Evolution of the Shape of a Gas Cloud during Pulsed Laser Evaporation into Vacuum: Direct Simulation Monte Carlo and the Solution of a Model Equation
- Authors: Morozov A.A.1,2, Titarev V.A.2
-
Affiliations:
- Kutateladze Institute of Thermophysics of the Siberian Branch of the Russian Academy of Sciences
- Federal Research Center “Computer Science and Control” of the Russian Academy of Sciences
- Issue: Vol 63, No 12 (2023)
- Pages: 1960-1972
- Section: Mathematical physics
- URL: https://medbiosci.ru/0044-4669/article/view/233008
- DOI: https://doi.org/10.31857/S0044466923120207
- EDN: https://elibrary.ru/ZUMXKA
- ID: 233008
Cite item
Full Text
Abstract
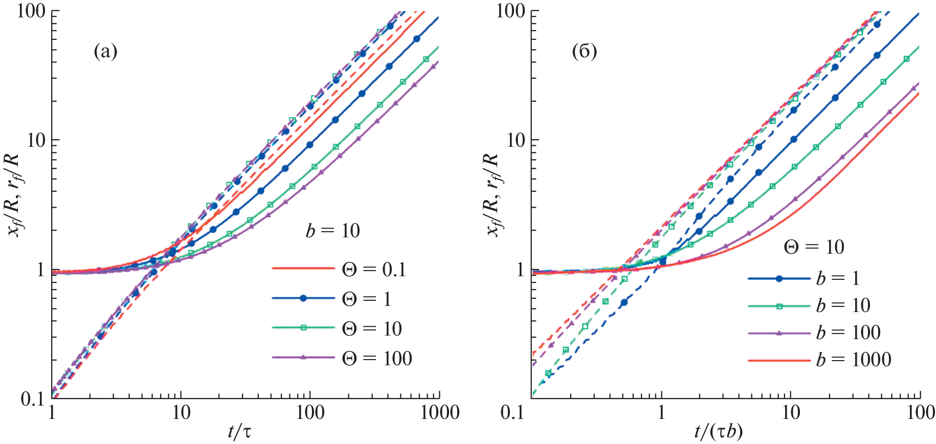
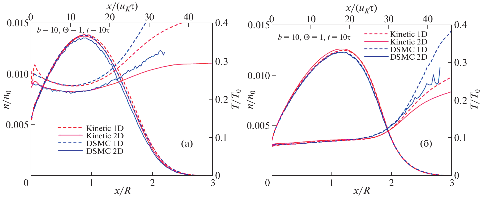
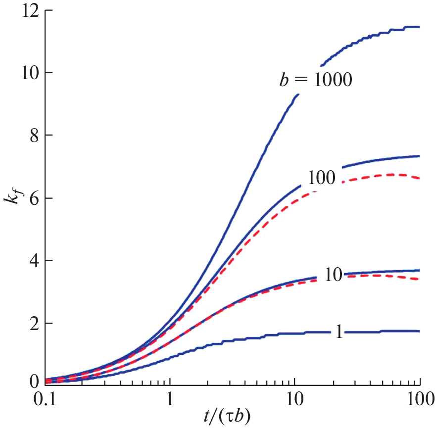
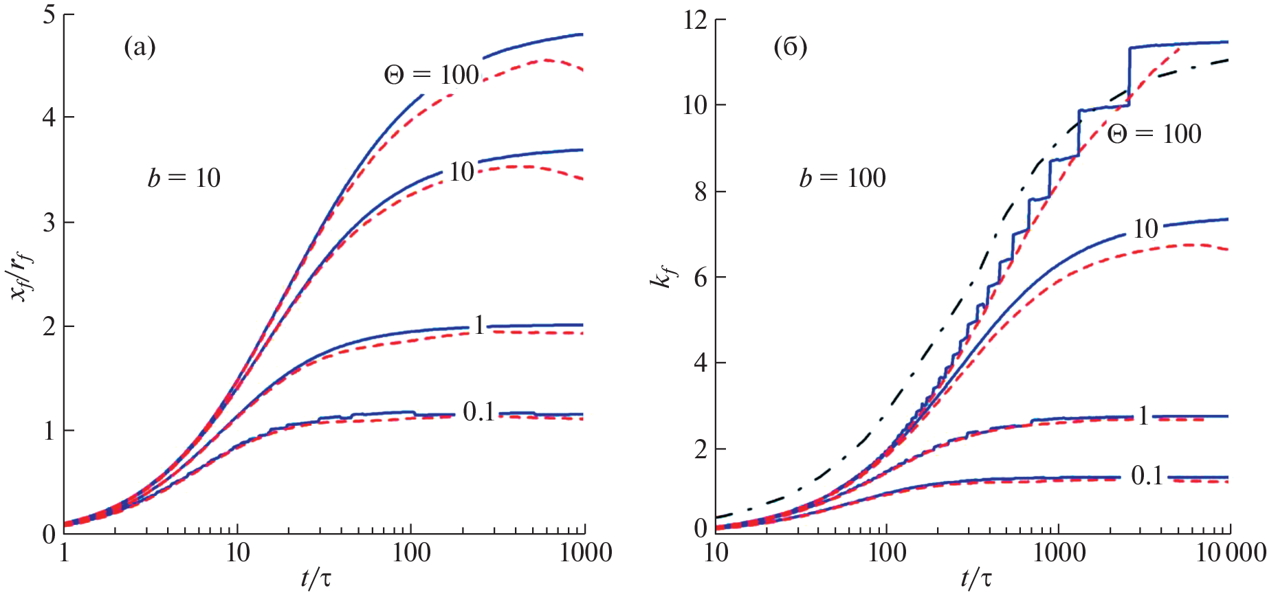
The dynamics of gas expansion during nanosecond laser evaporation into vacuum is studied. The problem is considered in an axisymmetric formulation for a wide range of parameters: the number of evaporated monolayers and the size of the evaporation spot. To obtain a reliable numerical solution, two different kinetic approaches are used—the direct simulation Monte Carlo method and solution of the BGK model kinetic equation. The change in the shape of the cloud of evaporated substance during the expansion process is analyzed. The strong influence of the degree of rarefaction on the shape of the forming cloud is shown. When a large number of monolayers evaporate, good agreement with the continuum solution is observed.
Keywords
About the authors
A. A. Morozov
Kutateladze Institute of Thermophysics of the Siberian Branch of the Russian Academy of Sciences; Federal Research Center “Computer Science and Control” of the Russian Academy of Sciences
Email: morozov@itp.nsc.ru
630090, Novosibirsk, Russia; 119333, Moscow, Russia
V. A. Titarev
Federal Research Center “Computer Science and Control” of the Russian Academy of Sciences
Author for correspondence.
Email: vladimir.titarev@frccsc.ru
119333, Moscow, Russia
References
- Kelly R., Dreyfus R.W. Reconsidering the mechanisms of laser sputtering with Knudsen-layer formation taken into account // Nucl. Instrum. Methods Phys. Res. B. 1988. V. 32. № 1–4. P. 341–348.
- Morozov A.A. Analytical formula for interpretation of time-of-flight distributions for neutral particles under pulsed laser evaporation in vacuum // J. Phys. D: Appl. Phys. 2015. V. 48. № 19. P. 195501–195512.
- Konomi I., Motohiro T., Asaoka T. Angular distribution of atoms ejected by laser ablation of different metals // J. Appl. Phys. 2009. V. 106. P. 013107–013115.
- Bird G.A. Molecular gas dynamics and the direct simulation Monte Carlo method. Oxford: Clarendon Press, 1994.
- NoorBatcha I., Lucchese R.R., Zeiri Y. Effects of gas-phase collisions on particles rapidly desorbed from surfaces // Phys. Rev. B. 1987. V. 36. P. 4978–4981.
- Feil H., Baller T.S., Dieleman J. Effects of post-desorption collisions on the energy distribution of SiCl molecules pulsed-laser desorbed from Cl-covered Si surfaces: Monte-Carlo simulations compared to experiments // Appl. Phys. A. 1992. V. 55. P. 554–560.
- Sibold D., Urbassek H.M. Effect of gas-phase collisions in pulsed-laser desorption: a three-dimensional Monte Carlo simulation study // J. Appl. Phys. 1993. V. 73. № 12. P. 8544.
- Булгакова Н.М., Плотников М.Ю., Ребров А.К. Исследование разлета продуктов лазерного испарения методом прямого статистического моделирования // Теплофизика и аэромеханика. 1998. Т. 5. № 3. С. 421.
- Morozov A.A. Dynamics of gas cloud expansion under pulsed laser evaporation into vacuum // J. Phys. Conf. Ser. 2018. V. 1105. P. 012116.
- Itina T.E., Tokarev V.N., Marine W., Autric M. Monte Carlo simulation study of the effects of nonequilibrium chemical reactions during pulsed laser desorption // J. Chem. Phys. 1997. V. 106. P. 8905–8912.
- Petrov V.A., Ranjbar O.A., Zhilyaev P.A., Volkov A.N. Kinetic simulations of laser-induced plume expansion from a copper target into a vacuum or argon background gas based on ab initio calculation of Cu–Cu, Ar–Ar, and Ar–Cu interactions // Phys. Fluid. 2020. V. 32. P. 102010–102027.
- Konomi I., Motohiro T., Kobayashi T., Asaoka T. Considerations on the determining factors of the angular distribution of emitted particles in laser ablation // Appl. Surf. Sci. 2010. V. 256. P. 4959–4965.
- Urbassek H.M., Sibold D. Gas-phase segregation effects in pulsed laser desorption from binary targets // Phys. Rev. Lett. 1993. V. 70. P. 1886–1889.
- Morozov A.A., Mironova M.L. Numerical analysis of time-of-flight distributions of neutral particles for pulsed laser ablation of binary substances into vacuum // Appl. Phys. A. 2017. V. 123. № 12. P. 783, 1–9.
- Morozov A.A., Starinskiy S.V., Bulgakov A.V. Pulsed laser ablation of binary compounds: effect of time delay in component evaporation on ablation plume expansion // J. Phys. D: Appl. Phys. 2021. V. 54. № 17. P. 175203.
- Itina T.E., Patrone L., Marine W., Autric M. Numerical analysis of TOF measurements in pulsed laser ablation // Appl. Phys. A. 1999. V. 69. P. S59–S65.
- Garrelie F., Aubreton J., Catherinot A. Monte Carlo simulation of laser-induced plasma plume expansion under vacuum: comparison with experiments // J. Appl. Phys. 1998. V. 83. № 10. P. 5075–5082.
- Morozov A.A. Interpretation of time-of-flight distributions for neutral particles under pulsed laser evaporation using direct Monte Carlo simulation // J. Chem. Phys. 2013. V. 139. P. 234706–234714.
- Bykov N.Y., Bulgakova N.M., Bulgakov A.V., Loukianov G.A. Pulsed laser ablation of metals in vacuum: DSMC study versus experiment // Appl. Phys. A. 2004. V. 79. P 1097–1100.
- Morozov A.A. Analysis of time-of-flight distributions under pulsed laser ablation in vacuum based on the DSMC calculations // Appl. Phys. A. 2013. V. 111. P. 1107–1111.
- Morozov A.A., Evtushenko A.B., Bulgakov A.V. Gas-dynamic acceleration of laser-ablation plumes: Hyperthermal particle energies under thermal vaporization // Appl. Phys. Lett. 2015. V. 106. P. 054107–054122.
- Morozov A., Titarev V. Planar gas expansion under intensive nanosecond laser evaporation into vacuum as applied to time-of-flight analysis // Entropy. 2022. V. 24. P. 1738.
- Ellegaard O., Schou J., Urbassek H.M. Monte–Carlo description of gas flow from laser-evaporated silver // A-ppl. Phys. A. 1999. V. 69. P. S577–S581.
- Morozov A.A. Effect of temporal evolution of the evaporation surface temperature on the plume expansion under pulsed laser ablation // J. Phys. Conf. Ser. 2020. V. 1677. P. 012143–012150.
- Morozov A.A. Effect of evaporation-flux nonuniformity along the irradiation-spot radius on the plume expansion dynamics during pulsed laser ablation in vacuum // Thermophysics and Aeromechanics. 2022. V. 29. P. 437–448.
- Kelly R. Gas dynamics of the pulsed emission of a perfect gas with applications to laser sputtering and to nozzle expansion. // Phys. Rev. A. 1992. V. 46. № 2. P. 860–874.
- Sibold D., Urbassek H.M. Gas-dynamic study of pulsed desorption flows into a vacuum // Phys. Fluids A. 1992. V. 4. P. 165.
- Kelly R., Miotello A. Pulsed-laser sputtering of atoms and molecules. Part I: Basic solutions for gas-dynamic effects // Appl. Phys. B. 1993. V. 57. P. 145–158.
- Miotello A., Moro C. Numerical solution of gas-dynamic equations with boundary conditions for reflection and recondensation // Phys. Lett. A. 1995. V. 199. P. 333–338.
- Singh R.K., Narayan J. Pulsed-laser evaporation technique for deposition of thin films: physics and theoretical model // Phys. Rev. B. 1990. V. 41. № 13. P. 8843–8859.
- Anisimov S.I., Bäuerle D., Luk’yanchuk B.S. Gas dynamics and film profiles in pulsed-laser deposition of materials // Phys. Rev. B. 1993. V. 48. P. 12076–12081.
- Morozov A.A., Frolova A.A., Titarev V.A. On different kinetic approaches for computing planar gas expansion under pulsed evaporation into vacuum // Phys. Fluid. 2020. V. 32. № 11. P. 112005.
- Bhatnagar P.L., Gross E.P., Krook M. A model for collision processes in gases. I. Small amplitude processes in charged and neutral one-component systems // Phys. Rev. 1954. V. 94. № 511. P. 1144–1161.
- Shakhov E.M. Solution of axisymmetric problems of the theory of rarefied gases by the finite-difference method // USSR Comput. Math. and Math. Phys. 1974. V. 14. № 4. P. 147–157.
- Larina I.N., Rykov V.A. A numerical method for calculating axisymmetric rarefied gas flows // Comput. Math. and Math. Phys. 1998. V. 38. № 8. P. 1335–1346.
- Titarev V.A., Morozov A.A. Arbitrary Lagrangian-Eulerian discrete velocity method with application to laser-induced plume expansion // Appl. Math. and Comput. 2022. V. 429. P. 127241.
- Titarev V.A. Implicit numerical method for computing three-dimensional rarefied gas flows using unstructured meshes // Comput. Math. and Math. Phys. 2010. V. 50. № 10. P. 1719–1733.
- Titarev V.A. Application of model kinetic equations to hypersonic rarefied gas flows // Comput. and Fluid. 2018. V. 169. P. 62–70.
- Titarev V.A. Application of the Nesvetay code for solving three-dimensional high-altitude aerodynamics problems // Comput. Math. and Math. Phys. 2020. V. 60. P. 737–748.
- Hirsh C. Numerical computation of internal and external flows. 2nd Ed. Publ.: John Wiley & Sons, 2007.
- Gaburro E., Dumbser M., Castro M.J. Direct Arbitrary-Lagrangian-Eulerian finite volume schemes on moving nonconforming unstructured meshes // Comput. and Fluid. 2017. V. 159. P. 254–275.
- Boscheri W., Dimarco G. High order central WENO-implicit-explicit Runge Kutta schemes for the BGK model on general polygonal meshes // J. Comput. Phys. 2020. V. 422. P. 109766.
- Gusarov A.V., Smurov I. Influence of atomic collisions in vapour phase on pulsed laser ablation // Appl. Surf. Sci. 2000. V. 168. P. 96–99.
- Titarev V.A., Shakhov E.M. Heat transfer and evaporation from a plane surface into a half-space upon a sudden increase in body temperature // Fluid Dynamics. 2002. V. 37. № 1. P. 126–137.
- Колган В.П. Применение принципа минимальных значений производной к построению конечно-разностных схем для расчета разрывных течений газовой динамики // Уч. зап. ЦАГИ. 1972. Т. 3. № 6. С. 68–77.
- Kolgan V.P. Application of the principle of minimizing the derivative to the construction of finite-difference schemes for computing discontinuous solutions of gas dynamics // J. Comput. Phys. 2011. V. 230. № 7. P. 2384–2390.
- van Leer B. Towards the ultimate conservative difference scheme I: the quest for monotonicity // Lect. Not. Phys. 1973. V. 18. P. 163–168.
- Mieussens L. Discrete-velocity models and numerical schemes for the Boltzmann-BGK equation in plane and axisymmetric geometries // J. Comput. Phys. 2000. V. 162. № 2. P. 429–466.
- Gusarov A.V., Smurov I. Gas-dynamic boundary conditions of evaporation and condensation: numerical analysis of the Knudsen layer // Phys. Fluid. 2002. V. 14. № 12. P. 4242–4255.
- Shu C.-W. Total-Variation-Diminishing time discretizations // SIAM J. Sci. and Statistic. Comput. 1988. V. 9. P. 1073–1084.
- Титарев В.А. Программный комплекс Несветай-3Д моделирования пространственных течений одноатомного разреженного газа // Наука и образование. МГТУ им. Н.Э. Баумана. Элект. журн. 2014. № 6. С. 124–154.
- Titarev V.A., Utyuzhnikov S.V., Chikitkin A.V. OpenMP + MPI parallel implementation of a numerical method for solving a kinetic equation // Comput. Math. and Math. Phys. 2016. V. 56. № 11. P. 1919–1928.
- Gorobets A.V., Duben A.P. Technology for supercomputer simulation of turbulent flows in the good new days of exascale computing // Supercomput. Frontiers and Innovat. 2021. V. 8. № 4. P. 4–10.
- Alvarez-Farre X., Gorobets A., Trias F.X. A hierarchical parallel implementation for heterogeneous computing. Application to algebra-based CFD simulations on hybrid supercomputers // Comput. and Fluid. 2021. V. 214. P. 104768.
- Ansys ICEM CFD, version 2021 R2. Ansys ICEM CFD Help Manual. 772 c.
- Bird G.A. Sophisticated versus simple DSMC // Rarefied Gas Dynamics. Proc. 25th Intern. Symp., Ed. by M.S. Ivanov and A.K. Rebrov. Novosibirsk, 2007. P. 349.
- Titov E.V., Levin D.A. Extension of the DSMC method to high pressure flows // Inter. J. Comput. Fluid Dyn. 2007. V. 21. P. 351.
Supplementary files








