Comparison of Upwind and Symmetric WENO Schemes in Large Eddy Simulation of Basic Turbulent Flows
- Authors: Bakhne S.1, Troshin A.I.1
-
Affiliations:
- Central Aerohydrodynamic Institute (TsAGI), National Research Center “Zhukovsky Institute”
- Issue: Vol 63, No 6 (2023)
- Pages: 1024-1039
- Section: Mathematical physics
- URL: https://medbiosci.ru/0044-4669/article/view/136163
- DOI: https://doi.org/10.31857/S0044466923060030
- EDN: https://elibrary.ru/UWNSLL
- ID: 136163
Cite item
Full Text
Abstract
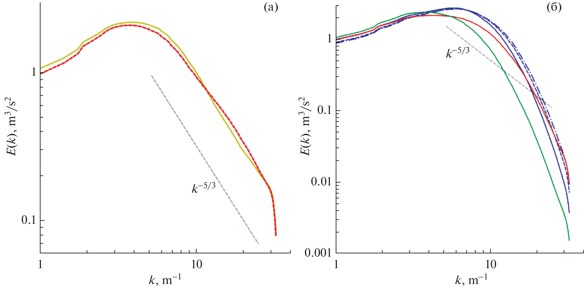
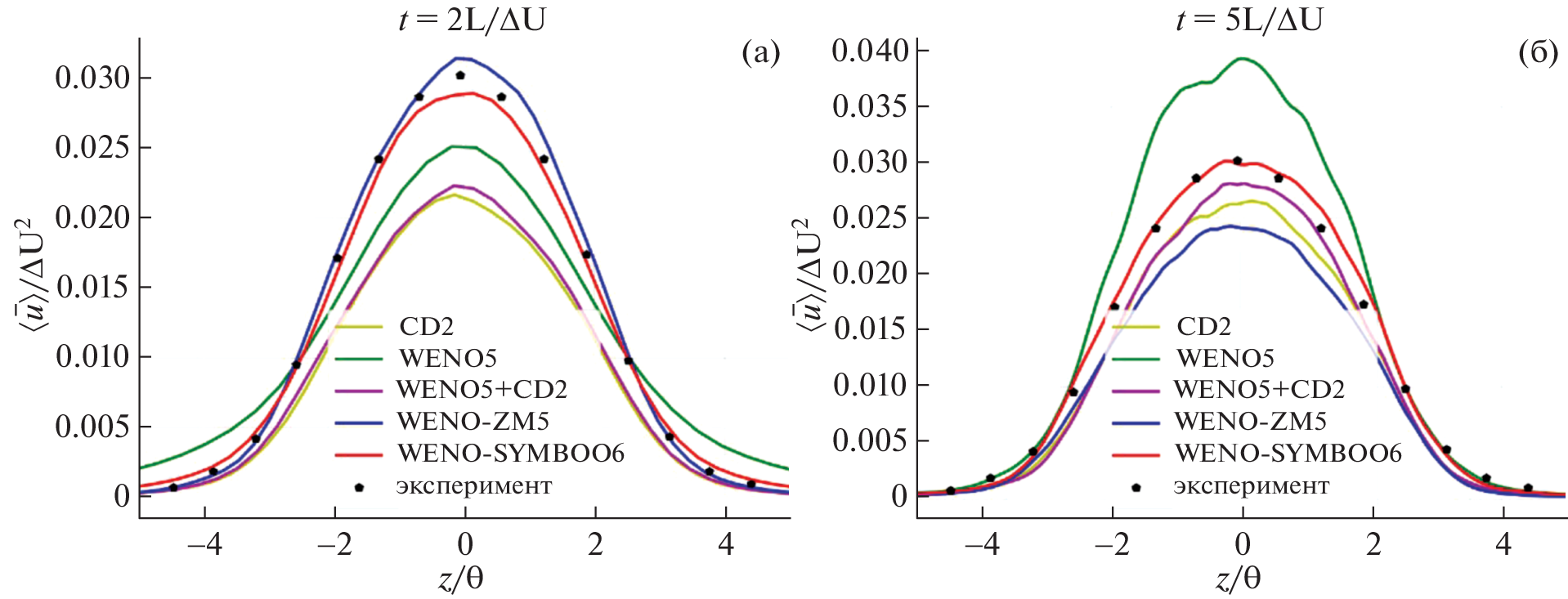
The properties of modern WENO schemes are examined as applied to large eddy simulation (LES). The WENO-ZM5 scheme with modified smoothness indicators (“upwind”) and the WEN-O‑SYMBOO6 scheme on a symmetric stencil (“symmetric WENO scheme”) are chosen. The schemes are compared on one-dimensional test problems (advection, Hopf, and Burgers equations) with both smooth and discontinuous solutions. The decay of isotropic turbulence is modeled within LES and the results are discussed. The solutions produced by the new schemes are compared with those based on the central difference scheme, the classical WENO5 scheme, and a hybrid scheme. The level of dissipation of the schemes is compared by analyzing their energy spectra. A similar comparison is made between the LES computations of the temporal evolution of a mixing layer, where the profiles of mean velocity and Reynolds stresses are considered in addition to the energy spectrum.
Keywords
About the authors
S. Bakhne
Central Aerohydrodynamic Institute (TsAGI), National Research Center “Zhukovsky Institute”
Email: bakhne@phystech.edu
140180, Zhukovskii, Moscow oblast, Russia
A. I. Troshin
Central Aerohydrodynamic Institute (TsAGI), National Research Center “Zhukovsky Institute”
Author for correspondence.
Email: bakhne@phystech.edu
140180, Zhukovskii, Moscow oblast, Russia
References
- Shu C.W., Osher S. Efficient implementation of essentially non-oscillatory shock capturing schemes // J. Comp. Physics. 1988. V. 77. № 2. P. 439–471.
- Shu C.W., Osher S. Efficient implementation of essentially non-oscillatory shock capturing schemes. II // J. Comp. Physics. 1989. V. 83. № 1. P. 32–78.
- Zhang R., Zhang M., Shu C.W. On the order of accuracy and numerical performance of two classes of finite volume WENO schemes // Comm. Comp. Physics. 2011. V. 9. № 3. P. 807–827.
- Guseva E.K., Garbaruk A.V., Strelets M.K. An automatic hybrid numerical scheme for global RANS-LES approaches // J. Physics: Conference Series. 2017. V. 929. № 1.
- Mullenix N.J., Gaitonde D.V. A bandwidth and order optimized weno interpolation scheme for compressible turbulent flows // AIAA paper 2011-366. 18 p.
- Martin M.P., Taylor E.M., Wu M., Weirs V.G. A bandwidth-optimized WENO scheme for the effective direct numerical simulation of compressible turbulence // J. Comp. Physics. 2006. V. 220. P. 270–289.
- Zhao S., Lardjane N., Fedioun I. Comparison of improved finite-difference weno schemes for the implicit large eddy simulation of turbulent non-reacting and reacting high-speed shear flows // Comp. Fluids. 2014. V. 95. P. 74–87.
- Borges R., Carmona M., Costa B., Don W.S. An improved weighted essentially non-oscillatory scheme for hyperbolic conservation laws // J. Comp. Physics. 2008. V. 227. P. 3191–3211.
- Li H., Luo Y., Zhang S. Assessment of upwind/symmetric WENO schemes for direct numerical simulation of screech tone in supersonic jet // J. Sci. Comput. 2021. V. 87. № 3.
- Fu L. Review of the high-order TENO schemes for compressible gas dynamics and turbulence // Arch. Comput. Methods Eng., 2023.
- Henrick A.K., Aslam T.D., Powers J.M. Mapped weighted essentially non-oscillatory schemes: achieving optimal order near critical points // J. Comp. Physics. 2005. V. 207. P. 542–567.
- Borges R., Carmona M., Costa B., Don W.S. An improved weighted essentially non-oscillatory scheme for hyperbolic conservation laws // J. Comp. Physics. 2008. V. 227. P. 3191–3211.
- Suresh A., Huynh H. Accurate monotonicity-preserving schemes with Runge–Kutta time stepping // J. Comp. Physics. 1997. V. 136. № 1. P. 83–99.
- Yamaleev N.K., Carpenter M.H. A systematic methodology for constructing high-order energy-stable weno schemes // J. Comp. Physics. 2009. V. 228. P. 4248–4272.
- Butcher J.C. Numerical methods for ordinary differential equations. 3rd ed. New York: John Wiley & Sons, 2016. 513 p.
- Михайлов С.В., Власенко В.В. Программа ZEUS для расчета нестационарных течений в рамках подходов RANS и LES // Материалы XX школы-семинара “Аэродинамика летательных аппаратов”. п. Володарского. 2009. С. 40–41.
- Босняков С.М. Концепция программного продукта EWT-ЦАГИ и основные этапы ее развития // Труды ЦАГИ. 2007. № 2671, С. 3–19.
- Gritskevich M.S., Garbaruk A.V., Schütze J., Menter F.R. Development of DDES and IDDES formulations for the k-ω shear stress transport model // Flow Turbulence Combust. 2012. V. 88. P. 431–449.
- Shur M.L., Spalart P.R., Strelets M.K., Travin A.K. An enhanced version of DES with rapid transition from RANS to LES in separated flows // Flow Turbulence Combust. 2015. V. 95. P. 709–737.
- Bakhne S., Sabelnikov V. A method for choosing the spatial and temporal approximations for the LES approach // Fluids 2022. V. 7. № 12.
- Chumakov S.G., Rutland C.J. Dynamic structure subgrid-scale models fo large eddy simulation // Int. J. Numer. Methods Fluids. 2005. V. 47. P. 911–923.
- Zhou Z., He G., Wang S., Jin G. Subgrid-scale model for large-eddy simulation of isotropic turbulent flows using an artificial neural network // Comp. Fluids. 2019. V. 195. 104319.
- Batchelor G.K. The theory of homogeneous turbulence. Cambridge University Press, 1953. 197 p.
- Shur M.L., Spalart P.R., Strelets M.K., Travin A.K. Synthetic turbulence generators for RANS-LES interfaces in zonal simulations of aerodynamic and aeroacoustic problems // Flow Turbulence Combust. 2014. V. 93. P. 63–92.
- Etkin B. Dynamics of atmospheric flight. New York: John Wiley & Sons, Inc., 1972.
- Sharan N., Matheou G., Dimotakis P.E. Turbulent shear-layer mixing: initial conditions, and direct-numerical and large-eddy simulations // J. Fluid Mech. 2019. V. 877. P. 35–81.
- Петров И.Б., Лобанов А.И. Лекции по вычислительной математике: Учебное пособие. М.: БИНОМ, 2006.
- Bell J.H., Mehta R.D. Development of a two-stream mixing layer from tripped and untripped boundary layers // AIAA J. 1990. V. 28. № 12. P. 2034–2042.
Supplementary files















