives // Mater. De Construcción. 2014. V. 64. ID e022. https://dx.doi.org/10.3989/mc.2014.00314
- Aldred J., Day J. Is geopolymer concrete a suitable alternative to traditional concrete? // Proceedings of the 37th conf. on our world in concrete & structures. Singapore, 29–31 august 2012. P. 1–14.
- Almutairi A. L., Tayeh B. A., Adesina A., Isleem H. F., Zeyad A. M. Potential applications of geopolymer concrete in construction: A review // Case Stud. Constr. Mater. 2021. V. 15. ID e00733. http://dx.doi.org/10.1016/j.cscm.2021.e00733
- Sbahieh S., McKay G., Al-Ghamdi S. G. Comprehensive analysis of geopolymer materials: Properties, environmental impacts, and applications // Materials. 2023. V. 16. ID 7363. http://dx.doi.org/10.3390/ma16237363
- Imtiaz L., Rehman S. K. U., Ali Memon S., Khizar Khan M., Faisal Javed M. A review of recent developments and advances in eco-friendly geopolymer concrete // Appl. Sci. 2020. V. 10. ID 7838. http://dx.doi.org/10.3390/app10217838
- Davidovits J. Geopolymers and geopolymeric materials // J. Therm. Anal. 1989. V. 35. P. 429–441. http://dx.doi.org/10.1007/bf01904446
- Provis J. L., Bernal S. A. Geopolymers and related alkali-activated materials // Annu. Rev. Mater. Res. 2014. V. 44. P. 299–327. http://dx.doi.org/10.1146/annurev-matsci-070813-113515
- De Oliveira L. B., de Azevedo A. R. G., Marvila M. T., Pereira E. C., Fediuk R., Vieira C. M. F. Durability of geopolymers with industrial waste // Case Stud. Constr. Mater. 2022. V. 16. ID e00839. http://dx.doi.org/10.1016/j.cscm.2021.e00839
- Duxson P., Fernández-Jiménez A., Provis J. L., Lukey G. C., Palomo A., Van Deventer J. S. J. Geopolymer technology: The current state of the art // J. Mater. Sci. 2007. V. 42. P. 2917–2933. http://dx.doi.org/10.1007/s10853-006-0637-z
- Singh N. B., Middendorf B. Geopolymers as an alternative to Portland cement: An overview // Constr. Build. Mater. 2020. V. 237. ID 117455. http://dx.doi.org/10.1016/j.conbuildmat.2019.117455
- Garcia-Lodeiro I., Palomo A., Fernández-Jiménez A. An overview of the chemistry of alkali-activated cement-based binders: Handbook of alkali-activated cements, Mortars and Concretes / Eds F. Pacheco-Torgal, J. A. Labrincha, C. Leonelli, A. Palomo, P. Chindaprasirt. Cambridge, UK: Elsevier, 2015. P. 19–47. http://dx.doi.org/10.1533/9781782422884.1.19
- Wu Y., Lu B., Yi Z., Du F., Zhang Y. The properties and latest application of geopolymers // IOP Conf. Ser.: Mater. Sci. Eng. 2019. V. 472. ID 012029. http://dx.doi.org/10.1088/1757-899X/472/1/012029
- Davidovits J. Geopolymer chemistry and sustainable development. The polysialate terminology: A very useful and simple model // The international workshop on geopolymer cements and concrete for the promotion and understanding of green-chemistry. Australia, 2005. P. 9–15.
- Castillo H., Collado H., Droguett T., Sánchez S., Vesely M., Garrido P., Palma S. Factors affecting the compressive strength of geopolymers: A review // Minerals. 2021. V. 11. ID 1317. https://doi.org/10.3390/min11121317
- Negahban E., Bagheri A., Sanjayan J. Investigation of abrasion resistance of geopolymer concrete cured in ambient temperature for pavement applications // Road Materials and Pavement Design. 2023. V. 24. N 11. P. 2641–2662. http://dx.doi.org/10.1080/14680629.2022.2161934
- Petermann J. C., Saeed A., Hammons M. I. Alkali-activated geopolymers: A literature review // Eng. Mater. Sci. 2010. ID. 99. https://doi.org/10.21236/ada559113
- Rangan B. V. Engineering properties of geopolymer concrete (Geopolymers). Sawston, UK: Woodhead Publ., 2009. P. 211–226. http://dx.doi.org/10.1533/9781845696382.2.211
- Cheah C. B., Samsudin M. H., Ramli M., Part W. K., Tan L. E. The use of high calcium wood ash in the preparation of ground granulated blast furnace slag and pulverized fly ash geopolymers: A complete microstructural and mechanical characterization // J. Clean. Prod. 2017. V. 156. P. 114–123. http://dx.doi.org/10.1016/j.jclepro.2017.04.026
- Глуховский В. Д. Грунтосиликаты. Киев: Госстройиздат УССР, 1959. C. 127.
- Shi C., Jiménez A. F., Palomo A. New cements for the 21st century: The pursuit of an alternative to Portland cement // Cem. Concr. Res. 2011. V. 41. P. 750–763. http://dx.doi.org/10.1016/j.cemconres.2011.03.016
- Fernández-Jiménez A., Vallepu R., Terai T., Palomo A., Ikeda K. Synthesis and thermal behavior of different aluminosilicate gels // J. Non-Cryst. Solids. V. 2006. N 352. P. 2061–2066. http://dx.doi.org/10.1016/j.jnoncrysol.2006.03.037
- Duxson P., Provis J. L., Lukey G. C., Van Deventer J. S. The role of inorganic polymer technology in the development of «green concrete» // Cem. Concr. Res. 2007. V. 37. P. 1590–1597. http://dx.doi.org/10.1016/j.cemconres.2007.08.018
- Duxson P., Provis J. L., Lukey G. C., Mallicoat S. W., Kriven W. M., Van Deventer J. S. Understanding the relationship between geopolymer composition, microstructure and mechanical properties // Colloids Surf. Physicochem. Eng. Asp. 2005. V. 269. N 1–3. P. 47–58. http://dx.doi.org/10.1016/j.colsurfa.2005.06.060
- Van Deventer J. S. J., Provis J. L., Duxson P., Lukey G. C. Reaction mechanisms in the geopolymeric conversion of inorganic waste to useful products // J. Hazard. Mater. 2007. V. 139. P. 506–513. http://dx.doi.org/10.1016/j.jhazmat.2006.02.044
- Poulesquen A., Frizon F., Lambertin D. Rheological behavior of alkali-activated metakaolin during geopolymerization // J. Non-Cryst. Solids. 2011. V. 357. N 21. P. 3565–3571. https://doi.org/10.1016%2Fj.jnoncrysol.2011.07.013
- Steins P., Poulesquen A., Diat O., Frizon F. Structural evolution during geopolymerization from an early age to consolidated material // Langmuir. 2012. V. 28. N 22. P. 8502–8510. https://doi.org/10.1021/la300868v
- Yatsenko E. A., Goltsman B. M., Novikov Y. V., Trofimov S. V., Ryabova A. V., Smoliy V. A., Klimova L. V. Recycling of coal combustion waste through production of foamed geopolymers with improved strength // Sustainability. 2023. V. 15. ID 16296. http://dx.doi.org/10.3390/su152316296
- Zhang B., Yu T., Guo H., Chen J., Liu Y., Yuan P. Effect of the SiO2/Al2O3 molar ratio on the microstructure and properties of clay-based geopolymers: A comparative study of kaolinite-based and halloysite-based geopolymers // Clays Clay Miner. 2022. V. 70. P. 882–902. http://dx.doi.org/10.1007/s42860-023-00223-x
- Герасимов А. М., Устинов И. Д., Зырянова О. В. Использование глиносодержащих отходов в качестве пуццолановых добавок // Зап. Горн. ин-та. 2023. Т. 260. С. 313–320. http://dx.doi.org/10.31897/PMI.2023.33 [Gerasimov A. M., Ustinov I. D., Zyryanova O. V. Use of clay-containing waste as pozzolanic additives // J. Mining Inst. 2023. N 260. P. 313–320. http://dx.doi.org/10.31897/PMI.2023.33].
- Khizar M. S., Reddy M., Kavuri N. C., Khed V. C. Possibilities of bentonite based geopolymer concrete: A review // AIP Conf. Proceedings. 2023. V. 2759. N 1. http://dx.doi.org/10.1063/5.0144106
- Khawaji M. Hydration, microstructure, and properties of fly ash-based geopolymer: A review // Mater. Sci. Poland. 2023. V. 41. N 2. P. 263–287. http://dx.doi.org/10.2478/msp-2023-0006
- Driouich A., El Hassani S. A., Sor N. H., Zmirli Z., Mydin M. A. O., Aziz A., Chaair H. Mix design optimization of metakaolin-slag-based geopolymer concrete synthesis using RSM // Results Eng. 2023. V. 20. ID 101573. http://dx.doi.org/10.1016/j.rineng.2023.101573
- Freire C. B., dos Santos B. L. D., de Miranda I. L. F., Rodrigues M. A., Lameiras F. S. Influence of the kaolinite calcination conditions on the compressive strength of geopolymer // KnE Eng. 2020. P. 1–10. http://dx.doi.org/10.18502/keg.v5i4.6790
- Kütük N. Çetinkaya S. Alkaline activation synthesis by graphite/calcite mortar and the effect of experimental conditions on compressive strength // J. Australas. Ceram. Soc. 2023. V. 59. N 5. P. 1349–1359. http://dx.doi.org/10.1007/s41779-023-00915-6
- Slaný M., Kuzielová E., Žemlička M., Matejdes M., Struhárová A., Palou M. T. Metabentonite and metakaolin-based geopolymers/zeolites: Relation between kind of clay, calcination temperature and concentration of alkaline activator // J. Therm. Anal. Calorim. 2023. V. 148. P. 1–17. http://dx.doi.org/10.1007/s10973-023-12267-1
- Jaimes J. E., Montaño A. M., González C. P. Geopolymer derived from bentonite: Structural characterization and evaluation as a potential sorbent of ammonium in waters // J. Phys.: Conf. Ser. 2020. V. 1587. N 1. ID 012008. http://dx.doi.org/10.1088/1742-6596/1587/1/012008
- Baykara H., Mendoza Solorzano M. D. L., Delgado Echeverria J. J., Cornejo M. H., Tapia-Bastidas C. V. The use of zeolite-based geopolymers as adsorbent for copper removal from aqueous media // R. Soc. Open Sci. 2022. V. 9. N 3. ID 211644. http://dx.doi.org/10.1098/rsos.211644
- Nikolov A., Rostovsky I., Nugteren H. Geopolymer materials based on natural zeolite // Case Stud. Constr. Mater. 2017. V. 6. P. 198–205. http://dx.doi.org/10.1016/j.cscm.2017.03.001
- Чекмарев А. С., Сео Д. К., Скорина Т. В., Чекмарева Г. Д. Получение геополимерных материалов с применением природных компонентов // Вестн. Казан. технол. ун-та. 2012. Т. 15. № 20. С. 50–55. https://www.elibrary.ru/pjexrb
- Lahoti M., Narang P., Tan K. H., Yang E.-H. Mix design factors and strength prediction of metakaolin-based geopolymer // Ceram. Int. 2017. V. 43. P. 11433–11441. http://dx.doi.org/10.1016/j.ceramint.2017.06.006
- Chen X., Mondal P. Effects of NaOH amount on condensation mechanism to form aluminosilicate, case study of geopolymer gel synthesized via sol-gel method // J. Sol-Gel Sci. Technol. 2020. V. 96. P. 589–603. http://dx.doi.org/10.1007/s10971-020-05360-6
- Duxson P., Lukey G. C., Separovic F., van Deventer J. S. J. Effect of alkali cations on aluminum incorporation in geopolymeric gels // Ind. Eng. Chem. Res. 2005. V. 44. P. 832–839. http://dx.doi.org/10.1021/ie0494216
- Lahoti M., Yang E.-H., Tan K. H. Influence of mix design parameters on geopolymer mechanical properties and microstructure // Advances in bioceramics and porous ceramics II. Wiley: Hoboken, NJ, USA, 2017. V. 37. P. 21–33. http://dx.doi.org/10.1002/9781119321811.ch3
- Gado R. A., Hebda M., Łach M., Mikuła J. Alkali activation of waste clay bricks: Influence of the silica modulus, SiO2/Na2O, H2O/Na2O molar ratio, and liquid/solid ratio // Materials. 2020. V. 13. ID 383. http://dx.doi.org/10.3390/ma13020383
- Duxson P., Provis J., Lukey G. C., Mallicoat S. W., Kriven W. M., Van Deventer J. S. Understanding the relationship between geopolymer composition, microstructure and mechanical properties // Colloids Surf. A: Physicochem. Eng. Asp. 2005. V. 269. P. 47–58. http://dx.doi.org/10.1016/j.colsurfa.2005.06.060
- Wan Q., Rao F., Song S., García R. E., Estrella R. M., Patiño C. A. L., Zhang Y. Geopolymerization reaction, microstructure and simulation of metakaolin-based geopolymers at extended Si/Al ratios // Cem. Concr. Compos. 2017. V. 79. P. 45–52. http://dx.doi.org/10.1016/j.cemconcomp.2017.01.014
- Perera D. S., Uchida O., Vance E. R., Finnie K. S. Influence of curing schedule on the integrity of geopolymers // J. Mater. Sci. 2007. V. 42. P. 3099–3106. http://dx.doi.org/10.1007/s10853-006-0533-6
- Steveson M., Sagoe-Crentsil K. Relationships between composition, structure and strength of inorganic polymers // J. Mater. Sci. 2005. V. 40. P. 2023–2036. http://dx.doi.org/10.1007/s10853-005-1226-2
- Zribi M., Samet B., Baklouti S. Effect of curing temperature on the synthesis, structure and mechanical properties of phosphatebased geopolymers // J. Non Cryst. Solids. 2019. V. 511. ID 62. http://dx.doi.org/10.1016/j.jnoncrysol.2019.01.032
- Heah C., Kamarudin H., Al Bakri A. M., Binhussain M., Luqman M., Nizar I. K., Ruzaidi C., Liew Y. M. Effect of curing profile on kaolin-based geopolymers // Phys. Procedia. 2011. V. 22. P. 305–311. http://dx.doi.org/10.1016/j.phpro.2011.11.048
- Cheng H., Lin K.-L., Cui R., Hwang C.-L., Chang Y.-M., Cheng T.-W. The effects of SiO2/Na2O molar ratio on the characteristics of alkali-activated waste catalyst–metakaolin based geopolymers // Constr. Build. Mater. 2015. V. 95. P. 710–720. http://dx.doi.org/10.1016/j.conbuildmat.2015.07.028
- Singh G. B., Subramaniam K. V. Evaluation of sodium content and sodium hydroxide molarity on compressive strength of alkali activated low-calcium fly ash // Cem. Concr. Compos. 2017. V. 81. P. 122–132. http://dx.doi.org/10.1016/j.cemconcomp.2017.05.001
- Tian X., Xu W., Song S., Rao F., Xia L. Effects of curing temperature on the compressive strength and microstructure of copper tailing-based geopolymers // Chemosphere. 2020. V. 253. ID 126754. http://dx.doi.org/10.1016/j.chemosphere.2020.126754
- Muñiz-Villarreal M. S., Manzano-Ramírez A., Sampieri-Bulbarela S., Gasca-Tirado J. R., Reyes-Araiza J. L., Rubio-Ávalos J. C., Pérez-Bueno J. J., Apatiga L. M., Zaldivar-Cadena A., Amigó V. The effect of temperature on the geopolymerization process of a metakaolin-based geopolymer // Mater. Lett. 2011. V. 65. P. 995–998. https://doi.org/10.1016%2Fj.matlet.2010.12.049
- Ghafoor M. T., Khan Q. S., Qazi A. U., Sheikh M. N., Hadi M. Influence of alkaline activators on the mechanical properties of fly ash based geopolymer concrete cured at ambient temperature // Constr. Build. Mater. 2021. V. 273. ID 121752. http://dx.doi.org/10.1016/j.conbuildmat.2020.121752
- Al-Zboon K., Al-Harahsheh M., Hani F. B. Fly ash-based geopolymer for Pb removal from aqueous solution // J. Hazard. Mater. 2011. V. 188. P. 414–421. http://dx.doi.org/10.1016/j.jhazmat.2011.01.133
- Gharzouni A., Joussein E., Samet B., Baklouti S., Rossignol S. Effect of the reactivity of alkaline solution and metakaolin on geopolymer formation // J. Non Cryst. Solids. 2015. V. 410. P. 127–134. http://dx.doi.org/10.1016/j.jnoncrysol.2014.12.021
- Nematollahi B., Sanjayan J. Effect of different superplasticizers and activator combinations on workability and strength of fly ash based geopolymer // Mater. Des. 2014. V. 57. P. 667–672. http://dx.doi.org/10.1016/j.matdes.2014.01.064
- Duxson P., Mallicoat S., Lukey G., Kriven W., van Deventer J. The effect of alkali and Si/Al ratio on the development of mechanical properties of metakaolin-based geopolymers // Colloids Surf. A: Physicochem. Eng. Asp. 2007. V. 292. P. 8–20. http://dx.doi.org/10.1016/j.colsurfa.2006.05.044
- Liew Y.-M., Heah C.-Y., Mustafa A. B. M., Kamarudin H. Structure and properties of clay-based geopolymer cements: A review // Prog. Mater. Sci. 2016. V. 83. P. 595–629. http://dx.doi.org/10.1016/j.pmatsci.2016.08.002
- Xia M., Sanjayan J. Method of formulating geopolymer for 3D printing for construction applications // Mater. Des. 2016. V. 110. P. 382–390. http://dx.doi.org/10.1016/j.matdes.2016.07.136
- Ma S., Zhang Z., Liu X. Comprehensive understanding of aluminosilicate phosphate geopolymers: A critical review // Materials. 2022. V. 15. ID 5961. http://dx.doi.org/10.3390/ma15175961
- Perera D. S., Hanna J. V., Davis J., Blackford M. G., Latella B. A., Sasaki Y., Vance E. R. Relative strengths of phosphoric acid-reacted and alkali-reacted metakaolin materials // J. Mater. Sci. 2008. V. 43. P. 6562–6566. http://dx.doi.org/10.1007/s10853-008-2913-6
- Tchakouté H. K., Rüscher C. H. Mechanical and microstructural properties of metakaolin-based geopolymer cements from sodium waterglass and phosphoric acid solution as hardeners: A comparative study // Appl. Clay Sci. 2017. V. 140. P. 81–87. http://dx.doi.org/10.3390/ma15082957
- Lin H., Liu H., Li Y., Kong X. Properties and reaction mechanism of phosphoric acid activated metakaolin geopolymer at varied curing temperatures // Cem. Concr. Res. 2021. V. 144. ID 106425. https://doi.org/10.1016/j.cemconres.2021.106425
- Zribi M., Baklouti S. Phosphate-based geopolymers: A critical review // Polym. Bull. 2022. V. 79. N 9. P. 6827–6855. https://doi.org/10.1007/s00289-021-03829-0
- Cheremisina O. V., Gorbacheva A. A., Balandinsky D. A., Luo Yinzhou, Ponomareva M. A. Synergistic effect of a mixture of ethoxyphosphoric esters and sodium oleate in aqueous solutions // Colloids Surf. A: Physicochem. Eng. Asp. 2024. V. 685. ID 133314. http://dx.doi.org/10.1016/j.colsurfa.2024.133314
- Ranjbar N., Kuenzel C., Gundlach C., Kempen P., Mehrali M. Halloysite reinforced 3D-printable geopolymers // Cement and Concrete Composites. 2023. V. 136. ID 104894. http://dx.doi.org/10.1016/j.cemconcomp.2022.104894
- Kozub B., Pławecka K., Figiela B., Korniejenko K. Geopolymer fly ash composites modified with cotton fibre // Arch. Mater. Sci. Eng. 2023. V. 121. N 2. P. 60–70. https://doi.org/10.5604/01.3001.0053.8487
- Wong L. S. Durability performance of geopolymer concrete: A review // Polymers. 2022. V. 14. ID 868. https://doi.org/10.3390/polym14050868
- Калинкин А. М., Калинкина Е. В., Кругляк Е. А., Иванова А. Г. Применение механоактивации для получения геополимерных материалов на основе золоотходов сжигания угля с добавками карбонатных минералов // Тр. Кольского науч. центра РАН. Сер.: Технические науки. 2023. Т. 14. № 4. С. 168–174. http://dx.doi.org/10.31241/FNS.2020.17.045
- Azunna S. U., Aziz F. N., Al-Ghazali N. A., Rashid R. S., Bakar N. A. Review on the mechanical properties of rubberized geopolymer concrete // Clean. Mater. 2024. ID 100225. http://dx.doi.org/10.1016/j.clema.2024.100225
- Medri V., Fabbri S., Dedecek J., Sobalik Z., Tvaruzkova Z., Vaccari A. Role of the morphology and the dehydroxylation of metakaolins on geopolymerization // Appl. Clay Sci. 2010. V. 50. N 4. P. 538–545. http://dx.doi.org/10.1016/j.clay.2010.10.010
- Osman A. Y., Irshidat M. R. Development of sustainable geopolymer composites for repair application: Workability and setting time evaluation // Mater. Today: Proc. 2023 (in press). http://dx.doi.org/10.1016/j.matpr.2023.03.683
- Wan Q., Rao F., Song S., León-Patiño C. A. Geothermal clay-based geopolymer binders: Synthesis and microstructural characterization // Appl. Clay Sci. 2017. V. 146. P. 223–229. http://dx.doi.org/10.1016/j.clay.2017.05.047
- Chairunnisa N., Haryanti N. H., Nurwidayati R., Pratiwi A. Y., Arnandha Y., Saputra Y., Hazizah N. Characteristics of fly ash as a constituent material for geopolymer // J. Phys. Conf. Ser. 2023. V. 2623. N 1. ID 012005. http://dx.doi.org/10.1088/1742-6596/2623/1/012005
- Ma J., Zhang H., Wan D., Wang H., Chen G. Rheological properties of cement paste containing ground fly ash based on particle morphology analysis // Crystals. 2022. V. 12. ID 524. https://doi.org/10.3390/cryst12040524
- Churchman G. J., Pasbakhsh P. Natural mineral nanotubes: Properties and applications. 1st. Ed. Florida: CRC Press, 2015. P. 498. https://doi.org/10.1201/b18107
- Joussein E., Petit S., Churchman J., Theng B., Righi D., Delvaux B. Halloysite clay minerals — a review // Clay Miner. 2005. V. 40. P. 383–426. https://doi.org/10.1180/0009855054040180
- Yuan P., Thill A., Bergaya F. Nanosized tubular clay minerals: Halloysite and imogolite. Amsterdam: Elsevier, 2016. P. 778.
- Ouattara S., Sorgho B., Sawadogo M., Sawadogo Y., Seynou M., Blanchart P., Gomina M., Zerbo, L. Development and characterization of geopolymers based on kaolinitic clay // Sci. J. Chem. 2021. V. 9. ID 160. http://dx.doi.org/10.11648/j.sjc.20210906.15
- Ghosh M., Karmakar D., Basu S., Jha S. N., Bhattacharyya D., Gadkari S. C., Gupta S. K. Effect of size and aspect ratio on structural parameters and evidence of shape transition in zinc oxide nanostructures // J. Phys. Chem. Solids. 2014. V. 75. P. 543–549. https://doi.org/10.1016/j.jpcs.2013.11.007
- Liu J., Doh J., Dinh H. L., Ong D. E. L., Zi G., You I. Efect of Si/Al molar ratio on the strength behavior of geopolymer derived from various industrial waste: A current state of the art review // Constr. Build. Mater. 2022. V. 329. ID 127134. https://doi.org/10.1016/j. conbuildmat.2022.127134
- Golubeva O. Yu., Alikina Yu. A., Kalashnikova T. A. Influence of hydrothermal synthesis conditions on the morphology and sorption properties of porous aluminosilicates with kaolinite and halloysite structures // Appl. Clay Sci. 2020. V. 199. ID 105879. http://dx.doi.org/10.1016/j.clay.2020.105879
- Golubeva O. Yu., Alikina Yu. A., Khamova T. V., Vladimirova E. V., Shamova O. V. Aluminosilicate nanosponges: Synthesis, properties, and application prospects // Inorg. Chem. 2021. V. 60. N 22. P. 17008–17018. https://doi.org/10.1021/acs.inorgchem.1c02122
- Golubeva O. Yu. Alikina Yu. A. Brazovskaya E. Yu. Vasilenko N. M. Adsorption properties and hemolytic activity of porous aluminosilicates in a simulated body fluid // ChemEng. 2022. V. 6. ID 78. https://doi.org/10.3390/chemengineering6050078
- Golubeva O. Y., Alikina Y. A., Brazovskaya E. Y. Particles morphology impact on cytotoxicity, hemolytic activity and sorption properties of porous aluminosilicates of kaolinite group // Nanomaterials. 2022. V. 12. ID 2559. https://doi.org/10.3390/nano12152559
- Wang K., Le H. The development of cement-based, intumescent and geopolymer fire-retardation coatings for metal structures: A review // Coatings. 2023. V. 13. ID 495. https://doi.org/10.3390/coatings13030495
- Łach M., Róg G., Ochman K., Pławecka K., Bąk A., Korniejenko K. Assessment of adhesion of geopolymer and varnished coatings by the pull-off method // Eng. 2022. V. 3. P. 42–59. http://dx.doi.org/10.3390/eng3010005
- Novotný J., Jaskevič M., Mamoń F., Mareš J., Horký R., Houška P. Manufacture and characterization of geopolymer coatings deposited from suspensions on aluminium substrates // Coatings. 2022. V. 12. ID 1695. https://doi.org/10.3390/coatings12111695
- Łach M., Bąk A., Pławecka K., Hebdowska-Krupa M. Possibility of using a geopolymer containing phase change materials as a sprayed insulating coating — Preliminary results // Emerg. Sci. Innovation. 2024. V. 2. P. 1–8. https://doi.org/10.46604/emsi.2023.11989
- Jamaludin L., Razak R. A., Abdullah M. M. A. B., Vizureanu P., Bras A., Imjai, T., Sandu A. V., Rahim S. Z. B. A., Yong H. C. The suitability of photocatalyst precursor materials in geopolymer coating applications: A review // Coatings. 2022. V. 12. ID 1348. http://dx.doi.org/10.3390/coatings12091348
- Jamaludin L., Razak R. A., Al Bakri Abdullah M. M., Vizureanu P., Sandu A. V., Abd Rahim S. Z., Ahmad R. Solid-to-liquid ratio influenced on adhesion strength of metakaolin geopolymer coating paste added photocatalyst materials // Coatings. 2023. V. 13. ID 236. http://dx.doi.org/10.3390/coatings13020236
- Ettahiri Y., Bouargane B., Fritah K., Akhsassi B., Pérez-Villarejo L., Aziz A., Bouna L., Benlhachemi A., Novais R. M. A state-of-the-art review of recent advances in porous geopolymer: Applications in adsorption of inorganic and organic contaminants in water // Constr. Build. Mater. 2023. V. 395. ID 132269. http://dx.doi.org/10.1016/j.conbuildmat.2023.132269
- Innocentini M. D., Botti R. F., Bassi P. M., Paschoalato C. F., Flumignan D. L., Franchin G., Colombo P. Lattice-shaped geopolymer catalyst for biodiesel synthesis fabricated by additive manufacturing // Ceram. Int. 2019. V. 45. P. 1443–1446. http://dx.doi.org/10.1016/j.ceramint.2018.09.239
- Sharma S., Medpelli D., Chen S., Seo D. K. Calcium-modified hierarchically porous aluminosilicate geopolymer as a highly efficient regenerable catalyst for biodiesel production // RSC Adv. 2015. V. 5. P. 65454–65461. http://dx.doi.org/10.1039/C5RA01823D
- Falah M., MacKenzie K. J. D. Synthesis and properties of novel photoactive composites of P25 titanium dioxide and copper (I) oxide with inorganic polymers // Ceram. Int. 2015. V. 41. P. 13702–13708. http://dx.doi.org/10.1016/j.ceramint.2015.07.198
- Sazama P., Bortnovsky O., Dědeček J., Tvarůžková Z., Sobalík Z. Geopolymer based catalysts — new group of catalytic materials // Catal. Today. 2011. V. 164. P. 92–99. http://dx.doi.org/10.1016/j.cattod.2010.09.008
- Cantarel V., Motooka T., Yamagishi I. Geopolymers and their potential applications in the nuclear waste management field-a bibliographical study // JAEA Rev. 2017. V. 14. P. 1–35. https://doi.org/10.11484/jaea-review-2017-014
- Kudłacik-Kramarczyk S., Drabczyk A., Figiela B., Korniejenko K. Geopolymers: Advanced materials in medicine, energy, anticorrosion and environmental protection // Materials. 2023. V. 16. ID 7416. http://dx.doi.org/10.3390/ma16237416
- Pangdaeng S., Sata V., Aguiar J. B., Pacheco-Torgal F., Chindaprasirt J., Chindaprasirt P. Bioactivity enhancement of calcined kaolin geopolymer with CaCl2 treatment // Sci. Asia. 2016. V. 42. P. 407–414. http://dx.doi.org/10.2306/scienceasia1513-1874.2016.42.407
- Forsgren J., Pedersen C., Strømme M., Engqvist H. Synthetic geopolymers for controlled delivery of oxycodone: Adjustable and nanostructured porosity enables tunable and sustained drug release // PLoS ONE. 2011. V. 6. ID e17759. http://dx.doi.org/10.1371/journal.pone.0017759
- Jämstorp E., Strømme M., Frenning G. Modeling structure–function relationships for diffusive drug transport in inert porous geopolymer matrices // J. Pharm. Sci. 2011. V. 100. P. 4338–4348. https://doi.org/10.1002/jps.22636
- Radhi H. A. A., Ahmad M. A. Biological test of porous geopolymer as a bone substitute // J. Med. Chem. Sci. 2023. V. 6. P. 710–719. https://doi.org/10.26655/JMCHEMSCI.2023.4.2
- Faza Y., Harmaji A., Takarini V., Hasratiningsih Z., Cahyanto A. Synthesis of porous metakaolin geopolymer as bone substitute materials // Key Eng. Mater. 2019. V. 829. P. 182–187. https://doi.org/10.4028/www.scientific.net/KEM.829.182
- Ngo T. D., Kashani A., Imbalzano G., Nguyen K. T., Hui D. Additive manufacturing (3D printing): A review of materials, methods, applications and challenges // Composites. Part B. 2018. V. 143. P. 172–196. http://dx.doi.org/10.1016/j.compositesb.2018.02.012
- Archez J., Texier-Mandoki N., Bourbon X., Caron J. F., Rossignol S. Shaping of geopolymer composites by 3D printing // J. Build. Eng. 2021. V. 34. ID 101894. https://doi.org/10.1016/j.jobe.2020.101894
- Zhong H., Zhang M. 3D printing geopolymers: A review // Cem. Concr. Compos. 2022. V. 128. ID 104455. http://dx.doi.org/10.1016/j.cemconcomp.2022.104455
- Panda B., Unluer C., Tan M. J. Investigation of the rheology and strength of geopolymer mixtures for extrusion-based 3D printing // Cem. Concr. Compos. 2018. V. 94. P. 307–314. http://dx.doi.org/10.1016/j.cemconcomp.2018.10.002
- Bong S. H., Xia M., Nematollahi B., Shi C. Ambient temperature cured «just-add-water» geopolymer for 3D concrete printing applications // Cem. Concr. Compos. 2021. V. 121. ID 104060. http://dx.doi.org/10.1016/j.cemconcomp.2021.104060
- Buswell R. A., De Silva W. L., Jones S. Z., Dirrenberger J. 3D printing using concrete extrusion: A roadmap for research // Cem. Сoncr. Res. 2018. V. 112. P. 37–49. http://dx.doi.org/10.1016/j.cemconres.2018.05.006
- Li V. C., Bos F. P., Yu K., McGee W., Ng T. Y., Figueiredo S. C., Nefsb K., Mechtcherined V., Nerellad V. N., Pane J., van Zijlf G. P. A. G., Kruger P. J. On the emergence of 3D printable engineered, strain hardening cementitious composites (ECC/SHCC) // Cem. Concr. Res. 2020. V. 132. ID 106038. https://doi.org/10.1016/j.cemconres.2020.106038
- Le T. T., Austin S. A., Lim S., Buswell R. A., Gibb A. G., Thorpe T. Mix design and fresh properties for high-performance printing concrete // Mater. Struct. 2012. V. 45. P. 1221–1232. http://dx.doi.org/10.1617/s11527-012-9828-z
- Lv C., Shen H., Liu J., Wu D., Qu E., Liu S. Properties of 3D printing fiber-reinforced geopolymers based on interlayer bonding and anisotropy // Materials. 2022. V. 15. ID 8032. http://dx.doi.org/10.3390/ma15228032
- Łach M., Kluska B., Janus D., Kabat D., Pławecka K., Korniejenko K., Guigou M. D., Choińska M. Effect of fiber reinforcement on the compression and flexural strength of fiber-reinforced geopolymers // Appl. Sci. 2021. V. 11. ID 10443. https://doi.org/10.3390/app112110443
- Кожухова Н. И. Опыт производства ячеистых бетонов на основе геополимерных вяжущих // Вестн. БГТУ им. В. Г. Шухова. 2023. № 4. С. 8–23. http://dx.doi.org/10.34031/2071-7318-2023-8-4-8-23
- Lazorenko G., Kasprzhitskii A., Shaikh F., Krishna R. S., Mishra J. Utilization potential of mine tailings in geopolymers: Physicochemical and environmental aspects // Process Saf. Environ. Prot. 2021. V. 147. P. 559–577. https://doi.org/10.1016/j.psep.2020.12.028
- Lazorenko G., Kasprzhitskii A. Geopolymer additive manufacturing: A review // Addit. Manuf. 2022. V. 55. ID 102782. https://doi.org/10.1016/j.addma.2022.102782
- Ерошкина Н. А., Коровкин М. О. Геополимерные строительные материалы на основе промышленных отходов: моногр. Пенза: ПГУАС, 2014. C. 128.
- Yatsenko E. A., Goltsman B. M., Novikov Y. V., Trofimov S. V., Ryabova A. V., Smoliy V. A., Klimova L. V. Recycling of coal combustion waste through production of foamed geopolymers with improved strength // Sustainability. 2023. V. 15. N 23. ID 16296. https://doi.org/10.3390/su152316296
- Kozhukhova N. I., Chizhov R. V., Zhernovsky I. V., Strokova V. V. Structure formation of geopolymer perlite binder vs. type of alkali activating agent // Int. J. Pharm. Technol. 2016. V. 8. N. 3. P. 15338–15348. https://www.elibrary.ru/xfphgn
- Kozhukhova N., Kozhukhova M., Teslya A., Nikulin I. The effect of different modifying methods on physical, mechanical and thermal performance of cellular geopolymers as thermal insulation materials for building structures // Buildings. 2022. V. 12. N 2. ID 241. https://doi.org/10.3390/buildings12020241
- Kozhukhova N., Zhernovsky I., Fomina E., Bondareva E. Effect of phase and nano-sized heterogeneity of vitreous phase in low-calcium aluminosilicates on strength properties of geopolymer binders // 5th Int. symp. on nanotechnology in construction NICOM5. Chicago, USA, 2015. P. 24–25.
- Lazorenko G., Kasprzhitskii A., Kruglikov A., Mischinenko V., Yavna V. Sustainable geopolymer composites reinforced with flax tows // Ceram. Int. 2020. V. 46. N 8. P. 12870–12875. https://doi.org/10.1016/j.ceramint.2020.01.184
- Lazorenko G., Kasprzhitskii A., Yavna V., Mischinenko V., Kukharskii A., Kruglikov A., Yalovega G. Effect of pre-treatment of flax tows on mechanical properties and microstructure of natural fiber reinforced geopolymer composites // Environ. Technol. Innovation. 2020. V. 20. ID 101105. https://doi.org/10.1016/j.eti.2020.101105
- Lazorenko G., Kasprzhitskii A., Mischinenko V., Kruglikov A. Fabrication and characterization of metakaolin-based geopolymer composites reinforced with cellulose nanofibrils // Mater. Lett. 2022. V. 308. ID 131146. https://doi.org/10.1016/j.matlet.2021.131146
- Лазоренко Г. И. Технологии стабилизация глинистых грунтов с применением наноматериалов // Инж. вестн. Дона. 2018. № 1. С. 107–120. https://www.elibrary.ru/utlawm
- Lazorenko G., Kasprzhitskii A., Mischinenko V. Rubberized geopolymer composites: Effect of filler surface treatment // J. Environ. Chem. Eng. 2021. V. 9. N 4. ID 105601. https://doi.org/10.1016/j.jece.2021.105601
- Белоусов П. Е., Крупская В. В. Бентонитовые глины России и стран ближнего зарубежья // Георесурсы. 2019. Т. 21. № 3. С. 79–90. https://doi.org/10.18599/grs.2019.3.79-90. [Belousov P. E., Krupskaya V. V. Bentonite clays of Russia and neighboring countries // Georesursy = Georesources. 2019. V. 21. N 3. P. 79–90. https://doi.org/10.18599/grs.2019.3.79-90].
- Ситнова М. Обзор рынка каолина в СНГ // Горный информационно-аналитический бюллетень (науч.-техн. журн). 2007. № 10. С. 375–380. https://www.elibrary.ru/ibzyyh
- Смирнов П. В. Результаты комплексных исследований вещественного состава диатомитов Ирбитского месторождения // Изв. ТПУ. Инжиниринг георесурсов. 2016. Т. 327. № 6. С. 93–104.
- Парфенова Л. М., Бозылев В. В., Шведов А. П., Высоцкая М. Н. Режимы и способы активации золошлаковых отходов теплоэлектростанций // Вестн. Полоцкого ГУ. Сер. F. Строительство. Прикл. науки. 2016. №. 8. С. 57–60. https://www.elibrary.ru/xhndgr
Supplementary files






